Next Article in Journal
Microstructure and Properties of Hollow Octet Nickel Lattice Materials
Previous Article in Journal
Explicit Thermal Resistance Model of Self-Heating Effects of AlGaN/GaN HEMTs with Linear and Non-Linear Thermal Conductivity
 
 
Font Type:
Arial Georgia Verdana
Font Size:
Aa Aa Aa
Line Spacing:
Column Width:
Background:
Article

Effect of W Addition on Fe-P-C-B Soft-Magnetic Amorphous Alloy

1
Key Laboratory of Aerospace Materials and Performance (Ministry of Education), School of Materials Science and Engineering, Beihang University, Beijing 100191, China
2
Key Laboratory of Advanced Materials Processing Technology (Ministry of Education), School of Materials Science and Engineering, Tsinghua University, Beijing 100084, China
3
Center for Advanced Analysis and Computational Science, Zhengzhou University, Zhengzhou 450001, China
*
Author to whom correspondence should be addressed.
Materials 2022, 15(23), 8416; https://doi.org/10.3390/ma15238416
Submission received: 13 October 2022 / Revised: 17 November 2022 / Accepted: 23 November 2022 / Published: 25 November 2022
(This article belongs to the Section Metals and Alloys)

Abstract

In this work, the thermal behavior, soft magnetic properties, and structure of Fe86−xP11C2B1Wx (x = 0, 0.1, 0.2, 0.4, 0.6, 0.8, 1, 2, and 4) amorphous alloys were researched by several experimental methods and ab initio molecular dynamics. The addition of W improved the thermal stability of the alloy system when the first onset crystallization temperature (Tx1) increased from 655 K to 711 K, significantly reduced the coercivity Hc, and decreased the saturation magnetization Bs. The Fe85.6P11C2B1W0.4 alloy showed optimal soft magnetic performance, with low Hc of 1.4 A/m and relatively good Bs of 1.52 T. The simulation results suggested that W atoms increased the distance of the neighboring Fe-Fe pair, reduced the coordination number, narrowed the gap between the spin-up and spin-down electrons of each atom, and decreased the average magnetic moment of the Fe atoms. This work demonstrates a micro-alloying strategy to greatly reduce Hc while maintaining high Bs.

1. Introduction

Soft magnetic materials are essential for increasing the efficiency of electrical and electronic equipment, such as transformers, memories, magnetic shields, and sensors [1,2]. Thereinto, Fe-based amorphous alloys have drawn much attention as a result of their outstanding soft magnetic performances, such as excellent saturation magnetization (Bs), high effective permeability, extremely low coercivity (Hc), and low core loss [3,4]. Fe-Si-B amorphous alloys are typically representative, with broad practical applications in transformers and inductors [5]. The newly developed Fe-P-C-B amorphous alloys have drawn more attention because of their superior comprehensive properties, including excellent soft magnetic properties, large electric resistivity, good processibility, and low cost [6,7,8,9]. For the green development of the next-generation devices, soft magnetic amorphous materials with lower Hc will play a significant role.
The chemical composition design has been widely applied in Fe-based amorphous alloys to improve the performance of glass-forming ability (GFA) and various properties. For this reason, multiple elements have been adopted to enhance Bs and decrease Hc values [10,11,12]. Typically, the addition of high-melting-point metals with large atoms, such as Mo, Nb, and W, can significantly affect the microstructure of the melt-spun alloys, which is helpful for obtaining good soft magnetic properties [13,14,15]. Tungsten, which shows the highest melting point among all metals, can strengthen thermal stability, extend the supercooled liquid region, and enhance the GFA of Fe-based amorphous alloys [16,17,18,19]. Moreover, W alloying can enhance the soft magnetic performances of Fe-based metallic glass and amorphous alloys. For example, the addition of the W element in Fe-Y-B amorphous alloys leads to low Hc below 2 A/m [20]. With the addition of W, Fe61Co10Zr5W4B20 showed a very low Hc of 1.4 A/m [21]. However, the influences of the W element on the Fe-P-based amorphous alloys, especially in newly developed Fe-P-C-B alloy systems, is unclear and has not been systematically studied.
In this work, the authors have attempted to investigate the soft magnetic performances and structure of the newly developed Fe-P-C-B amorphous alloys concerning W addition. The results suggest that the Hc of the Fe-P-C-B amorphous alloy decrease obviously with the minor addition of W. Moreover, the Vienna ab initio simulation package (VASP) was used to investigate the evolution of atomic and electronic structures caused by the composition adjustment.

