Grapevine Plants Management Using Natural Extracts and Phytosynthesized Silver Nanoparticles
Abstract
1. Introduction
2. Materials and Methods
2.1. Collection and Treatment of Vegetal Material
2.2. Preparation and Characterization of Vegetal Extract (V1) and Silver Nanoparticles Solution (V2)
2.2.1. Preparation of Sample V1 (Vegetal Extract) and V2 (Photosynthesized Nanoparticles)
2.2.2. Characterization of Samples V1 and V2A
2.3. In Vitro Antimicrobial Studies
2.4. Field Experiments
2.4.1. Clones Used for Field Experiments
2.4.2. Applied Treatments
2.4.3. Evaluation of Pathogen Symptoms
2.4.4. Biochemical Analyses and Grapevine Characteristics
3. Results and Discussions
3.1. Characterization of Extract and Extract Containing AgNPs
3.2. In Vitro Antimicrobial Evaluation
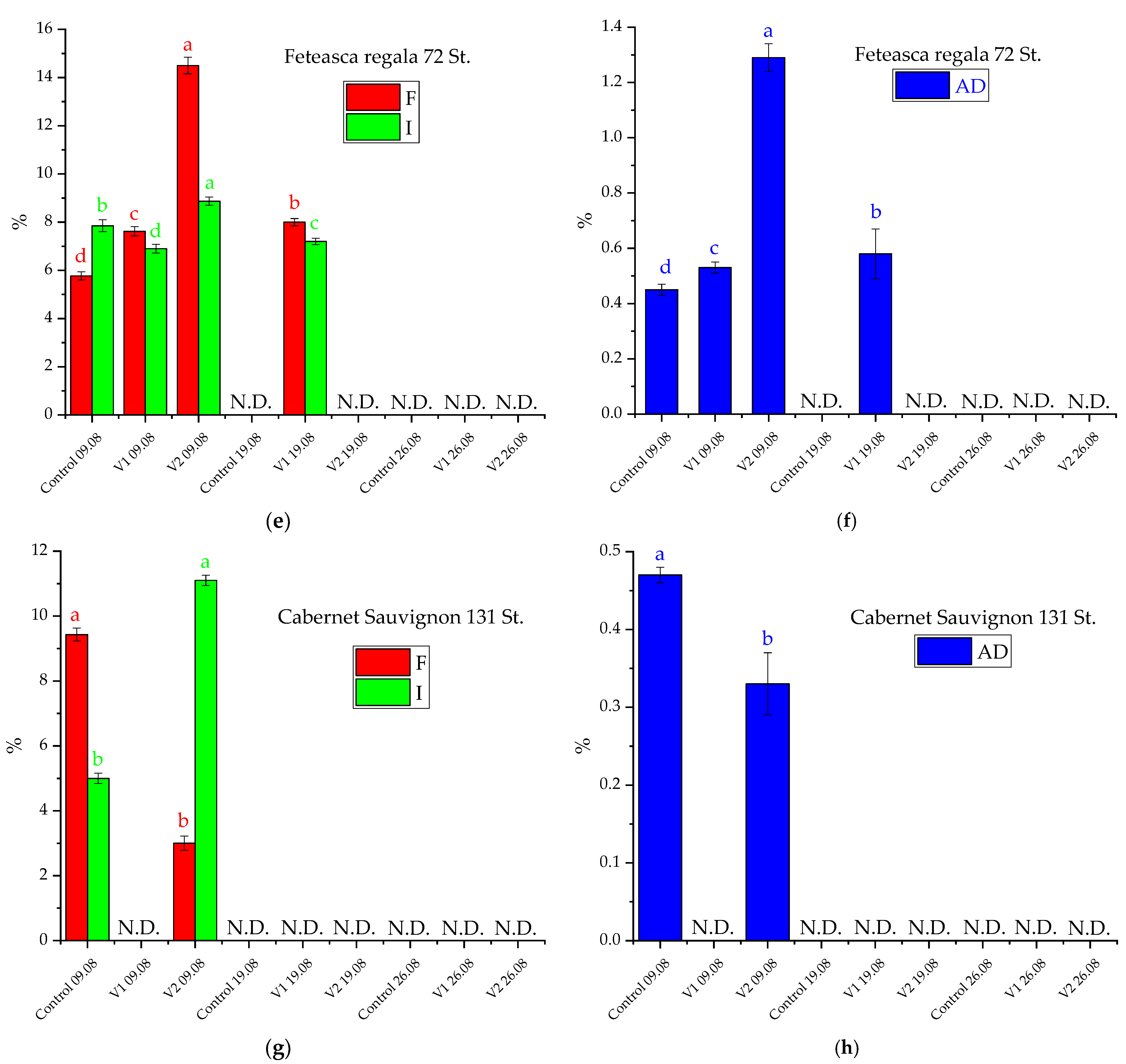
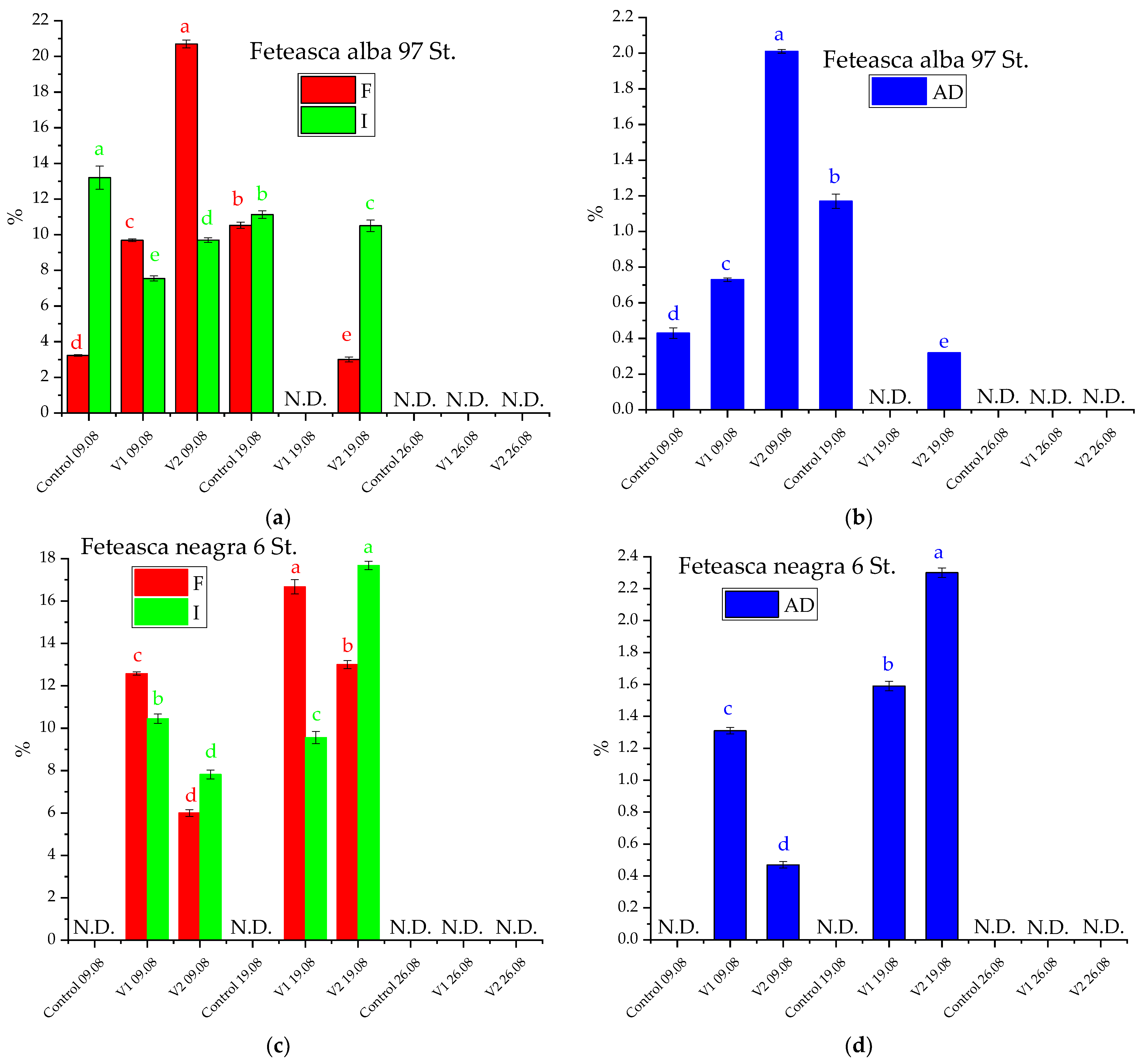
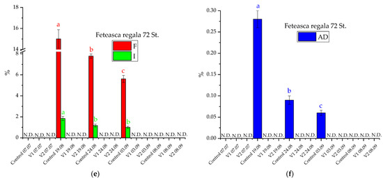
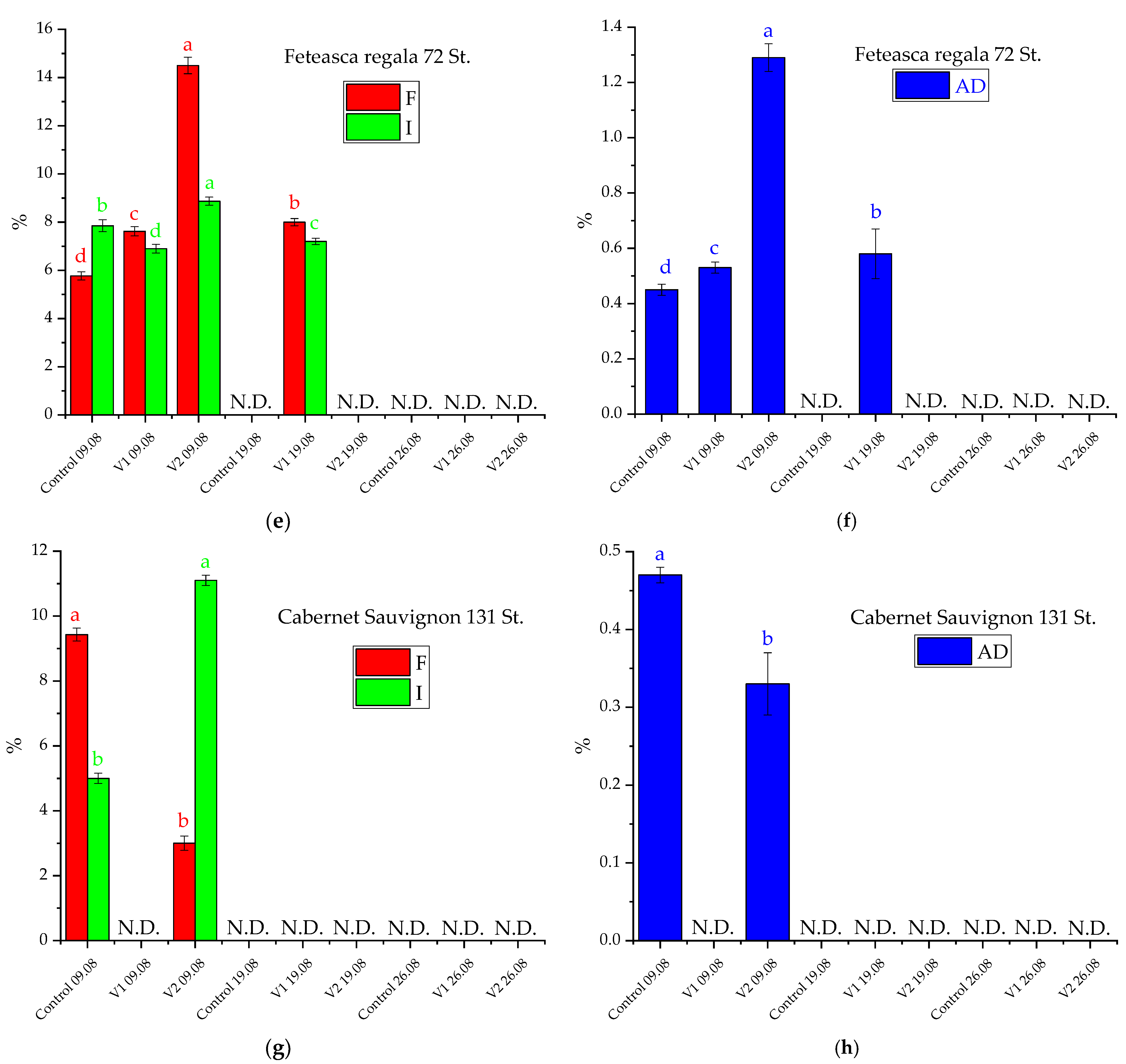
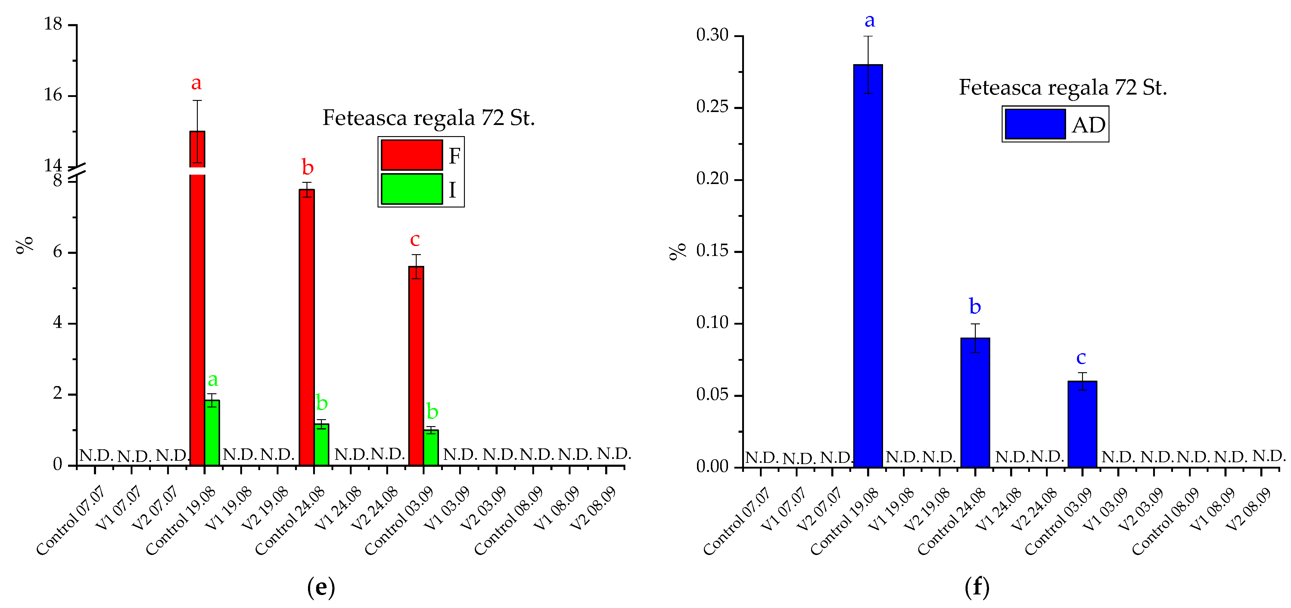
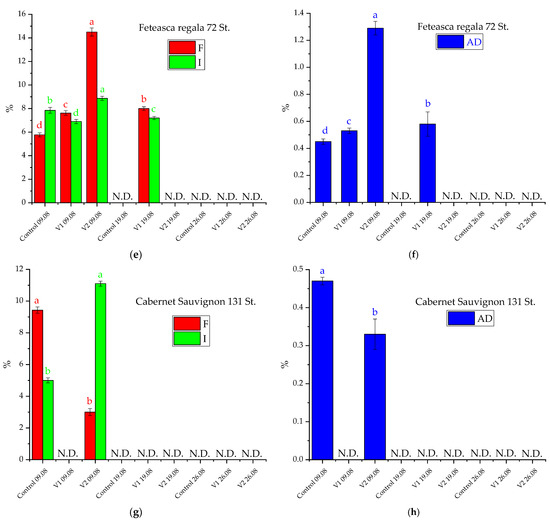
3.3. Results of Field Experiments
4. Conclusions and Future Perspectives
Supplementary Materials
Author Contributions
Funding
Institutional Review Board Statement
Informed Consent Statement
Data Availability Statement
Conflicts of Interest
References
- Nazarov, P.A.; Baleev, D.N.; Ivanova, M.I.; Sokolova, L.M.; Karakozova, M.V. Infectious Plant Diseases: Etiology, Current Status, Problems and Prospects in Plant Protection. Acta Nat. 2020, 12, 46–59. [Google Scholar] [CrossRef] [PubMed]
