Relation between Shear Stresses and Flexural Tensile Stresses from Standardized Tests of Extracted Prismatic Specimens of an SFRC Bridge Girder
Abstract
1. Introduction
2. Materials and Methods
2.1. The R/SFRC Box Girder Prototype
2.2. Materials and Mix Proportions
2.3. Mechanical Tests
2.4. Edge Effects
2.5. Computed Tomography Scanning and Fiber Counting
3. Results and Discussion
3.1. Mechanical Behavior and Effect of the Distribution and Density of Fibers
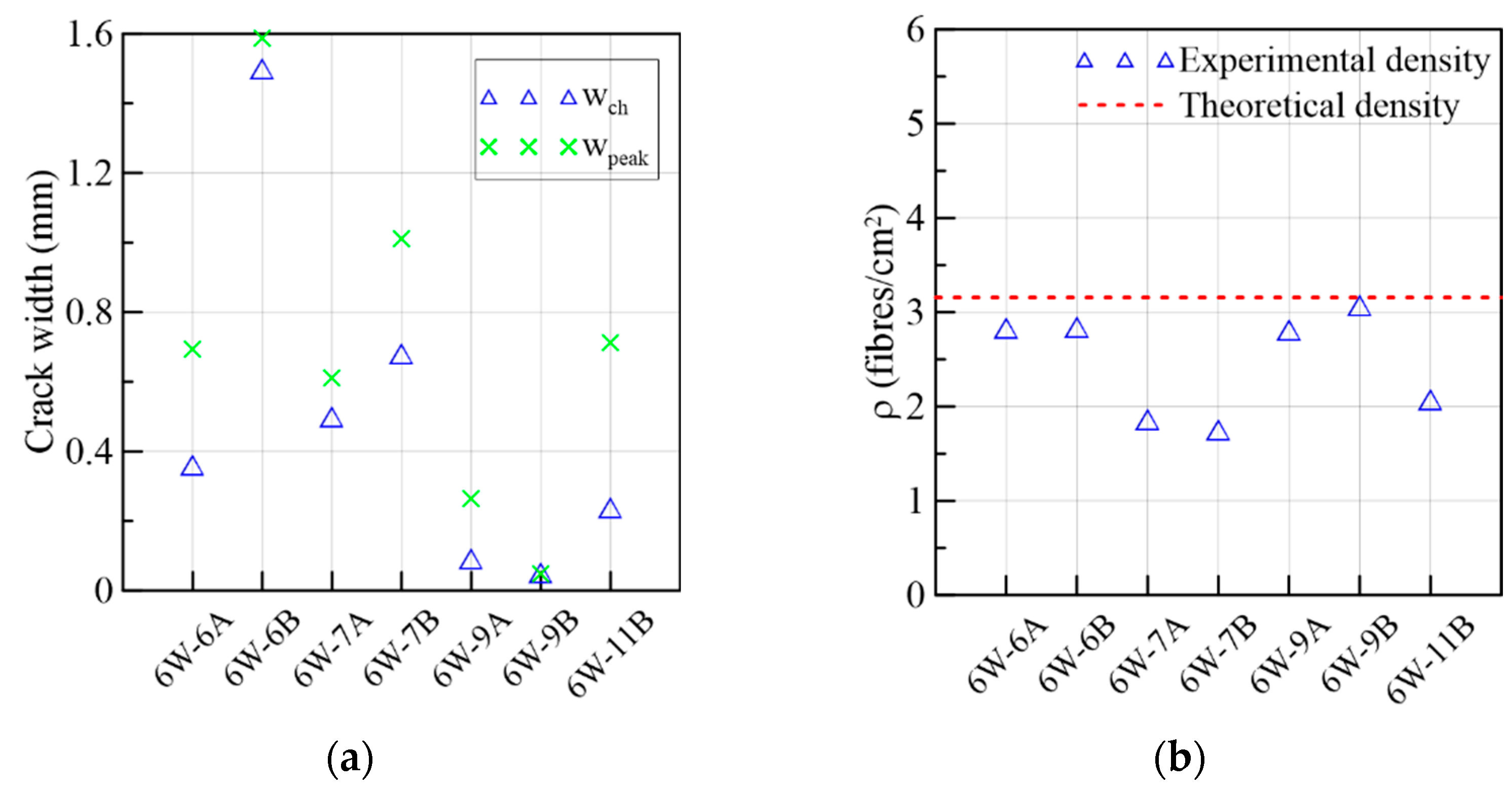
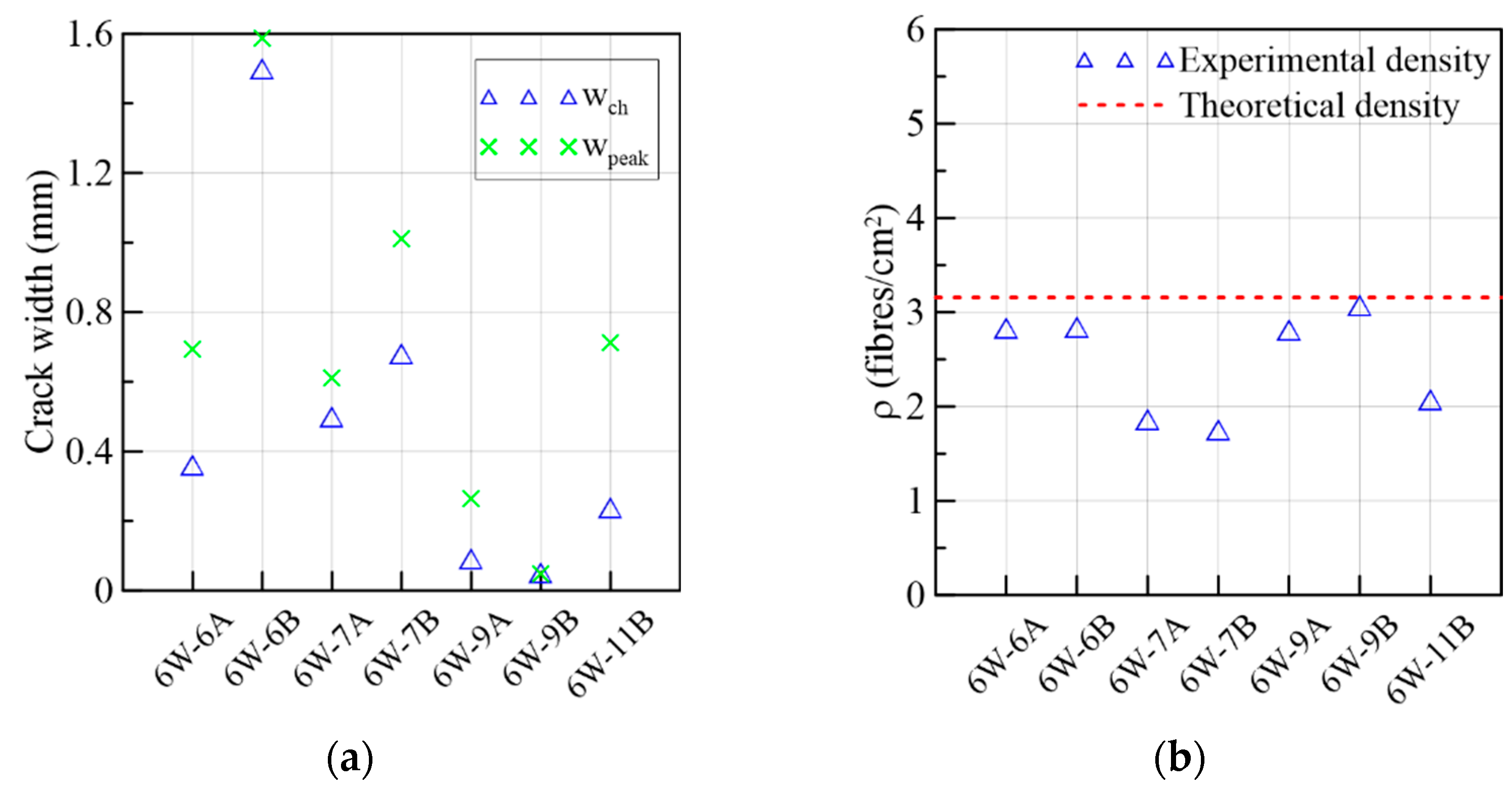
3.1.1. 6W Specimens
3.1.2. 8W Specimens
3.1.3. 6R-8R Reference Specimens
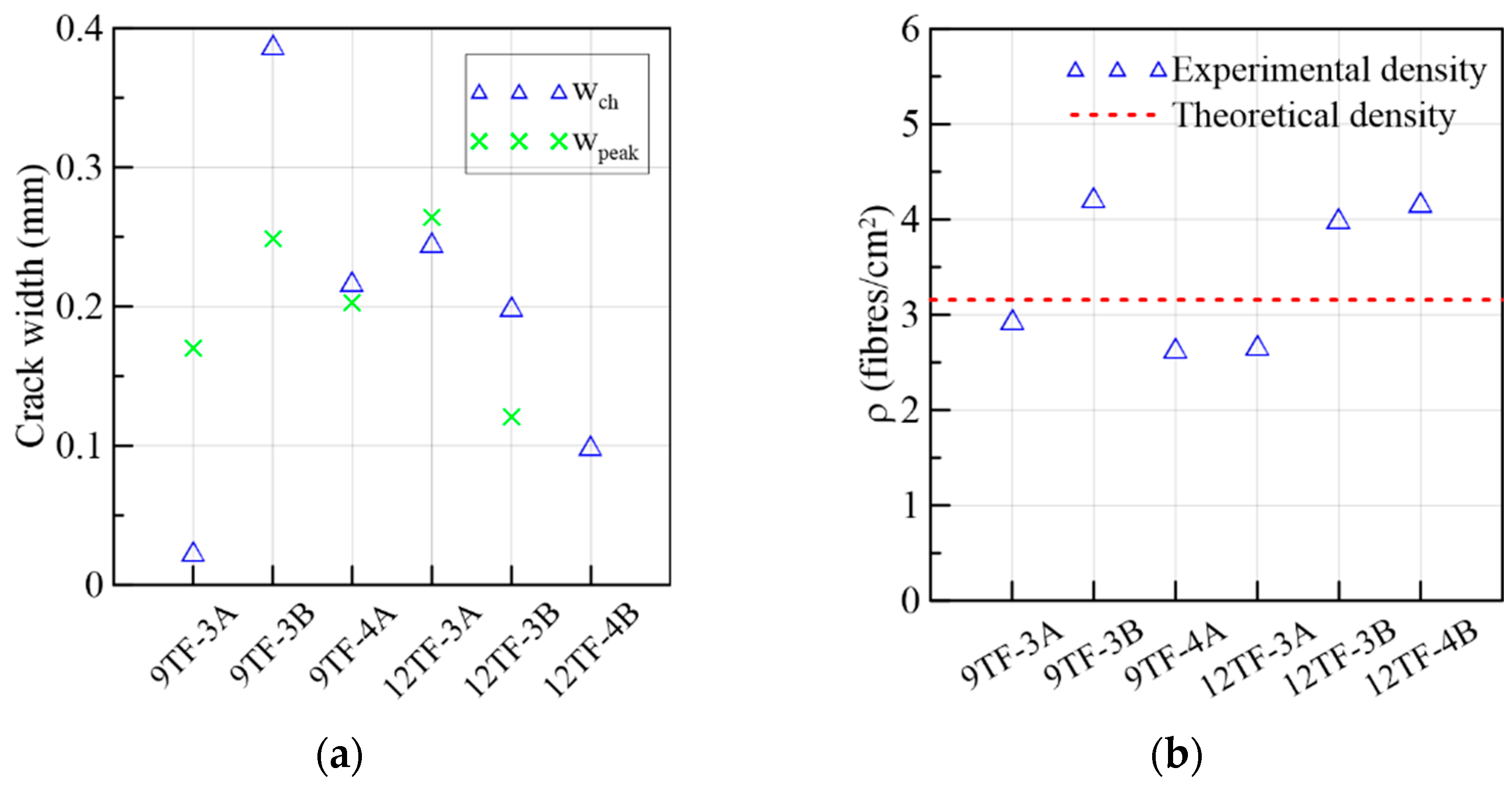