2. Experimental

Alloys with nominal atomic compositions of Fe86P11C2B1Wx (x = 0, 0.1, 0.2, 0.4, 0.6, 0.8, 1, 2, and 4) were prepared by the induction-melting method in an Ar atmosphere. The specific crude materials were as follows: Fe (99.9 wt.%), C (99.9 wt.%), W (99.95 wt.%), Fe-B prealloy (B: 20.0 wt.%), and Fe-P prealloy (P: 22.1 wt.%). The ingots were remelted many times to guarantee the uniformity of composition. Amorphous ribbons with a width of approximately 1.5 mm and a thickness of approximately 20 µm were produced by single roller melt-spinning method in an Ar atmosphere. The corresponding samples were annealed at different temperatures in evacuated and sealed quartz tubes in a muffle furnace (TKD-1400, Beijing, China) to obtain inner-stress relief samples. The annealing processes of ribbons were performed in the presence of Earth’s field, and no extra external field was applied during the annealing process.
D/max-2500 PC Rigaku X-ray diffractometer (XRD, D/MAX 2500pc, Tokyo, Japan) with Cu Kα radiation was used to investigate the amorphous nature of the melt-spun ribbons and the microstructure of annealed samples. The scanning range was from 30° to 90°, and the scanning rate was 2 degrees per minute. Thermodynamic parameters of melt-spun ribbons were identified by using a differential scanning calorimetry (DSC, PerkinElmer DSC 8000, Waltham, MA, USA) under an Ar gas flow with a heating rate of 0.33 K/s. The Archimedes principle has been used to measure the density of alloys at normal atmospheric temperatures. The hysteresis loops identified the Bs of the melt-spun and annealed ribbons, which were measured by Lakeshore 7407 vibrating sample magnetometer (VSM, Lake Shore 7407, Westerville, OH, USA) under an applied field of 800 kA/m. A DC B-H loop tracer (MATS-2010SA, Loudi, China) was used to measure the Hc of the ribbons under a field of 800 A/m. Moreover, the bright field and the high-resolution transmission electron microscope (HRTEM) microstructure of the samples were characterized via TEM (JEM-2100 F, Tokyo, Japan). The TEM samples were prepared by ion thinning. The magnetic domain structure was observed by the magneto-optical Kerr effect microscope.
By means of density functional theory, the structure of Fe86P11C2B1, Fe85.5P11C2B1W0.5, and Fe85P11C2B1W1 amorphous alloys was simulated by using the Vienna Ab initio simulation package (VASP) [22]. The projected augmented wave method was used to describe electron-ion interactions [23]. Exchange-correlation potentials were calculated by Perdew–Burke–Ernzerh mode with a generalized gradient approximation [24]. The primitive volume of the cubic periodic supercell containing 200 atoms was decided by the experimental density of Fe86P11C2B1, Fe85.5P11C2B1W0.5, and Fe85P11C2B1W1 amorphous alloys at a normal atmospheric temperature. The systems were melted and well equilibrated for 6000 steps (2 fs for each step) at 2000 K and subsequently quenched to 300 K at a cooling rate of 5 × 1014 K/s. In the end, the systems were equilibrated for 5000 steps at 300 K, and at least 1000 configurations were collected to analyze the structure.

3. Results and Discussion

3.1. Amorphous Nature and Thermal Behavior

In order to identify the optimal content of the W element in the Fe-P based amorphous alloys, Fe86−xP11C2B1Wx (x = 0, 0.1, 0.2, 0.4, 0.6, 0.8, 1, 2, and 4) (also denoted as Wx hereafter) ribbon samples were prepared. Figure 1a exhibits XRD patterns of all melt-spun ribbons with different proportions of W elements. All patterns show broad humps without undetectable crystalline features at the 2θ of about 45°, which indicates the amorphous nature of these samples.
As shown in Figure 1b, the crystallization of the melt-spun Fe86−xP11C2B1Wx (x = 0, 0.1, 0.2, 0.4, 0.6, 0.8, 1, 2, and 4) amorphous alloys was investigated by DSC with a heating rate of 0.33 K/s. Each DSC curve exhibits two exothermic peaks with similar heat release, indicating a two-step crystallization process for these samples. It was reported that the first exothermic peak relates to the precipitation of the soft magnetic phase (α-Fe), while the second peak relates to the hard magnetic phase [25]. No distinct glass transition phenomenon can be observed for all the samples. The relevant thermal parameters, including the first crystallization onset temperature (Tx1), the second crystallization onset temperature (Tx2), and the temperature interval ΔTT = Tx2Tx1), are listed in Table 1. Moreover, it can be seen that Tx1 (from 655K to 711 K) and Tx2 (from 736 K to 773 K) rise with the addition of the W element. This shows that the content of W significantly affects the thermostability of the amorphous phase. Considering the ΔHmix (enthalpy of mixing) of W-P, W-C, and W-B are −46.5 kJ/mol, −60 kJ/mol, and −31 kJ/mol, respectively [26], it is not surprising because the W atom can strengthen the cohesive energy through the formation of W-metalloid bonds within Fe-based amorphous alloys, which reduce the diffusion ability of metalloid elements in the amorphous structure and impede the precipitation of α-Fe from the amorphous phase [27].