- Scholthof, K.B. The disease triangle: Pathogens, the environment and society. Nat. Rev. Microbiol. 2007, 5, 152–156. [Google Scholar] [CrossRef] [PubMed]
- Sumedrea, D.; Isac, I.; Iancu, M.; Olteanu, A.; Coman, M.; Dutu, I. Trees, fruit bushes, strawberry—Technical and economic guide. In Romanian: Pomi, Arbusti Fructiferi, Capsun—Ghid Tehnic si Economic; Invel Multimedia: Otopeni, Romania, 2014. [Google Scholar]
- Ungureanu, C. Chapter 13—Nano bio Pesticide: Today and Future Perspectives. In Biopesticides; Rakshit, A., Meena, V.S., Abhilash, P.C., Sarma, B.K., Singh, H.B., Fraceto, L., Parihar, M., Singh, A.K., Eds.; Woodhead Publishing: Duxford, UK, 2022; pp. 201–206. [Google Scholar] [CrossRef]
- Rodríguez, A.; Pérez-López, D.; Centeno, A.; Ruiz-Ramos, M. Viability of temperate fruit tree varieties in Spain under climate change according to chilling accumulation, Agric. Syst. 2021, 186, 102961. [Google Scholar] [CrossRef]
- Atak, A.; Göksel, Z.; Çelik, H. Relations between downy/powdery mildew diseases and some phenolic compounds in Vitis spp. Turk J. Agric. For. 2017, 41, 69–81. [Google Scholar] [CrossRef]
- Ungureanu, C.; Calinescu, M.; Ferdes, M.; Soare, L.; Vizitiu, D.; Fierascu, I.; Fierascu, R.C.; Raileanu, S. Isolation and Cultivation of Some Pathogen Fungi from Apple and Grapevines Grown in Arges County. Rev. Chim. 2019, 70, 3913–3916. [Google Scholar] [CrossRef]
