Dielectric and Spin-Glass Magnetic Properties of the A-Site Columnar-Ordered Quadruple Perovskite Sm2CuMn(MnTi3)O12
Abstract
1. Introduction
2. Experimental
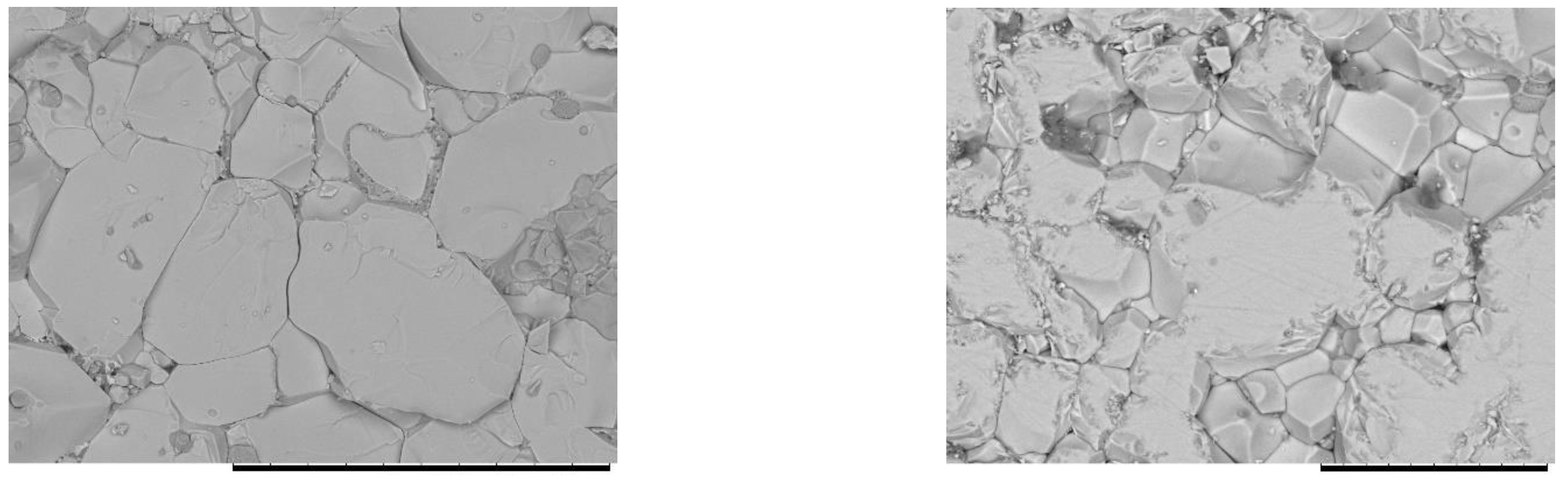
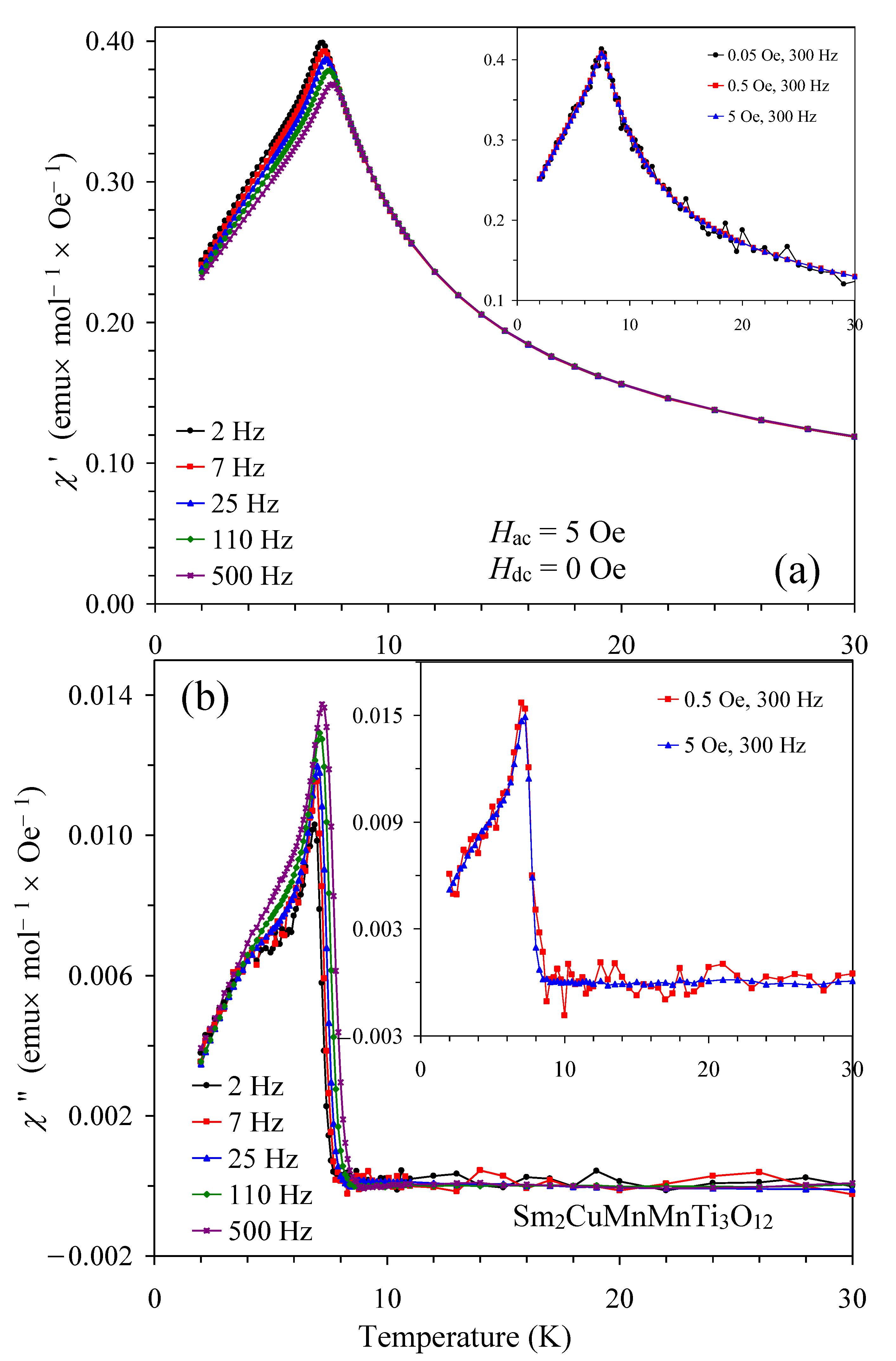
3. Results and Discussion
4. Conclusions
Author Contributions
Funding
Institutional Review Board Statement
Informed Consent Statement
Data Availability Statement
Acknowledgments
Conflicts of Interest
References
- Abakumov, A.M.; Tsirlin, A.A.; Antipov, E.V. Transition-Metal Perovskites. In Comprehensive Inorganic Chemistry II (Second Edition): From Elements to Applications; Reedijk, J., Poeppelmeier, K.R., Eds.; Elsevier: Amsterdam, The Netherlands, 2013; Volume 2, pp. 1–40. [Google Scholar]
- King, G.; Woodward, P.M. Cation ordering in perovskites. J. Mater. Chem. 2010, 20, 5785–5796. [Google Scholar] [CrossRef]
- Vasala, S.; Karppinen, M. A2B′B′′O6 perovskites: A review. Prog. Solid State Chem. 2015, 43, 1–36. [Google Scholar] [CrossRef]
- Knapp, M.C.; Woodward, P.M. A-site cation ordering in AA′BB′O6 perovskites. J. Solid State Chem. 2006, 179, 1076–1085. [Google Scholar] [CrossRef]
- Rubel, M.H.K.; Miura, A.; Takei, T.; Kumada, N.; Mozahar Ali, M.; Nagao, M.; Watauchi, S.; Tanaka, I.; Oka, K.; Azuma, M.; et al. Superconducting double perovskite bismuth oxide prepared by a low-temperature hydrothermal reaction. Angew. Chem. Int. Ed. 2014, 126, 3673–3677. [Google Scholar]
- Rubel, M.H.K.; Takei, T.; Kumada, N.; Mozahar Ali, M.; Miura, A.; Tadanaga, K.; Oka, K.; Azuma, M.; Yashima, M.; Fujii, K.; et al. Hydrothermal synthesis, crystal structure, and superconductivity of a double-perovskite Bi oxide. Chem. Mater. 2016, 28, 459–465. [Google Scholar]
- Vasil’ev, A.N.; Volkova, O.S. New functional materials AC3B4O12 (review). Low Temp. Phys. 2007, 33, 895–914. [Google Scholar] [CrossRef]
- Long, Y.W. A-site ordered quadruple perovskite oxides AA′3B4O12. Chin. Phys. B 2016, 25, 078108. [Google Scholar] [CrossRef]
- Belik, A.A.; Johnson, R.D.; Khalyavin, D.D. The rich physics of A-site-ordered quadruple perovskite manganites AMn7O12. Dalton Trans. 2021, 50, 15458–15472. [Google Scholar] [CrossRef]