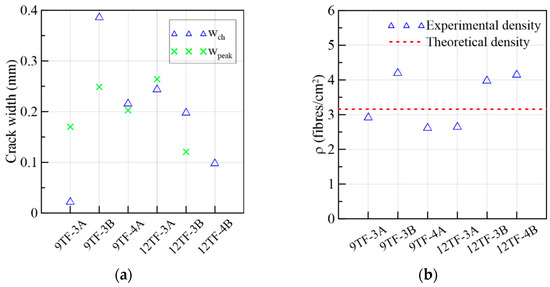
3.1.4. Top-Flange Specimens of the Transverse or X-Axis Direction
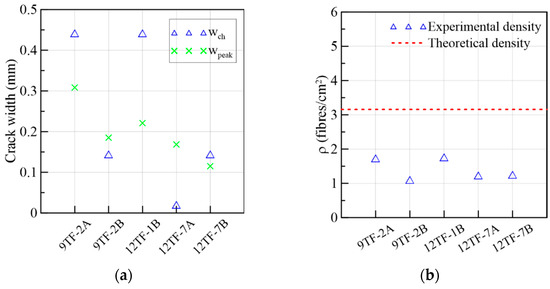
3.1.5. Top Flange Specimens of the Longitudinal or Y-Axis Direction
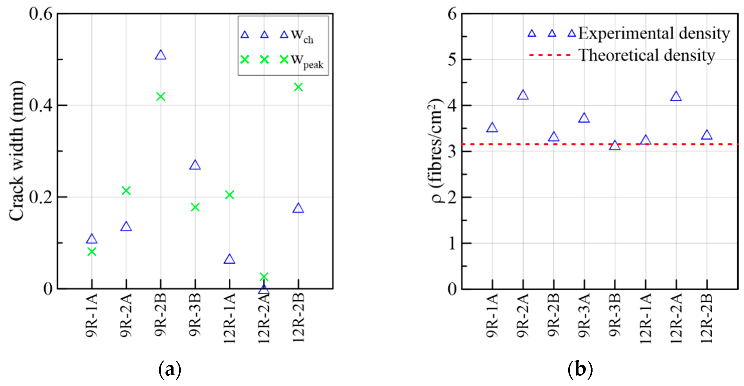
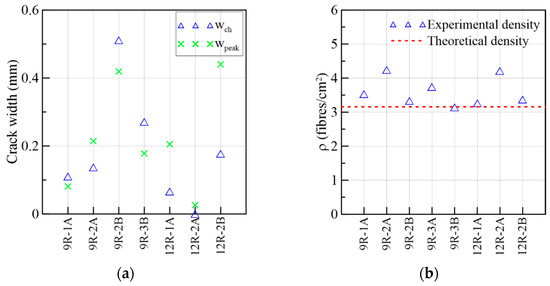
3.1.6. 9R-12R Reference Specimens
3.1.7. Summary of the Analysis of the Shear Behavior
3.1.8. Correlation between Fiber Density and Mechanical Parameters
3.2. Shear/Flexural Tensile Stress Ratio versus Crack Opening and Normalized Crack Dilatancy Law
4. Conclusions
- A normalized crack dilatancy law, vs. CMOD, was proposed, which allowed for the determination of a relation with flexural tests carried out under the EN14651 setup, while acknowledging the significant dispersion of the experimental results. In addition, a crack width–slip relation was proposed, which can complete the estimation of the shear behavior from the flexural results. This is advantageous considering that the flexure test is less instrumented and easier to execute than a shear test setup and is also available for non-wealthy laboratories. Given that the batching method influences the mechanical response of SFRC, this bridge between standardized tests is additionally relevant by being based on the experimental results of the extracted prisms of a prototype.