3.2. Magnetic Properties and Microstructure Analysis

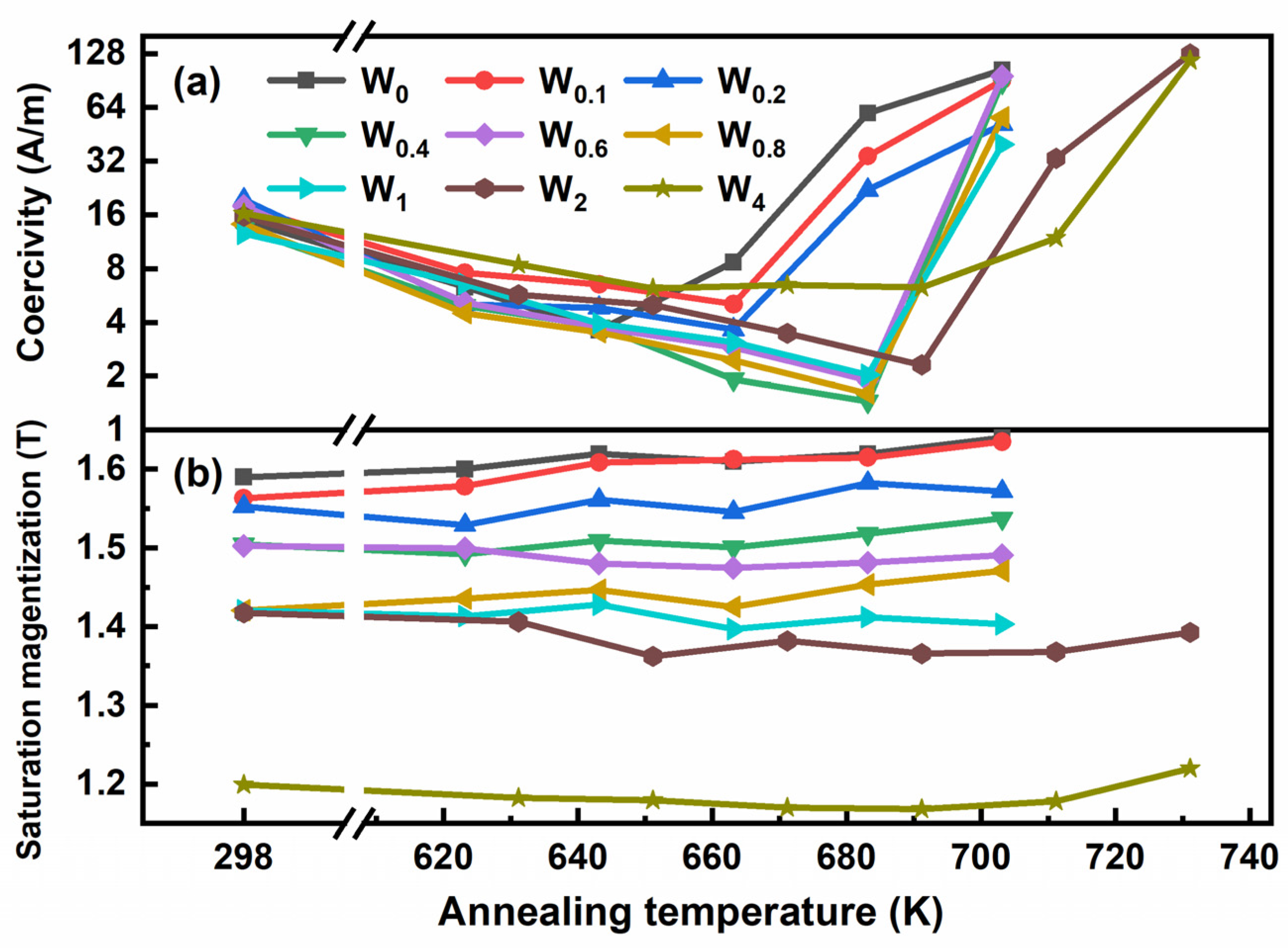
For magnetic Fe-based amorphous alloys, the soft magnetic performances can be enhanced after annealing at the proper temperature [28,29]. All samples were annealed at different annealing temperatures (Ta) for 10 min. After the annealing process, the magnetic performance and corresponding microstructure of Fe86−xP11C2B1Wx alloys were analyzed. All Hc curves exhibit V-shaped features, as shown in Figure 2a, which shows low Hc for TaTx1 and two Hc maxima at low and high temperature ends. The high Hc of the melt-spun ribbons is considered to originate from the internal stress caused by rapid solidification during the melt-spinning process, which can be reduced by a proper annealing process [30]. When Ta is higher than Tx1, Hc increases rapidly when Ta is higher than Tx1, as a result of the rapid growth of α-Fe grains and the precipitation of Fe3(P, C, B) compounds [31]. The appropriate addition of the W element can reduce the Hc values of Fe86−xP11C2B1Wx alloys. According to previous research, structural defects and surface irregularities have a great influence on Hc [32,33,34]. The addition of W may reduce the structural defects and surface irregularities of FePCB amorphous alloys, which lead to the reduction in Hc values. The lowest Hc value and corresponding Ta and Bs values for each alloy are listed in Table 2. Compared to the original Fe86P11C2B1 alloy, Wx (≤2 at.%) alloys show lower Hc values after a proper annealing process. Specifically, the W0.4, W0.6, and W0.8 alloys exhibit relatively low Hc of 1.4 A/m, 1.9 A/m, and 1.6 A/m, respectively, when Ta is around Tx. In addition, the Bs of all alloys was also investigated at different annealing temperatures, as shown in Figure 2b. The Bs values monotonically decrease with the increase in W addition at most temperatures. These characteristics can be explained by the reduction in Fe content and the distance increase between Fe-Fe atoms caused by W addition [35].
Considering the relationships between magnetic domain structure and magnetic property, the MOKE microscopy characterization of different Fe86−xP11C2B1Wx ribbons was carried out. Table 2 lists the specific composition and related annealing temperature. The annealing time is 10 min. As can be seen from Figure 3a–i, the wide straight strip domains with smooth edges can be observed, which indicates a homogeneous magnetic structure, a low pinning effect, and small anisotropy of the annealed ribbons. Some defects in domains can be attributed to the edge effect, which is mainly induced by the surface quality and change of inner-stress direction [36]. In contrast, mazing fingerprint-like domains can be seen in Figure 3j,k. The formation of maze domains is mainly due to the non-uniformity internal stress induced by rapid solidification during the preparation of amorphous alloys [37]. The near-field image also shows the sensitive direction representing the vibration direction of incident polarized light and the strip axis. Accordingly, the results provide solid evidence for the low Hc of all annealed ribbons, especially for W0.4, W0.6, and W0.8 ribbons. The lower domain wall energy γ B causes the widening of the domain, which is correlated to the weak pinning effects induced by the anisotropy fluctuations of the materials and internal stress [38].
Figure 4 presents the XRD images of annealed samples listed in Table 2. Crystalline peaks can be clearly seen from the W0.2 and W0.4 ribbons, and minor peaks can be observed from W0.6 and W0.8 XRD patterns. According to G. Herzer’s effective magnetic random anisotropy model, the precipitation of fine and regular nanocrystalline can reduce the Hc of amorphous alloys [39]. This helps explain why Wx (x = 0.2, 0.4, 0.6, 0.8, and 1) ribbons show the lowest Hc when Ta is around Tx. Furthermore, TEM is adopted to investigate the phase structure of the annealed Fe85.6P11C2B1W0.4 and Fe85.2P11C2B1W0.8 alloy ribbons (683 K for 10 min). As exhibited in Figure 5a,c, the bright field TEM image shows the primary amorphous phase for the annealed ribbons, as also confirmed by the inset selected area electron diffraction (SAED) pattern. As shown in Figure 5b,d, crystallographic planes indicating the presence of nanocrystals can be seen in HRTEM images, which is consistent with the XRD results.