- Belik, A.A. Rise of A-site columnar-ordered A2A′A″B4O12 quadruple perovskites with intrinsic triple order. Dalton Trans. 2018, 47, 3209–3217. [Google Scholar] [CrossRef]
- Vibhakar, A.M.; Khalyavin, D.D.; Manuel, P.; Liu, J.; Belik, A.A.; Johnson, R.D. Spontaneous rotation of ferrimagnetism driven by antiferromagnetic spin canting. Phys. Rev. Lett. 2020, 124, 127201. [Google Scholar]
- Zhang, L.; Matsushita, Y.; Yamaura, K.; Belik, A.A. Five-fold ordering in high-pressure perovskites RMn3O6 (R = Gd-Tm and Y). Inorg. Chem. 2017, 56, 5210–5218. [Google Scholar] [CrossRef] [PubMed]
- Johnson, R.D.; Khalyavin, D.D.; Manuel, P.; Zhang, L.; Yamaura, K.; Belik, A.A. Magnetic structures of the rare-earth quadruple perovskite manganites RMn7O12. Phys. Rev. B Condens. Matter Mater. Phys. 2018, 98, 104423. [Google Scholar] [CrossRef]
- Sanchez-Benitez, J.; Alonso, J.A.; Martinez-Lope, M.J.; de Andres, A.; Fernandez-Diaz, M.T. Enhancement of the Curie temperature along the perovskite series RCu3Mn4O12 driven by chemical pressure of R3+ cations (R = rare earths). Inorg. Chem. 2010, 49, 5679–5685. [Google Scholar] [CrossRef] [PubMed]
- Belik, A.A.; Khalyavin, D.D.; Zhang, L.; Matsushita, Y.; Katsuya, Y.; Tanaka, M.; Johnson, R.D.; Yamaura, K. Intrinsic triple order in A-site columnar-ordered quadruple perovskites: Proof of concept. ChemPhysChem 2018, 19, 2449–2452. [Google Scholar] [CrossRef]
- Belik, A.A.; Matsushita, Y.; Khalyavin, D.D. Reentrant structural transitions and collapse of charge and orbital orders in quadruple perovskites. Angew. Chem. Int. Ed. 2017, 56, 10423–10427. [Google Scholar] [CrossRef]
- Khalyavin, D.D.; Johnson, R.D.; Orlandi, F.; Radaelli, P.G.; Manuel, P.; Belik, A.A. Emergent helical texture of electric dipoles. Science 2020, 369, 680–684. [Google Scholar] [CrossRef]
- Belik, A.A.; Matsushita, Y.; Tanaka, M.; Johnson, R.D.; Khalyavin, D.D. A plethora of structural transitions, distortions and modulations in Cu-doped BiMn7O12 quadruple perovskites. J. Mater. Chem. C 2021, 9, 10232–10242. [Google Scholar] [CrossRef]