- Nakova, M.B.; Nakov, B.K.; Tityanov, M. Grapevine powdery mildew (Uncinula necator (Schw.) Burr.)—A permanent issue concerning the health status of grapes cenosis in Bulgaria. In Proceedings of the BIO Web of Conferences 9, 01021, 40th World Congress of Vine and Wine, Sofia, Bulgaria, 29 May–2 June 2017. [Google Scholar] [CrossRef]
- Jackson, R.S. Vineyard Practice. In Wine Science, 3rd ed.; Jackson, R.S., Ed.; Academic Press: Burlington, MA, USA, 2008; pp. 108–238. [Google Scholar] [CrossRef]
- Gadoury, D.M.; Cadle-Davidson, L.; Wilcox, W.F.; Dry, I.B.; Seem, R.C.; Milgroom, M.G. Grapevine powdery mildew (Erysiphe necator): A fascinating system for the study of the biology, ecology and epidemiology of an obligate biotroph. Mol. Plant Pathol. 2012, 13, 1–16. [Google Scholar] [CrossRef]
- Wilcox, W.F.; Gubler, W.D.; Uyemoto, J.K. Compendium of Grape Diseases, Disorders, and Pests, 2nd ed.; The American Phytopathological Society: St. Paul, MN, USA, 2015; p. 21. [Google Scholar] [CrossRef]
- El-Sharkawy, H.H.A.; Abo-El-Wafa, T.S.A.; Ibrahim, S.A.-A. Biological control agents improve the productivity and induce the resistance against downy mildew of grapevine. J. Plant Pathol. 2018, 100, 33–42. [Google Scholar] [CrossRef]
- Koledenkova, K.; Esmaeel, Q.; Jacquard, C.; Nowak, J.; Clément, C.; Ait Barka, E. Plasmopara viticola the Causal Agent of Downy Mildew of Grapevine: From Its Taxonomy to Disease Management. Front. Microbiol. 2022, 13, 889472. [Google Scholar] [CrossRef]
- Alain, G.; Baldi, I.; Marçal, J. The use of pesticides in French viticulture: A badly controlled technology transfer! Work 2012, 41 (Suppl. S1), 19–25. [Google Scholar] [CrossRef]