3.3. Simulation of Amorphous Structure and Magnetic Properties

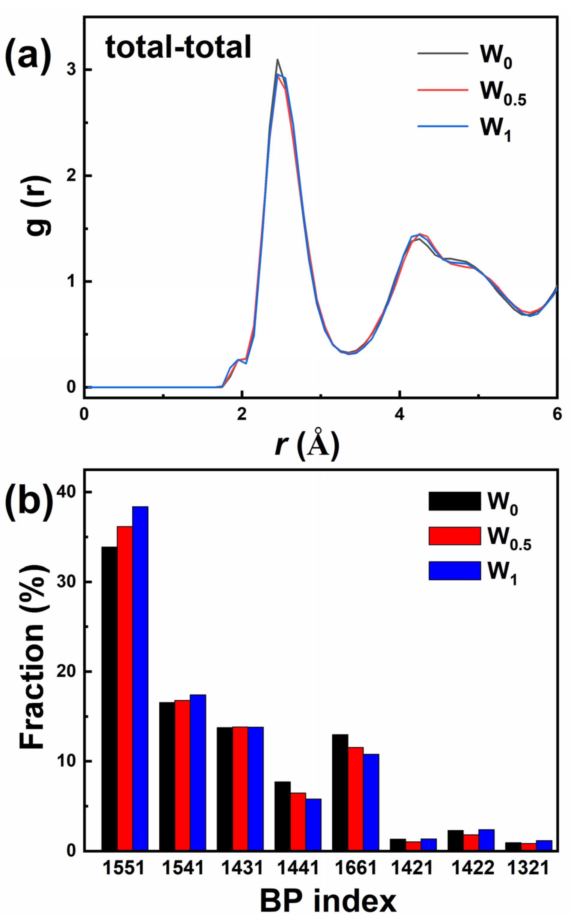
To characterize the structure and magnetic performances of amorphous alloys, AIMD is an effective approach. According to the experimental results, the minor addition of the W element causes large changes in magnetic properties. Therefore, Fe86P11C2B1, Fe85.5P11C2B1W0.5, and Fe85P11C2B1W1 are selected as representative alloy components for comparison. The pair correlation function (PCF) of Fe86−xP11C2B1Wx (x = 0, 0.5 and 1) amorphous alloys at a normal atmospheric temperature (300 K) is shown in Figure 6a. The prominent first peak indicates the characteristics of short-range order, while the second one with splitting feature indicates mid-range order, which indicates the amorphous nature of Fe86−xP11C2B1Wx (x = 0, 0.5 and 1) alloys. Moreover, the relative strength of the first peak shows a slight decrease, and the second peak increases after adding the W element. This indicates that the adjacent structure of the atoms is changed after W addition. Figure 6b exhibits the distribution of bond pairs (BPs) of the Fe86−xP11C2B1Wx (x = 0, 0.5, and 1) amorphous alloys. The BPs analysis proposed by previous researchers is an effective method for describing the local atomic structure [40]. The BPs between the central and nearest-neighbor atoms are characterized by the first valley of the related partial PCF curve. 1551, 1541, and 1431 BPs represent icosahedral order, while the 1441 and 1661 BPs are features of the body-centered cubic (bcc) structures [41]. The percentage of icosahedral clusters is positively related to the enhanced GFA [42]. With the addition of W, the proportion of icosahedral BPs increases, while the proportion of bcc crystalline BPs decreases significantly. The results indicate that W can enhance the GFA of Fe86−xP11C2B1Wx amorphous alloys, which is in agreement with previous research [18,19,20,27].
To further understand the effects of W addition on soft magnetic performances, atomic magnetic moments were analyzed. The average magnetic moments of the Fe, P, C, B, and W atoms were calculated by AIMD for the Fe86−xP11C2B1Wx (x = 0, 0.5 and 1) amorphous alloys. As summarized in Table 3, the electronic magnetic moment of the Fe atoms dominates the total magnetic moments of the whole alloy system. The average magnetic moment of the Fe atoms decreases from 2.225 μB to 2.096 μB with the addition of the W element. In addition, W exhibits a more negative magnetic moment (−0.578 μB) than other constituent elements. This can explain the previous experimental phenomenon that the Bs values monotonically decrease with the addition of W. Furthermore, the Fe magnetic moment distribution with the corresponding coordination number was concerned. The average magnetic moment of Fe in Table 3 can be calculated from the weighted average of the data in Figure 7. The coordination number is defined as the number of the first nearest neighbor Fe atoms near the central Fe atoms. The proportion of the high coordination number in the first nearest neighbor was reported to correlate positively with the magnetic moment [43]. This is because the increase in the proportion of high coordination numbers in the first nearest neighbor indicates more neighboring Fe atoms taking part in the ferromagnetic coupling, which increases saturated magnetization [44]. It can be seen in Figure 7 that the proportion of high coordination numbers (13, 14) decreases. In contrast, the proportion of low coordination numbers (10, 11, and 12) increases with the addition of W. This result shows that the addition of W expands the nearest neighbor Fe-Fe spacing and diminishes the percentage of high coordination numbers. Thus, the average magnetic moment of Fe atoms decreases, which leads to a decrease in the Bs of the Fe86−xP11C2B1Wx (x = 0, 0.5 and 1) amorphous alloys.
The tunable electronic performances of Fe86−xP11C2B1Wx (x = 0, 0.5 and 1) alloys were also researched by the density of states (DOS). The total electron DOS of the Fe atom in Fe86−xP11C2B1Wx (x = 0, 0.5, and 1) amorphous alloy is illustrated in Figure 8a. The Fermi level lay right above the majority spin band and close to the minimum value of the spin-down band, indicating that ferromagnetism exists in the alloy [45]. Figure 8b shows the partial electron DOS (3d orbital) of Fe atoms for Fe86−xP11C2B1Wx (x = 0, 0.5 and 1) amorphous alloys. Two dominant peaks separated from the 3d band states can be seen, which were reported as the lower-energy t2g orbital and the higher-energy eg orbital [46]. According to previous research, ferromagnetism is caused by the distinction in the magnetic moments of the upper and lower spin electrons induced by the asymmetry of band splitting [47]. With the addition of the W element, the number of spin-up electrons N↑ decreases slightly, while the number of occupied spin-down electrons N↓ is almost unchanged. Therefore, the gap becomes much closer, which leads to a decreased Fe atomic magnetic moment of the Fe atom in the alloy system.