- Kayser, P.; Martinez-Lope, M.J.; Alonso, J.A.; Sanchez-Benitez, J.; Fernandez, M.T. High-pressure synthesis and characterization of BiCu3(Mn4−xFex)O12 (x = 0, 1.0, 2.0) complex perovskites. J. Solid State Chem. 2013, 204, 78–85. [Google Scholar] [CrossRef]
- Liu, R.; Khalyavin, D.D.; Tsunoda, N.; Kumagai, Y.; Oba, F.; Katsuya, Y.; Tanaka, M.; Yamaura, K.; Belik, A.A. Spin-glass magnetic properties of A-site columnar-ordered quadruple perovskites Y2MnGa(Mn4–xGax)O12 with 0 ≤ x ≤ 3. Inorg. Chem. 2019, 58, 14830–14841. [Google Scholar]
- Belik, A.A.; Khalyavin, D.D.; Matsushita, Y.; Yamaura, K. Triple A-site cation ordering in the ferrimagnetic Y2CuGaMn4O12 perovskite. Inorg. Chem. 2022, 61, 14428–14435. [Google Scholar] [CrossRef]
- Belik, A.A.; Zhang, L.; Liu, R.; Khalyavin, D.D.; Katsuya, Y.; Tanaka, M.; Yamaura, K. Valence variations by B-site doping in A-site columnar-ordered quadruple perovskites Sm2MnMn(Mn4−xTix)O12 with 1 ≤ x ≤ 3. Inorg. Chem. 2019, 58, 3492–3501. [Google Scholar] [CrossRef]
- Vibhakar, A.M.; Khalyavin, D.D.; Manuel, P.; Liu, R.; Yamaura, K.; Belik, A.A.; Johnson, R.D. Effects of magnetic dilution in the ferrimagnetic columnar ordered Sm2MnMnMn4−xTixO12 perovskites. Phys. Rev. B Condens. Matter Mater. Phys. 2020, 102, 214428. [Google Scholar] [CrossRef]
- Aimi, A.; Mori, D.; Hiraki, K.; Takahashi, T.; Shan, Y.J.; Shirako, Y.; Zhou, J.S.; Inaguma, Y. High-pressure synthesis of A-site ordered double perovskite CaMnTi2O6 and ferroelectricity driven by coupling of A-site ordering and the second-order Jahn–Teller effect. Chem. Mater. 2014, 26, 2601–2608. [Google Scholar] [CrossRef]
- Liu, R.; Scatena, R.; Khalyavin, D.D.; Johnson, R.D.; Inaguma, Y.; Tanaka, M.; Matsushita, Y.; Yamaura, K.; Belik, A.A. High-pressure synthesis, crystal structures, and properties of A-site columnar-ordered quadruple perovskites NaRMn2Ti4O12 with R = Sm, Eu, Gd, Dy, Ho, Y. Inorg. Chem. 2020, 59, 9065–9076. [Google Scholar] [CrossRef]
- Tanaka, M.; Katsuya, Y.; Matsushita, Y.; Sakata, O. Development of a synchrotron powder diffractometer with a one-dimensional X-ray detector for analysis of advanced materials. J. Ceram. Soc. Jpn. 2013, 121, 287–290. [Google Scholar] [CrossRef]