- Calinescu, M.; Ungureanu, C.; Marin, F.; Militaru, M.; Soare, L.C.; Fierascu, R.; Fierascu, I. Antifungal activities of vegetal extract obtained from Dryopteris filix-mas (l.) fern. Fruit Grow. Res. 2019, 35, 65–71. [Google Scholar] [CrossRef]
- Butu, M.; Rodino, S.; Butu, A. Chapter 3—Biopesticide formulations-current challenges and future perspectives. In Biopesticides; Rakshit, A., Meena, V.S., Abhilash, P.C., Sarma, B.K., Singh, H.B., Fraceto, L., Parihar, M., Singh, A.K., Eds.; Woodhead Publishing: Duxford, UK, 2022; pp. 19–29. [Google Scholar] [CrossRef]
- Melo, A.A.; Swarowsky, A. Chapter 4—Application technology of biopesticides. In Biopesticides; Rakshit, A., Meena, V.S., Abhilash, P.C., Sarma, B.K., Singh, H.B., Fraceto, L., Parihar, M., Singh, A.K., Eds.; Woodhead Publishing: Duxford, UK, 2022; pp. 31–36. [Google Scholar] [CrossRef]
- Cirstea, G.; Calinescu, M.; Ducu, C.; Moga, S.; Mihaescu, C.; Sumedrea, D.; Ungureanu, C.; Butac, M.; Valu, V. Bioformulations of plant protection products to control Podosphaera leucotricha and Venturia inaequalis phytopathogens. Fruit Grow. Res. 2019, 35, 61–64. [Google Scholar] [CrossRef]
- Vizitiu, D.E.; Fierascu, R.C.; Fierascu, I.; Ungureanu, C.; Soare, L.C.; Toma, I.-D. The Vegetal Extract Impact on the Main Pathogens that Affect the Grapevine Plants; Biology, Horticulture, Food Processing Technology, Environmental Engineering Series; University of Craiova: Craiova, Romania, 2019; Volume 29, pp. 260–265. [Google Scholar]