- The dispersion of the shear mechanical properties in a structural element can only be known by performing tests on specimens extracted from a prototype. The scatter of results occurred not only between points of extraction but also between two halves of the same specimen extracted. This study acquires value given that it quantitatively presents the variability of mechanical performance in a structural element. It strengthens the ideas that SFRC is a heterogenous material; thus, prototype construction is highly recommended to determine the actual mechanical response.
- The alignment of fibers perpendicular to the flow direction of fresh concrete was confirmed by the results of top-flange prisms. In addition, when fiber density increases, the point of the change in behavior from a controlled slip to a significant increase in it can be delayed.
- The batching method highly influenced the fiber density and the fiber orientation in the cross-sections. A proportional relation between the fiber density and the shear strength was found for the specimens extracted from the prototype model, but not for the reference specimens. Mode II fracture energy absorbed up to failure vs. fiber density did not display a clear trend. In a future work, the fiber orientation will be obtained, and inverse analysis will be carried out for the tests performed. The obtention of the fiber orientation will allow for the classification of the prisms in clusters according to the efficiency of the mechanical response of the fiber; thus, it is expected that the dispersion of results can be reduced.
Author Contributions
Funding
Institutional Review Board Statement
Informed Consent Statement
Data Availability Statement
Conflicts of Interest
References
- Abdelrazik, A.T.; Khayat, K.H. Effect of Fiber Characteristics on Fresh Properties of Fiber-Reinforced Concrete with Adapted Rheology. Constr. Build. Mater. 2020, 230, 116852. [Google Scholar] [CrossRef]
- Wang, W.; Shen, A.; Lyu, Z.; He, Z.; Nguyen, K.T.Q. Fresh and Rheological Characteristics of Fiber Reinforced Concrete—A Review. Constr. Build. Mater. 2021, 296, 123734. [Google Scholar] [CrossRef]
- de Figueiredo, A.D.; Ceccato, M.R. Workability Analysis of Steel Fiber Reinforced Concrete Using Slump and Ve-Be Test. Mater. Res. 2015, 18, 1284–1290. [Google Scholar] [CrossRef]
- Wang, L.; Guo, F.; Yang, H.; Wang, Y.; Tang, S. Comparison of Fly Ash, Pva Fiber, Mgo and Shrinkage-Reducing Admixture on the Frost Resistance of Face Slab Concrete Via Pore Structural and Fractal Analysis. Fractals 2021, 29, 2140002. [Google Scholar] [CrossRef]
- Wang, L.; He, T.; Zhou, Y.; Tang, S.; Tan, J.; Liu, Z.; Su, J. The Influence of Fiber Type and Length on the Cracking Resistance, Durability and Pore Structure of Face Slab Concrete. Constr. Build. Mater. 2021, 282, 122706. [Google Scholar] [CrossRef]
- Afroughsabet, V.; Biolzi, L.; Ozbakkaloglu, T. High-Performance Fiber-Reinforced Concrete: A Review. J. Mater. Sci. 2016, 51, 6517–6551. [Google Scholar] [CrossRef]
- Akeed, M.H.; Qaidi, S.; Ahmed, H.U.; Faraj, R.H.; Majeed, S.S.; Mohammed, A.S.; Emad, W.; Tayeh, B.A.; Azevedo, A.R.G. Ultra-High-Performance Fiber-Reinforced Concrete. Part V: Mixture Design, Preparation, Mixing, Casting, and Curing. Case Stud. Constr. Mater. 2022, 17, e01363. [Google Scholar] [CrossRef]
- Meda, A.; Minelli, F.; Plizzari, G.A. Flexural Behaviour of RC Beams in Fibre Reinforced Concrete. Compos. B Eng. 2012, 43, 2930–2937. [Google Scholar] [CrossRef]
- Conforti, A.; Minelli, F.; Tinini, A.; Plizzari, G.A. Influence of Polypropylene Fibre Reinforcement and Width-to-Effective Depth Ratio in Wide-Shallow Beams. Eng. Struct. 2015, 88, 12–21. [Google Scholar] [CrossRef]
- Vandewalle, L. Cracking Behaviour of Concrete Beams Reinforced with a Combination of Ordinary Reinforcement and Steel Fibers. Mater. Struct. 2000, 33, 164–170. [Google Scholar] [CrossRef]
- Liu, X.; Pareek, T.; Chao, S.-H. New Methodology for Design and Construction of Concrete Members with Complex Stress Fields Using Steel Fiber–Reinforced Concrete. J. Struct. Eng. 2016, 142, 04016111. [Google Scholar] [CrossRef]
- Campione, G. Flexural Behavior of Steel Fibrous Reinforced Concrete Deep Beams. J. Struct. Eng. 2012, 138, 234–246. [Google Scholar] [CrossRef]
- Yousef, A.M.; Tahwia, A.M.; Marami, N.A. Minimum Shear Reinforcement for Ultra-High Performance Fiber Reinforced Concrete Deep Beams. Constr. Build. Mater. 2018, 184, 177–185. [Google Scholar] [CrossRef]
- Pujadas, P.; Blanco, A.; De La Fuente, A.; Aguado, A. Cracking Behavior of FRC Slabs with Traditional Reinforcement. Mater. Struct./Mater. Et Constr. 2012, 45, 707–725. [Google Scholar] [CrossRef]