- Izumi, F.; Ikeda, T. A Rietveld-analysis program RIETAN-98 and its applications to zeolites. Mater. Sci. Forum 2000, 321, 198–205. [Google Scholar] [CrossRef]
- Waroquiers, D.; Gonze, X.; Rignanese, G.-M.; Welker-Nieuwoudt, C.; Rosowski, F.; Gobel, M.; Schenk, S.; Degelmann, P.; André, R.; Glaum, R.; et al. Statistical analysis of coordination environments in oxides. Chem. Mater. 2017, 29, 8346–8360. [Google Scholar] [CrossRef]
- Liu, R.; Tanaka, M.; Mori, H.; Inaguma, Y.; Yamaura, K.; Belik, A.A. Ferrimagnetic and relaxor ferroelectric properties of R2MnMn(MnTi3)O12 perovskites with R = Nd, Eu, and Gd. J. Mater. Chem. C 2021, 9, 947–956. [Google Scholar] [CrossRef]
- Mydosh, J.A. Spin Glass: An Experimental Introduction; Taylor & Francis: London, UK, 1993. [Google Scholar]
- von Lohneysen, H. Low energy excitations in amorphous metals. Phys. Rep. 1981, 79, 161–212. [Google Scholar] [CrossRef]
- Binder, K.; Young, A.P. Spin-glasses: Experimental facts, theoretical concepts, and open questions. Rev. Mod. Phys. 1986, 58, 801–976. [Google Scholar] [CrossRef]
- Kittel, C. Introduction to Solid State Physics, 8th ed.; John Wiley and Sons, Inc.: New York, NY, USA, 2005. [Google Scholar]
- Belik, A.A.; Liu, R.; Yamaura, K. Spin-glass to long-range order to spin-glass evolution of magnetic properties with the composition in Sm2MnZnMn4−xTixO12 (x = 1, 2, and 3) perovskites. J. Alloys Compd. 2023, 932, 166297. [Google Scholar] [CrossRef]










| Crystal system | Tetragonal |
| Space group | P42/nmc (No. 137, cell choice 2) |
| Z | 2 |
| Caclulated density (g/cm3) | 6.15 |
| Formula weight (g/cm3) | 809.737 |
| Used d range (Å) | 0.6507–6.238 |
| a (Å) | 7.53477(1) |
| c (Å) | 7.69788(1) |
| V (Å3) | 437.0301(8) |
| g(Sm) | 0.9413(9)Sm + 0.0587Mn |
| z(Sm) | 0.22194(4) |
| B(Sm) (Å2) | 0.796(7) |
| g(Cu) | 0.4597MC + 0.0403Sm |
| z(Cu) | 0.7804(3) |
| B(Cu) (Å2) | 1.25(7) |
| g(Mn) | 0.963(3)Mn + 0.037Sm |
| B(Mn) (Å2) | 0.38(6) |
| g(Ti) | 0.25MC + 0.75Ti |
| B(Ti) (Å2) | 0.400(9) |
| y(O1) | 0.0571(3) |
| z(O1) | −0.0379(3) |
| B(O1) (Å2) | 0.33(5) |