- Bunghez, I.R.; Barbinta, M.; Patrascu, M.E.; Dumitrescu, O.; Ungureanu, C.; Fierascu, I.; Iordache, S.M.; Ion, R.M. Environmentally friendly phytosynthesis of silver-based materials using Cornus mas L. fruits. Environ. Eng. Manag. J. 2016, 15, 2085–2094. [Google Scholar]
- Sánchez-Hernández, E.; Buzón-Durán, L.; Lorenzo-Vidal, B.; Martín-Gil, J.; Martín-Ramos, P. Physicochemical Characterization and Antimicrobial Activity against Erwinia amylovora, Erwinia vitivora, and Diplodia seriata of a Light Purple Hibiscus syriacus L. Cultivar. Plants 2021, 10, 1876. [Google Scholar] [CrossRef] [PubMed]
- Rusin, C.; Cavalcanti, F.R.; de Lima, P.C.G.; Faria, C.M.D.R.; Almança, M.A.K.; Botelho, R.V. Control of the fungi Lasiodiplodia theobromae, the causal agent of dieback, in cv. syrah grapevines. Acta Scientiarum. Agron. 2020, 43, e44785. [Google Scholar] [CrossRef]
- Thuerig, B.; Ramseyer, J.M.; Ludwig, M.; Oberhänsli, T.; Potterat, O.; Schärer, H.J.; Tamm, L. Efficacy of a Magnolia officinalis bark extract against grapevine downy mildew and apple scab under controlled and field conditions. Crop Prot. 2018, 114, 97–105. [Google Scholar] [CrossRef]
- Richard, T.; El Khawand, T.; Taillis, D.; Da Costa, G.; Pedrot, E.; Cluzet, S.; Decendit, A.; Valls Fonayet, J. Chemical process to improve natural grapevine-cane extract effectivity against powdery mildew and grey mould. OENO ONE 2021, 55, 81–91. [Google Scholar] [CrossRef]