- Michels, J.; Waldmann, D.; Maas, S.; Zürbes, A. Steel Fibers as Only Reinforcement for Flat Slab Construction—Experimental Investigation and Design. Constr. Build. Mater. 2012, 26, 145–155. [Google Scholar] [CrossRef]
- Facconi, L.; Minelli, F.; Plizzari, G. Steel Fiber Reinforced Self-Compacting Concrete Thin Slabs—Experimental Study and Verification against Model Code 2010 Provisions. Eng. Struct. 2016, 122, 226–237. [Google Scholar] [CrossRef]
- Campione, G.; Papia, M.; Fossetti, M. Behavior of Fiber-Reinforced Concrete Columns under Axially and Eccentrically Compressive Loads. ACI Struct. J. 2010, 107, 272–281. [Google Scholar] [CrossRef]
- Conforti, A.; Tiberti, G.; Plizzari, G.A.; Caratelli, A.; Meda, A. Precast Tunnel Segments Reinforced by Macro-Synthetic Fibers. Tunn. Undergr. Space Technol. 2017, 63, 1–11. [Google Scholar] [CrossRef]
- Abbas, S.; Soliman, A.M.; Nehdi, M.L. Mechanical Performance of RC and SFRC Precast Tunnel Lining Segments: A Case Study. ACI Mater. J. 2014, 111, 501–510. [Google Scholar] [CrossRef]
- Minelli, F.; Plizzari, G.A. On the Effectiveness of Steel Fibers as Shear Reinforcement. ACI Struct. J. 2013, 110, 379–389. [Google Scholar] [CrossRef]
- Matos, L.M.P.; Barros, J.A.O.; Ventura-Gouveia, A.; Calçada, R.A.B. Constitutive Model for Fibre Reinforced Concrete by Coupling the Fibre and Aggregate Interlock Resisting Mechanisms. Cem. Concr. Compos. 2020, 111, 103618. [Google Scholar] [CrossRef]
- Walraven, J.C. Fundamental Analysis of Aggregate Interlock. J. Struct. Div. 1981, 107, 2245–2270. [Google Scholar] [CrossRef]
- Kaufmann, W.; Amin, A.; Beck, A.; Lee, M. Shear Transfer across Cracks in Steel Fibre Reinforced Concrete. Eng. Struct. 2019, 186, 508–524. [Google Scholar] [CrossRef]
- Abrishambaf, A.; Cunha, V.M.C.F.; Barros, J.A.O. The Influence of Fibre Orientation on the Post-Cracking Tensile Behaviour of Steel Fibre Reinforced Self-Compacting Concrete. Frat. Ed Integrità Strutt. 2014, 9, 38–53. [Google Scholar] [CrossRef]
- Barros, J.A.O.; Foster, S.J. An Integrated Approach for Predicting the Shear Capacity of Fibre Reinforced Concrete Beams. Eng. Struct. 2018, 174, 346–357. [Google Scholar] [CrossRef]
- Khanlou, A.; MacRae, G.A.; Scott, A.N.; Hicks, S.J.; Clifton, G.C. Shear Performance of Steel Fibre Reinforced Concrete. In Proceedings of the Australasian Structural Engineering Conference 2012: The Past, Present and Future of Structural Engineering, Perth, Australia, 11–13 July 2012; p. 8. [Google Scholar]
- Boulekbache, B.; Hamrat, M.; Chemrouk, M.; Amziane, S. Influence of Yield Stress and Compressive Strength on Direct Shear Behaviour of Steel Fibre-Reinforced Concrete. Constr. Build. Mater. 2012, 27, 6–14. [Google Scholar] [CrossRef]
- Mirsayah, A.A.; Banthia, N. Shear Strength of Steel Fiber-Reinforced Concrete. ACI Mater. J. 2002, 99, 473–479. [Google Scholar]
- Khaloo, A.R.; Kim, N. Influence of Concrete and Fiber Characteristics on Behavior of Steel Fiber Reinforced Concrete under Direct Shear. ACI Mater. J. 1997, 94, 592–601. [Google Scholar]
- Soetens, T.; Matthys, S. Shear-Stress Transfer across a Crack in Steel Fibre-Reinforced Concrete. Cem. Concr. Compos. 2017, 82, 1–13. [Google Scholar] [CrossRef]
- Li, B.; Maekawa, K. Contact Density Model for Cracks in Concrete. In IABSE Colloquium; IABSE Colloquium: Delft, The Netherlands, 1987; Volume 54, pp. 52–62. [Google Scholar]
- Bažant, Z.P.; Gambarova, P. Rough Cracks in Reinforced Concrete. J. Struct. Div. 1980, 106, 819–842. [Google Scholar] [CrossRef]
- Pfyl, T. Tragverhalten von Stahlfaserbeton; vdf Hochschulverlag AG: Zürich, Switzerland, 2003. [Google Scholar]
- Htut, T.N.S.; Foster, S.J. Unified Model for Mixed Mode Fracture of Steel Fibre Reinforced Concrete. In Fracture Mechanics of Concrete and Concrete Structures—High Performance, Fiber Reinforced Concrete, Special Loadings and Structural Applications; Oh, B.H., Choi, K., Hong, S., Eds.; Korea Concrete Institute: Seoul, Korea, 2010; pp. 1469–1477. [Google Scholar]
- Lee, S.-C.; Cho, J.-Y.; Vecchio, F.J. Simplified Diverse Embedment Model for Steel Fiber- Reinforced Concrete Elements in Tension. ACI Mater. J. 2013, 110, 403–412. [Google Scholar] [CrossRef]
- Picazo, A.; Alberti, M.G.; Gálvez, J.C.; Enfedaque, A. Shear Slip Post-Cracking Behaviour of Polyolefin and Steel Fibre Reinforced Concrete. Constr. Build. Mater. 2021, 290, 123187. [Google Scholar] [CrossRef]
- JSCE-G 553; Test Method for Shear Strength of Steel Fiber Reinforced Concrete. JSCE: Tokyo, Japan, 2010.