4. Conclusions

Fe86−xP11C2B1Wx (x = 0, 0.1, 0.2, 0.4, 0.6, 0.8, 1, 2, and 4) amorphous alloys were developed by melt spinning, and the influences of W addition on the amorphous structure, thermal behavior, and soft magnetic performances were researched by several experiments and AIMD simulation. The addition of W enhances the thermal stability, with Tx1 and Tx2 increasing up to 711 K and 731 K, respectively, consistent with the BP analysis of the simulation, which suggests that the GFA of the amorphous alloy can be improved with W addition. The amorphous alloy systems exhibit good Bs and low Hc in the range of 1.17–1.62 T and 1.4–6.3 A/m. The low Hc of annealed ribbons was proved by straight wide stripy magnetic domains. Especially, the Fe85.6P11C2B1W0.4 alloy shows optimal soft magnetic performances, with low Hc of 1.4 A/m and relatively good Bs of 1.52 T. The magnetic moment and electron DOS analysis demonstrates that the decrease in Bs via W addition results from the distance increase in nearest neighboring Fe-Fe, gap narrowing between spin-up N↑ and spin-down N↓ electrons, diminishment of the coordination number, and a reduction in the average magnetic moment of the Fe atoms.

Author Contributions

C.S.: methodology, investigation, data curation, visualization, and writing—original draft. H.X.: methodology, writing—review and editing. Y.M.: methodology, writing—review and editing. X.W.: simulation, software. M.H.: investigation, data curation. B.Q.: investigation, resources. Y.W.: investigation. T.Z.: conceptualization, methodology, supervision, resources, and funding acquisition. All authors have read and agreed to the published version of the manuscript.

Funding

This research was funded by the National Natural Science Foundation of China (Grant No. 51971006).

Institutional Review Board Statement

Not applicable.

Informed Consent Statement

Not applicable.

Data Availability Statement

The data presented in this study are available on request from the corresponding author. The data are not publicly available due to the data also forms part of an ongoing study.

Conflicts of Interest

The authors state that they do not have any competing financial interest or personal relationships that could have appeared to influence the work reported herein.