- Palazzolo, M.A.; Aballay, M.M.; Martinez, A.A. Grape Stalk-Based Extracts Controlling Fruit Pathogenic Fungi as a Waste Biomass Valorization Alternative in Winemaking. Waste Biomass Valor. 2022, 13, 609–616. [Google Scholar] [CrossRef]
- Sureshkumar, J.; Ayyanar, M.; Silambarasan, R. Ethnomedicinal uses, phytoconstituents and pharmacological importance of pteridophytes used by Malayalis in Kolli hills, India: A quantitative survey. J. Herb. Med. 2021, 25, 100418. [Google Scholar] [CrossRef]
- Lai, C.S.; Ponnusamy, Y.; Lim, G.L.; Ramanathan, S. Antibacterial, antibiofilm and antibiotic-potentiating effects of a polyphenol-rich fraction of Dicranopteris linearis (Burm.f.) Underw. J. Herb. Med. 2021, 25, 100419. [Google Scholar] [CrossRef]
- Petkov, V.; Slavova, I.; Teneva, D.; Mladenova, T.; Stovaniv, P.; Argirova, M. Phytochemical Study and Biological Activity of Three Fern Species of the Asplenium Genus Growing in Bulgaria. Nat. Prod. J. 2022, 12, 82–90. [Google Scholar] [CrossRef]
- Ibadullayeva, S.I.; Movsumova, N.V.; Shiraliyeva, G.S.; Askerova, N.A.; Mammadova, H.C. Pteridophytes: Ethnobotanical use and active chemical composition, Indian J. Tradit. Knowl. 2022, 21, 353–359. [Google Scholar]
- Mohammed, A.S.; Khan, M.M.R.L.; Jabin, S.A.; Abedin, N.; Islam, M.F.; Shaha, B. Nutritional quality and safety aspects of wild vegetables consume in Bangladesh. Asian Pac. J. Trop. Biomed. 2016, 6, 125–131. [Google Scholar] [CrossRef]
- Patil, D.T.; Gurav, K.D.; Kadam, A.S.; Thite, S.V.; Thoke, R.B.; Kore, B.A. Qualitative Analysis of Secondary Metabolites from Some Filicales Members. Int. J. Res. Phar. Chem. 2013, 3, 300–302. [Google Scholar]