- Fédération Internationale de la Précontrainte. Shear at the Interface of Precast and in Situ Concrete: FIP Technical Report; Cement and Concrete Association: Slough, UK, 1978. [Google Scholar]
- Walraven, J.C.; Vos, E.; Reinhardt, H.W. Experiments on Shear Transfer in Cracks in Concrete. Part I: Description of Results; Delft University of Technology: Delft, The Netherlands, 1979; Available online: http://resolver.tudelft.nl/uuid:97fbae46-94e6-4cf5-901c-4ba76f28e682 (accessed on 1 June 2022).
- Walraven, J.C. Experiments on Shear Transfer in Cracks in Concrete. Part II: Analysis of Results; Delft University of Technology: Delft, The Netherlands, 1979. [Google Scholar]
- de Lima Araújo, D.; Lobo, F.A.; Martins, B.G. A Shear Stress-Slip Relationship in Steel Fibre-Reinforced Concrete Obtained from Push-off Testing. Constr. Build. Mater. 2021, 293, 123435. [Google Scholar] [CrossRef]
- Maekawa, K.; Okamura, H.; Pimanmas, A. Non-Linear Mechanics of Reinforced Concrete; CRC Press: Boca Raton, FL, USA, 2003. [Google Scholar] [CrossRef]
- EN 14651; Test Method for Metallic Fibered Concrete—Measuring the Flexural Tensile Strength (Limit of Proportionality (LOP), Residual). CEN: Brussels, Belgium, 2005; p. 17.
- Mendes de Andrade, R.G.; Pfeil, M.S.; Battista, R.C.; Toledo Filho, R.D.; Oliveira de Araújo, O.M.; Lopes, R.T. Comparison between Methods to Determine the Fibre Orientation Factor of an HPFRC Bridge Box Girder. Constr. Build. Mater. 2021, 269, 121291. [Google Scholar] [CrossRef]
- Departamento Nacional de Infraestrutura de Transportes. Manual de Projeto de Obras-de-Arte Especiais, Design Manual; Transportation Ministry City: Rio de Janeiro, Brazil, 1996.
- NBR 7188:2013; Road and Pedestrian Live Load on Bridges, Viaducts, Footbridges and Other Structures. ABNT: Rio de Janeiro, Brazil, 2013.
- fib. Model Code 2010, Vols 1 and 2, Final Draft; S. Activity Group, Ed.; fib: Lausanne, Switzerland, 2011. [Google Scholar]
- Marangon, E. Caracterização Material e Estrutural de Concretos Autoadensáveis Reforçados com Fibras de Aço; Universidade Federal do Rio de Janeiro: Rio de Janeiro, Brazil, 2011. [Google Scholar]
- Cuenca, E.; Conforti, A.; Monfardini, L.; Minelli, F. Shear Transfer across a Crack in Ordinary and Alkali Activated Concrete Reinforced by Different Fibre Types. Mater. Struct. 2020, 53, 24. [Google Scholar] [CrossRef]
- AFGC. Ultra High Performance Fibre-Reinforced Concretes. Recommendations; AFGC: Griffith, Australia, 2013. [Google Scholar]
- Krenchel, H. Fibre Spacing and Specific Fibre Surface. In Proceedings of the RILEM Symposium on Fibre Reinforced Cement and Concrete, London, UK, 14–17 September 1975; pp. 69–79. [Google Scholar]
- Thrane, L.N. Guideline for Execution of Steel Fibre Reinforced SCC; Danisk Technological Institute: Taastrup, Denmark, 2013. [Google Scholar]
- Bentur, A.; Mindess, S. Fibre Reinforced Cementitious Composites; CRC Press: Boca Raton, FL, USA, 2006. [Google Scholar]
- Sun, Q.; Martin, B.; Williams, B.; Heard, W.; Frew, D.; Nie, X. Comparative Study on the Impact-Induced Microstructural Damage in Concrete Using X-Ray Computed Micro-Tomography. Mech. Mater. 2022, 168, 104277. [Google Scholar] [CrossRef]
- Ferreira, S.R.; de Andrade, R.G.M.; de Andrade, G.M.; de Araújo, O.M.O.; Lopes, R.T.; Fairbairn, E.d.M.R.; Grabois, T.M.; Ukrainczyk, N. Bond Behavior of a Bio-Aggregate Embedded in Cement-Based Matrix. Materials 2022, 15, 6151. [Google Scholar] [CrossRef]