References

  1. Silveyra, J.M.; Ferrara, E.; Huber, D.L.; Monson, T.C. Soft magnetic materials for a sustainable and electrified world. Science 2018, 362, eaao0195. [Google Scholar] [CrossRef]
  2. Li, F.C.; Liu, T.; Zhang, J.Y.; Shuang, S.; Wang, Q.; Wang, A.D.; Wang, J.G.; Yang, Y. Amorphous–nanocrystalline alloys: Fabrication, properties, and applications. Mater. Today Adv. 2019, 4, 100027. [Google Scholar] [CrossRef]
  3. Shi, L.; Yao, K. Composition design for Fe-based soft magnetic amorphous and nanocrystalline alloys with high Fe content. Mater. Des. 2020, 189, 108511. [Google Scholar] [CrossRef]
  4. Azuma, D.; Ito, N.; Ohta, M. Recent progress in Fe-based amorphous and nanocrystalline soft magnetic materials. J. Magn. Magn. Mater. 2020, 501, 166373. [Google Scholar] [CrossRef]
  5. Liu, Z.; Yu, D.; Li, K.; Luo, Y.; Yuang, C.; Wang, Z.; Sun, l.; Men, K. Effect of Y addition on crystallization behavior and soft-magnetic properties of Fe78Si9B13 ribbons. J. Magn. Magn. Mater. 2017, 436, 17–20. [Google Scholar]
  6. Liu, Z.Q.; Shi, M.J.; Zhang, T. Composition dependences and optimization of the magnetic properties of Fe-based metallic glasses. Mater. Res. Express 2014, 1, 046110. [Google Scholar] [CrossRef]
  7. Shi, M.; Li, R.; Wang, J.; Liu, Z.; Luo, X.; Zhang, T. Effects of minor Cu addition on glass-forming ability and magnetic properties of FePCBCu alloys with high saturation magnetization. Philos. Mag. 2013, 93, 2182–2189. [Google Scholar] [CrossRef]
  8. Shi, Z.; Li, R.; Li, X.; Wang, C.; Zhang, T. Controllable brittleness in soft-magnetic Fe-P-C-B metallic glasses through composition design. Mater. Sci. Eng. A 2019, 766, 138385. [Google Scholar] [CrossRef]
  9. Li, W.; Yang, Y.; Xie, C.; Yang, Y.; Liu, H.; Wang, K.; Liao, Z. Glass formation, crystallization and magnetic properties of high-Fe Fe-metalloid (B, C, and P) melt-spun ribbons. J. Magn. Magn. Mater. 2020, 498, 166128. [Google Scholar] [CrossRef]
  10. Lashgari, H.R.; Chu, D.; Xie, S.; Sun, H.; Ferry, M.; Li, S. Composition dependence of the microstructure and soft magnetic properties of Fe-based amorphous/nanocrystalline alloys: A review study. J. Non-Cryst. Solids 2014, 391, 61–82. [Google Scholar] [CrossRef]
  11. Lu, Z.P.; Liu, C.T. Role of minor alloying additions in formation of bulk metallic glasses: A Review. J. Mater. Sci. 2004, 39, 3965–3974. [Google Scholar] [CrossRef]
  12. Kotan, H.; Darling, K.A.; Saber, M.; Koch, C.C.; Scattergood, R.O. Effect of zirconium on grain growth and mechanical properties of a ball-milled nanocrystalline FeNi alloy. J. Alloys Compd. 2013, 551, 621–629. [Google Scholar] [CrossRef]
  13. Xu, M.; Yi, J.; Quan, M.; Wang, Y.; Zuo, L. Effect of Nb on crystallization kinetics of Fe-Co-Nd-B amorphous alloys. Acta Metall. Sin. 2009, 45, 91–96. [Google Scholar]
  14. Han, B.-K.; Jo, H.-I.; Lee, J.K.; Kim, K.B.; Yim, H. Thermal stability, mechanical properties and magnetic properties of Fe-based amorphous ribbons with the addition of Mo and Nb. J. Magn. 2013, 18, 395–399. [Google Scholar] [CrossRef]
  15. Zhang, Y.; Wang, Y.; Makino, A. Structural and magnetic properties on the Fe-B-P-Cu-W nano-crystalline alloy system. AIP Adv. 2018, 8, 047703. [Google Scholar] [CrossRef]
  16. Inoue, A.; Zhang, T.; Koshiba, H.; Makino, A. New bulk amorphous Fe–(Co,Ni)–M–B (M = Zr, Hf, Nb, Ta, Mo, W) alloys with good soft magnetic properties. J. Appl. Phys. 1998, 83, 6326–6328. [Google Scholar] [CrossRef]
  17. Nabiałek, M.G.; Dośpiał, M.J.; Szota, M.; Pietrusiewicz, P.; Jędryka, J. Investigation of the thermal and magnetic properties of Fe61Co10Zr2 Fe61Co10Zr2.5Hf2.5Me2W2B20 (Me = Y, Nb, W, Ti, Mo, Ni) bulk amorphous alloys obtained by an induction suction method. J. Alloys Compd. 2011, 509, 3382–3386. [Google Scholar] [CrossRef]
  18. Zhang, X.; Lai, L.; Xiao, S.; Zhang, H.; Zhang, F.; Li, N.; Guo, S. Effect of W on the thermal stability, mechanical properties and corrosion resistance of Fe-based bulk metallic glass. Intermetallics 2022, 143, 107485. [Google Scholar] [CrossRef]
  19. Liang, D.-D.; Wei, X.-S.; Chang, C.-T.; Li, J.-W.; Wang, X.-M.; Shen, J. Effect of W addition on the glass forming ability and mechanical properties of Fe-based metallic glass. J. Alloys Compd. 2018, 731, 1146–1150. [Google Scholar] [CrossRef]
  20. Huang, X.M.; Chang, C.T.; Chang, Z.Y.; Inoue, A.; Jiang, J.Z. Glass forming ability, mechanical and magnetic properties in Fe–W–Y–B alloys. Mater. Sci. Eng. A 2010, 527, 1952–1956. [Google Scholar] [CrossRef]
  21. Pawlik, P.; Davies, H.A.; Gibbs, M.R.J. Magnetic properties and glass formability of Fe61Co10Zr5W4B20 bulk metallic glassy alloy. Appl. Phys. Lett. 2003, 83, 2775–2777. [Google Scholar] [CrossRef]
  22. Kresse, G.; Furthmüller, J. Efficient iterative schemes for ab initio total-energy calculations using a plane-wave basis set. Phys. Rev. B 1996, 54, 11169–11186. [Google Scholar] [CrossRef] [PubMed]
  23. Kresse, G.; Joubert, D. From ultrasoft pseudopotentials to the projector augmented-wave method. Phys. Rev. B 1999, 59, 1758–1775. [Google Scholar] [CrossRef]
  24. Wang, Y.; Perdew, J.P. Correlation hole of the spin-polarized electron gas, with exact small-wave-vector and high-density scaling. Phys. Rev. B 1991, 44, 13298–13307. [Google Scholar] [CrossRef] [PubMed]
  25. Li, Y.L.; Dou, Z.X.; Chen, X.M.; Lv, K.; Li, F.S.; Hui, X.D. Improving the amorphous forming ability and magnetic properties of FeSiBPCu amorphous and nanocrystalline alloys by utilizing carbon. J. Alloys Compd. 2020, 844, 155767. [Google Scholar] [CrossRef]
  26. Takeuchi, A.; Inoue, A. Classification of Bulk Metallic Glasses by Atomic Size Difference, Heat of Mixing and Period of Constituent Elements and Its Application to Characterization of the Main Alloying Element. Mater. Trans. 2005, 46, 2817–2829. [Google Scholar] [CrossRef]
  27. Öztürk, P.; Hitit, A. Effects of Tungsten and Boron Contents on Crystallization Temperature and Microhardness of Tungsten Based Metallic Glasses. Acta Metall. Sin. 2015, 28, 733–738. [Google Scholar] [CrossRef]
  28. Xu, M.; Quan, M.X.; Hu, Z.Q.; Zhao, Y.H.; Cheng, L.Z.; He, K.Y. Multicomponent Fe-based amorphous alloys with wide supercooled liquid region. Acta Metall. Sin. 2001, 37, 637–642. [Google Scholar]
  29. Ba, Q.; Zhi, J.; Zeng, G.; Liu, G. Effect of heat treatment on the magnetic aftereffect in Fe-based amorphous alloys. J. Magn. Magn. Mater. 1996, 163, 327–330. [Google Scholar] [CrossRef]
  30. Zhang, Z.; Sharma, P.; Makino, A. Role of Si in high Bs and low core-loss Fe85.2B10−XP4Cu0.8SiX nano-crystalline alloys. J. Appl. Phys. 2012, 112, 103902. [Google Scholar] [CrossRef]
  31. Hou, L.; Fan, X.; Wang, Q.; Yang, W.; Shen, B. Microstructure and soft-magnetic properties of FeCoPCCu nanocrystalline alloys. J. Mater. Sci. Technol. 2019, 35, 1655–1661. [Google Scholar] [CrossRef]
  32. Kronmüller, H. Theory of the coercive field in amorphous ferromagnetic alloys. J. Magn. Magn. Mater. 1981, 24, 159–167. [Google Scholar] [CrossRef]
  33. Horvat, J.; Babić, E. The variation of the domain wall pinning strength with the depth within the Co74Fe6B20 amorphous alloy. J. Magn. Magn. Mater. 1991, 96, L13–L16. [Google Scholar] [CrossRef]
  34. Sato, T.; Yamada, T. Improvement of core loss by chemical thinning in a thick amorphous alloy ribbon. IEEE Trans. Magn. 1992, 28, 2775–2777. [Google Scholar] [CrossRef]