- Femi-Adepoju, A.G.; Oluyori, A.P.; Fatoba, P.O.; Adepoju, A.O. Adeyinka. phytochemical and antimicrobial analysis of Dryopteris filix-mas (L.) Schott. Rasayan J. Chem. 2021, 14, 616–621. [Google Scholar] [CrossRef]
- Fons, F.; Froissard, D.; Bessière, J.-M.; Buatois, B.; Rapior, S. Biodiversity of Volatile Organic Compounds from Five French Ferns. Nat. Prod. Commun. 2010, 5, 1934578X1000501. [Google Scholar] [CrossRef]
- Mewari, N.; Kumar, P. Evaluation of antifungal potential of Marchantia polymorpha L., Dryopteris filix-mas (L.) Schott and Ephedra foliata Boiss. against phyto fungal pathogens. Arch. Phytopathol. Plant Prot. 2011, 44, 804–812. [Google Scholar] [CrossRef]
- Shukla, S.; Tiwari, S.K. Toxicological effects of Dryopteris filix-mas against the ontogeny of rice-moth, Corcyra cephalonica (Staint). World Appl. Sci. J. 2011, 12, 16–20. [Google Scholar]
- Saha, D.; Dasgupta, S.; Saha, A. Antifungal activity of some plant extracts against fungal pathogens of tea (Camellia sinensis.). Pharm. Biol. 2005, 43, 87–91. [Google Scholar] [CrossRef]
- Soare, L.C.; Ferdes, M.; Stefanov, S.; Denkova, Z.; Nicolova, R.; Denev, P.; Bejan, C.; Paunescu, A. Antioxidant activity, polyphenols content and antimicrobial activity of several native pteridophytes of Romania. Not. Bot. Horti. Agrobo. 2012, 40, 53–57. [Google Scholar] [CrossRef]