- Lorenzoni, R.; Tinoco, M.; Paciornik, S.; de Andrade Silva, F. The Use of X-Ray Microtomography to Investigate the Shear Behavior of Hybrid Fiber Reinforced Strain Hardening Cementitious Composites. J. Build. Eng. 2021, 43, 103126. [Google Scholar] [CrossRef]
- Bastos, L.F.; de Araújo, O.M.O.; Machado, A.S.; Oliveira, D.F.; Lopes, R.T. X-Ray Microtomography System Applied in Characterization of Lightweight Concrete Structures. J. Nondestruct. Eval. Diagn. Progn. Eng. Syst. 2020, 3, 041002. [Google Scholar] [CrossRef]
- Abràmoff, M.D.; Magalhães, P.J.; Ram, S.J. Image Processing with ImageJ. Biophotonics Int. 2004, 11, 36–42. [Google Scholar]
- Soroushian, P.; Lee, C.-D. Distribution and Orientation of Fibers in Steel Fiber Reinforced Concrete. ACI Mater. J. 1990, 87, 433–439. [Google Scholar] [CrossRef]
- Dupont, D.; Vandewalle, L. Distribution of Steel Fibres in Rectangular Sections. Cem. Concr. Compos. 2005, 27, 391–398. [Google Scholar] [CrossRef]
- Appa Rao, G.; Sreenivasa Rao, A. Toughness Indices of Steel Fiber Reinforced Concrete under Mode II Loading. Mater. Struct. 2009, 42, 1173–1184. [Google Scholar] [CrossRef]
- Soltanzadeh, F.; Barros, J.A.O.; Santos, R.F.C. High Performance Fiber Reinforced Concrete for the Shear Reinforcement: Experimental and Numerical Research. Constr. Build. Mater. 2015, 77, 94–109. [Google Scholar] [CrossRef]

































| Materials | Proportions (kg/m3) |
|---|---|
| Coarse aggregate (d < 9.5 mm) | 454.0 |
| River sand | 830.6 |
| Sieved river sand (d < 0.85 mm) | 100.0 |
| Crushed Silica (Mesh No. 325) | 70.0 |
| Cement CP III 40 | 360.0 |
| Fly ash | 168.0 |
| Silica fume | 45.0 |
| Water | 180.0 |
| Dramix 65/35 BG Steel fibers | 117.0 |
| Superplasticizer (% cement weight) | 8.0 |
| Viscosity modifying agent (% cement weight) | 0.1 |
| Cross-Sections (cm2) | Spans, D (cm) | Labels of Specimens | |||
|---|---|---|---|---|---|
| Top | Bottom | Mock-Up | Reference | ||
| 6 × 6 | 4 × 6 | 6 | 6 | 6W-XY | 6R-XY |
| 8 × 8 | 5 × 8 | 6.5 | 6.5 | 8W-XY | 8R-XY |
| 9 × 9 | 6 × 9 | 7 | 7 | 9TF-XY | 9R-XY |
| 12 × 12 | 8 × 12 | 6.5 | 9 | 12TF-XY | 12R-XY |
| At Peak | ||||||
|---|---|---|---|---|---|---|
| Group | Prism | Details * | ||||
| 1 | 6W-6A | NRR | 2.84 | 18.66 | 0.69 | 26.33 |
| 6W-6B | NRR | 2.84 | 12.82 | 1.59 | 27.60 | |
| 6W-7A | NRR | 1.86 | 7.23 | 0.61 | 12.39 | |
| 6W-7B | RRE | 1.75 | 4.91 | 1.01 | 11.18 | |
| 6W-9A | RRE | 2.81 | 20.70 | 0.26 | 44.81 | |
| 6W-9B | NRR | 3.07 | 14.65 | 0.05 | 27.57 | |
| 6W-11B | RRE | 2.07 | 8.72 | 0.71 | 19.77 | |
| 2 | 8W-6A | NRR | 4.02 | 15.66 | 0.29 | 26.08 |
| 8W-11A | NRR, PF | 1.81 | 13.45 | 0.54 | 19.07 | |
| 8W-12A | NRR | 3.04 | 8.28 | 1.15 | 9.23 | |
| 8W-12B | NRR, PF | 3.25 | 14.16 | 0.51 | 1.72 | |
| 3 | 6R-1A | NRR | 3.08 | 13.46 | 0.40 | 16.63 |
| 6R-2A | SRR, PF | 4.58 | 13.13 | 0.55 | 20.02 | |
| 6R-2B | NRR, PF | 2.13 | 7.30 | - | 10.50 | |
| 6R-3A | NRR | 4.05 | 14.10 | 0.35 | 17.53 | |
| 6R-3B | NRR, PF | 5.36 | 12.83 | 0.67 | 13.77 | |
| 8R-1B | NRR, PF | 2.89 | 12.40 | 0.49 | 14.51 | |
| 8R-2A | NRR | 3.63 | 16.99 | 0.52 | 27.40 | |
| 8R-2B | NRR | 3.16 | 15.61 | 0.24 | 32.54 | |
| 8R-3A | NRR, PF | 2.79 | 13.33 | 0.52 | 16.77 | |