  35. Zhang, Y.N.; Wang, Y.J.; Kong, L.T.; Li, J.F. Influence of Y addition on the glass forming ability and soft magnetic properties of Fe-Si-B amorphous alloy. Wuli Xuebao/Acta Phys. Sin. 2012, 61, 157502. [Google Scholar] [CrossRef]
  36. Xie, L.; Liu, T.; He, A.; Li, Q.; Gao, Z.; Wang, A.; Chang, C.; Wang, X.; Liu, C.T. High Bs Fe-based nanocrystalline alloy with high impurity tolerance. J. Mater. Sci. 2017, 53, 1437–1446. [Google Scholar] [CrossRef]
  37. Chen, P.; Wang, A.; Zhao, C.; He, A.; Wang, G.; Chang, C.; Wang, X.; Liu, C.-T. Development of soft magnetic amorphous alloys with distinctly high Fe content. SCI China Phys. Mech. 2017, 60, 1–6. [Google Scholar] [CrossRef]
  38. Bitoh, T.; Makino, A.; Inoue, A. Origin of Low Coercivity of Fe-(Al, Ga)-(P, C, B, Si, Ge) Bulk Glassy Alloys. Mater. Trans. 2003, 44, 2020–2024. [Google Scholar] [CrossRef]
  39. Herzer, G. Modern soft magnets: Amorphous and nanocrystalline materials. Acta Mater. 2013, 61, 718–734. [Google Scholar] [CrossRef]
  40. Honeycutt, J.D.; Andersen, H.C. Molecular dynamics study of melting and freezing of small Lennard-Jones clusters. J. Phys. Chem. 1987, 91, 4950–4963. [Google Scholar] [CrossRef]
  41. Li, X.; Zuo, L.; Zhang, X.; Zhang, T. Atomic structure and magnetic properties of the Fe78B13Si9 amorphous alloy surface. J. Phys. Chem. C 2018, 122, 28613–28618. [Google Scholar] [CrossRef]
  42. Narayan, R.L.; Raut, D.; Ramamurty, U. A quantitative connection between shear band mediated plasticity and fracture initiation toughness of metallic glasses. Acta Mater. 2018, 150, 69–77. [Google Scholar] [CrossRef]
  43. Li, X.; Shi, Z.; Zhang, T. Effect of similar element substitution on Fe-B-Si-Mo bulk metallic glasses studied by experiment and ab initio molecular dynamics simulation. J. Alloys Compd. 2019, 784, 1139–1144. [Google Scholar] [CrossRef]
  44. Lu, L.; Guo, Y.; Li, X.; Zhang, T. The atomic structure, magnetic properties and bending ductility of a novel Fe-P-C-B-Si amorphous alloy investigated by experiments and ab initio molecular dynamics. J. Alloys Compd. 2022, 904, 164101. [Google Scholar] [CrossRef]
  45. Ganesh, P.; Widom, M. Ab initio simulations of geometrical frustration in supercooled liquid Fe and Fe-based metallic glass. Phys. Rev. B 2008, 77, 014205. [Google Scholar] [CrossRef]
  46. Zhu, L.; Wang, Y.G.; Cao, C.C.; Yang, M. Study of structural and magnetic properties of Fe80P9B11 amorphous alloy by ab initio molecular dynamic simulation. Chin. Phys. B 2017, 26, 067101. [Google Scholar] [CrossRef]
  47. Wang, H.; Hu, T.; Zhang, T. Atomic, electronic and magnetic properties of Fe80P11C9 amorphous alloy: A first-principles study. Physica B 2013, 411, 161–165. [Google Scholar] [CrossRef]
Figure 1. (a) XRD patterns and (b) DSC curves of the melt-spun Fe86−xP11C2B1Wx ribbons.
Figure 1. (a) XRD patterns and (b) DSC curves of the melt-spun Fe86−xP11C2B1Wx ribbons.
Materials 15 08416 g001
Figure 2. Annealing temperatures dependence of (a) Hc and (b) Bs for Fe86−xP11C2B1Wx alloy ribbons.
Figure 2. Annealing temperatures dependence of (a) Hc and (b) Bs for Fe86−xP11C2B1Wx alloy ribbons.
Materials 15 08416 g002
Figure 3. Magnetic domains of (a,b) W0 and W0.1 ribbon annealed at 643 K; (c) W0.2 ribbon annealed at 663 K; (dg) W0.4, W0.6, W0.8 and W1 ribbon annealed at 683 K; (h) W2 ribbon annealed at 671 K; (i) W4 ribbon annealed at 691 K; (j,k) as-spun W0.4 and W0.8 ribbon. The annealing time is 10 min. The magnitude of the field is 20 Oe, and the orientation of this field is perpendicular to the direction of the long axis of the ribbon.
Figure 3. Magnetic domains of (a,b) W0 and W0.1 ribbon annealed at 643 K; (c) W0.2 ribbon annealed at 663 K; (dg) W0.4, W0.6, W0.8 and W1 ribbon annealed at 683 K; (h) W2 ribbon annealed at 671 K; (i) W4 ribbon annealed at 691 K; (j,k) as-spun W0.4 and W0.8 ribbon. The annealing time is 10 min. The magnitude of the field is 20 Oe, and the orientation of this field is perpendicular to the direction of the long axis of the ribbon.
Materials 15 08416 g003
Figure 4. XRD patterns of the annealed Fe86−xP11C2B1Wx ribbons.
Figure 4. XRD patterns of the annealed Fe86−xP11C2B1Wx ribbons.
Materials 15 08416 g004
Figure 5. (a) Bright-field TEM and (b) HRTEM pictures of Fe85.6P11C2B1W0.4 sample annealed at 683 K for 10 min. (c) Bright-field TEM and (d) HRTEM pictures of Fe85.6P11C2B1W0.8 sample annealed at 683 K for 10 min. The insets in (a,c) are the corresponding SAED patterns.
Figure 5. (a) Bright-field TEM and (b) HRTEM pictures of Fe85.6P11C2B1W0.4 sample annealed at 683 K for 10 min. (c) Bright-field TEM and (d) HRTEM pictures of Fe85.6P11C2B1W0.8 sample annealed at 683 K for 10 min. The insets in (a,c) are the corresponding SAED patterns.
Materials 15 08416 g005
Figure 6. (a) Pair correlation functions and (b) bond pairs distribution of Fe86−xP11C2B1Wx (x = 0, 0.5, and 1) amorphous alloys.
Figure 6. (a) Pair correlation functions and (b) bond pairs distribution of Fe86−xP11C2B1Wx (x = 0, 0.5, and 1) amorphous alloys.
Materials 15 08416 g006
Figure 7. Fe magnetic moment distribution with corresponding coordination number in the Fe86−xP11C2B1Wx (x = 0, 0.5, and 1) amorphous alloys.
Figure 7. Fe magnetic moment distribution with corresponding coordination number in the Fe86−xP11C2B1Wx (x = 0, 0.5, and 1) amorphous alloys.
Materials 15 08416 g007
Figure 8. (a) Total electron DOS and (b) partial electron DOS of Fe atoms (3d orbital) in the Fe86−xP11C2B1Wx (x = 0, 0.5 and 1) amorphous alloys. The arrows indicate the spin direction of the electron.
Figure 8. (a) Total electron DOS and (b) partial electron DOS of Fe atoms (3d orbital) in the Fe86−xP11C2B1Wx (x = 0, 0.5 and 1) amorphous alloys. The arrows indicate the spin direction of the electron.
Materials 15 08416 g008
Table 1. Thermal parameters of Fe86−xP11C2B1Wx amorphous alloys.
Table 1. Thermal parameters of Fe86−xP11C2B1Wx amorphous alloys.
AlloysThermal Parameters
Tx1 (K)Tx2 (K)ΔT (K)
Fe86P11C2B165573681
Fe85.9P11C2B1W0.166174684
Fe85.8P11C2B1W0.266074989
Fe85.6P11C2B1W0.468075878
Fe85.4P11C2B1W0.668276078
Fe85.2P11C2B1W0.868776376
Fe85P11C2B1W168876678
Fe84P11C2B1W269276876
Fe82P11C2B1W471177362
Table 2. The Hc and Bs values of Fe86−xP11C2B1Wx alloys annealed at optimal temperature for 10 min.
Table 2. The Hc and Bs values of Fe86−xP11C2B1Wx alloys annealed at optimal temperature for 10 min.
AlloysTa (K)Hc (A/m)Bs (T)
Fe86P11C2B16433.61.62
Fe85.9P11C2B1W0.16433.51.61
Fe85.8P11C2B1W0.26633.71.55
Fe85.6P11C2B1W0.46831.41.52
Fe85.4P11C2B1W0.66831.91.48
Fe85.2P11C2B1W0.86831.61.45
Fe85P11C2B1W16832.01.41
Fe84P11C2B1W26712.31.38
Fe82P11C2B1W46916.31.17
Table 3. Average magnetic moments of each atomic orbital for the Fe, P, C, B, and W atoms in the Fe86−xP11C2B1Wx (x = 0, 0.5 and 1) amorphous alloys.
Table 3. Average magnetic moments of each atomic orbital for the Fe, P, C, B, and W atoms in the Fe86−xP11C2B1Wx (x = 0, 0.5 and 1) amorphous alloys.
AlloysElements (μB)p (μB)d (μB)Total (μB)
Fe86P11C2B1Fe−0.009−0.0342.2682.225
P−0.005−0.0820.000−0.087
C−0.015−0.1260.000−0.141
B−0.026−0.1370.000−0.164
Fe85.5P11C2B1W0.5Fe−0.008−0.0352.2502.207
P−0.006−0.0840.000−0.090
C−0.015−0.1260.000−0.141
B−0.027−0.1340.000−0.161
W−0.027−0.039−0.521−0.587
Fe85P11C2B1W1Fe−0.008−0.0332.1372.096
P−0.005−0.0770.000−0.082
C−0.013−0.1080.000−0.121
B−0.026−0.1270.000−0.153
W−0.027−0.039−0.513−0.578
Publisher’s Note: MDPI stays neutral with regard to jurisdictional claims in published maps and institutional affiliations.