| y(O2) | 0.5363(3) |
| z(O2) | 0.5745(3) |
| B(O2) (Å2) | 0.36(5) |
| x(O3) | 0.44161(23) |
| B(O3) (Å2) | 1.48(7) |
| Rwp (%) | 3.16 |
| Rp (%) | 2.17 |
| RI (%) | 2.63 |
| RF (%) | 1.69 |
| Sm–O1 × 2 | 2.352(3) |
| Sm–O1 × 2 | 2.472(2) |
| Sm–O2 × 2 | 2.437(2) |
| Sm–O3 × 4 | 2.744(1) |
| Cu–O3 × 4 | 2.055(2) |
| Mn–O2 × 4 | 2.102(3) |
| Ti–O1 × 2 | 1.954(1) |
| Ti–O2 × 2 | 1.988(1) |
| Ti–O3 × 2 | 2.023(1) |
| Δ(TiO6) | 2.0 × 10−4 |
| Ti–O1–Ti × 2 | 149.17(9) |
| Ti–O2–Ti × 2 | 142.75(9) |
| Ti–O3–Ti × 2 | 144.17(9) |
| T (K) | M0 | MSG | tr (s) | β |
|---|---|---|---|---|
| 2 | 22.80(13) | 23.67(18) | 1270(24) | 0.4362(4) |
| 3 | 26.01(12) | 27.20(20) | 979(16) | 0.4461(4) |
| 4 | 22.81(10) | 23.94(18) | 800(11) | 0.4495(4) |
| 5 | 17.74(6) | 18.62(13) | 671(8) | 0.4558(4) |
| 6 | 12.34(14) | 13.01(9) | 554(6) | 0.4654(4) |
Publisher’s Note: MDPI stays neutral with regard to jurisdictional claims in published maps and institutional affiliations. |
© 2022 by the authors. Licensee MDPI, Basel, Switzerland. This article is an open access article distributed under the terms and conditions of the Creative Commons Attribution (CC BY) license (https://creativecommons.org/licenses/by/4.0/).
Share and Cite
Belik, A.A.; Liu, R.; Yamaura, K. Dielectric and Spin-Glass Magnetic Properties of the A-Site Columnar-Ordered Quadruple Perovskite Sm2CuMn(MnTi3)O12. Materials 2022, 15, 8306. https://doi.org/10.3390/ma15238306
Belik AA, Liu R, Yamaura K. Dielectric and Spin-Glass Magnetic Properties of the A-Site Columnar-Ordered Quadruple Perovskite Sm2CuMn(MnTi3)O12. Materials. 2022; 15(23):8306. https://doi.org/10.3390/ma15238306
Chicago/Turabian StyleBelik, Alexei A., Ran Liu, and Kazunari Yamaura. 2022. "Dielectric and Spin-Glass Magnetic Properties of the A-Site Columnar-Ordered Quadruple Perovskite Sm2CuMn(MnTi3)O12" Materials 15, no. 23: 8306. https://doi.org/10.3390/ma15238306
APA StyleBelik, A. A., Liu, R., & Yamaura, K. (2022). Dielectric and Spin-Glass Magnetic Properties of the A-Site Columnar-Ordered Quadruple Perovskite Sm2CuMn(MnTi3)O12. Materials, 15(23), 8306. https://doi.org/10.3390/ma15238306