| 8R-3B | NRR, PF | 4.27 | 11.72 | 0.45 | 24.82 | |
| 4 | 9TF-3A | NRR, PF | 2.96 | 12.74 | 0.17 | 0.76 |
| 9TF-3B | NRR, AF | 4.23 | 23.07 | 0.25 | 3.16 | |
| 9TF-4A | NRR, AF | 2.65 | 21.42 | 0.20 | 2.69 | |
| 12TF-3A | NRR, AF | 2.68 | 17.47 | 0.26 | 50.89 | |
| 12TF-3B | NRR, AF | 4.01 | 18.74 | 0.12 | 41.70 | |
| 12TF-4B | NRR, AF | 4.18 | 23.27 | - | 57.40 | |
| 5 | 9TF-2A | NRR, AF | 1.73 | 11.20 | 0.31 | 18.61 |
| 9TF-2B | RRE, PF | 1.10 | 7.44 | 0.19 | 2.10 | |
| 12TF-1B | NRR | 1.76 | 9.90 | 0.22 | 4.58 | |
| 12TF-7A | NRR | 1.23 | 10.33 | 0.17 | 3.18 | |
| 12TF-7B | NRR, AF | 1.26 | 7.40 | 0.12 | 21.76 | |
| 6 | 9R-1A | NRR | 3.53 | 9.72 | 0.08 | 0.83 |
| 9R-2A | RRE, PF | 4.25 | 8.84 | 0.21 | 1.13 | |
| 9R-2B | RRE, PF | 3.33 | 9.85 | 0.42 | 1.21 | |
| 9R-3A | RRE, SCL | 3.74 | 14.08 | - | 21.39 | |
| 9R-3B | RRE, PF | 3.14 | 14.08 | 0.18 | 7.97 | |
| 12R-1A | NRR, AF | 3.26 | 9.41 | 0.20 | 2.21 | |
| 12R-2A | NRR, AF | 4.21 | 14.63 | 0.03 | 16.72 | |
| 12R-2B | NRR | 3.37 | 14.93 | 0.44 | 32.83 |
| Group | N° Prisms | Avg. | CV | Avg. | CV | Avg. | CV | Avg. | CV | Avg. | CV |
| W | 11 | 47.61 | 0.22 | 14.39 | 0.37 | 0.67 | 0.62 | 82.42 | 0.37 | 23.53 | 12.87 |
| R | 18 | 35.22 | 0.28 | 15.01 | 0.18 | 0.36 | 0.49 | 95.95 | 0.48 | 18.19 | 11.42 |
| TF-T | 6 | 39.60 | 0.33 | 23.65 | 0.20 | 0.20 | 0.26 | 107.35 | 0.50 | 32.80 | 30.94 |
| TF-L | 5 | 63.69 | 0.08 | 11.23 | 0.17 | 0.20 | 0.32 | 111.56 | 0.57 | 12.19 | 10.17 |
Publisher’s Note: MDPI stays neutral with regard to jurisdictional claims in published maps and institutional affiliations. |
© 2022 by the authors. Licensee MDPI, Basel, Switzerland. This article is an open access article distributed under the terms and conditions of the Creative Commons Attribution (CC BY) license (https://creativecommons.org/licenses/by/4.0/).
Share and Cite
Quiroga Flores, A.; Mendes de Andrade, R.G.; Pfeil, M.S.; Barros, J.A.O.; Battista, R.C.; Oliveira de Araújo, O.M.; Tadeu Lopes, R.; Toledo Filho, R.D. Relation between Shear Stresses and Flexural Tensile Stresses from Standardized Tests of Extracted Prismatic Specimens of an SFRC Bridge Girder. Materials 2022, 15, 8286. https://doi.org/10.3390/ma15238286
Quiroga Flores A, Mendes de Andrade RG, Pfeil MS, Barros JAO, Battista RC, Oliveira de Araújo OM, Tadeu Lopes R, Toledo Filho RD. Relation between Shear Stresses and Flexural Tensile Stresses from Standardized Tests of Extracted Prismatic Specimens of an SFRC Bridge Girder. Materials. 2022; 15(23):8286. https://doi.org/10.3390/ma15238286
Chicago/Turabian StyleQuiroga Flores, Alfredo, Rodolfo Giacomim Mendes de Andrade, Michèle Schubert Pfeil, Joaquim A. O. Barros, Ronaldo Carvalho Battista, Olga Maria Oliveira de Araújo, Ricardo Tadeu Lopes, and Romildo Dias Toledo Filho. 2022. "Relation between Shear Stresses and Flexural Tensile Stresses from Standardized Tests of Extracted Prismatic Specimens of an SFRC Bridge Girder" Materials 15, no. 23: 8286. https://doi.org/10.3390/ma15238286
APA StyleQuiroga Flores, A., Mendes de Andrade, R. G., Pfeil, M. S., Barros, J. A. O., Battista, R. C., Oliveira de Araújo, O. M., Tadeu Lopes, R., & Toledo Filho, R. D. (2022). Relation between Shear Stresses and Flexural Tensile Stresses from Standardized Tests of Extracted Prismatic Specimens of an SFRC Bridge Girder. Materials, 15(23), 8286. https://doi.org/10.3390/ma15238286