Share and Cite

MDPI and ACS Style

Sun, C.; Xu, H.; Meng, Y.; Wang, X.; Han, M.; Qiao, B.; Wang, Y.; Zhang, T. Effect of W Addition on Fe-P-C-B Soft-Magnetic Amorphous Alloy. Materials 2022, 15, 8416. https://doi.org/10.3390/ma15238416

AMA Style

Sun C, Xu H, Meng Y, Wang X, Han M, Qiao B, Wang Y, Zhang T. Effect of W Addition on Fe-P-C-B Soft-Magnetic Amorphous Alloy. Materials. 2022; 15(23):8416. https://doi.org/10.3390/ma15238416

Chicago/Turabian Style

Sun, Cheng, Hongjie Xu, Yang Meng, Xinchao Wang, Minhao Han, Boying Qiao, Yalong Wang, and Tao Zhang. 2022. "Effect of W Addition on Fe-P-C-B Soft-Magnetic Amorphous Alloy" Materials 15, no. 23: 8416. https://doi.org/10.3390/ma15238416

APA Style

Sun, C., Xu, H., Meng, Y., Wang, X., Han, M., Qiao, B., Wang, Y., & Zhang, T. (2022). Effect of W Addition on Fe-P-C-B Soft-Magnetic Amorphous Alloy. Materials, 15(23), 8416. https://doi.org/10.3390/ma15238416

Note that from the first issue of 2016, this journal uses article numbers instead of page numbers. See further details here.

Article Metrics

Back to TopTop