- Alam, M.W.; Najeeb, J.; Naeem, S.; Usman, S.M.; Nahvi, I.; Alismail, F.; Abuzir, A.; Farhan, M.; Nawaz, A. Electrochemical Methodologies for Investigating the Antioxidant Potential of Plant and Fruit Extracts: A Review. Antioxidants 2022, 11, 1205. [Google Scholar] [CrossRef]
- Calinescu, M.; Ungureanu, C.; Soare, L.C.; Fierascu, R.C.; Fierascu, I.; Marin, F.C. Green matrix solution for growth inhibition of Venturia inaequalis and Podosphaera leucotricha. Acta Hortic. 2020, 1289, 61–66. [Google Scholar] [CrossRef]
- Fierascu, I.; Ditu, L.-M.; Sutan, A.N.; Draghiceanu, O.A.; Fierascu, R.C.; Avramescu, S.M.; Lungulescu, E.-M.; Nicula, N.; Soare, L.C. Influence of gamma irradiation on the biological properties of Asplenium scolopendrium L. hydroalcoholic extracts. Radiat. Phys. Chem. 2021, 181, 109175. [Google Scholar] [CrossRef]
- Michailidu, J.; Maťátková, O.; Kolouchová, I.; Masák, J.; Čejková, A. Silver nanoparticle production mediated by Vitis vinifera cane extract: Characterization and antibacterial activity evaluation. Plants 2022, 11, 443. [Google Scholar] [CrossRef] [PubMed]
- Miškovská, A.; Rabochová, M.; Michailidu, J.; Masák, J.; Čejková, A.; Lorinčík, J.; Maťátková, O. Antibiofilm activity of silver nanoparticles biosynthesized using viticultural waste. PLoS ONE 2022, 17, e0272844. [Google Scholar] [CrossRef] [PubMed]
- Ruano-Rosa, D.; Sánchez-Hernández, E.; Baquero-Foz, R.; Martín-Ramos, P.; Martín-Gil, J.; Torres-Sánchez, S.; Casanova-Gascón, J. Chitosan-based bioactive formulations for the control of powdery mildew in viticulture. Agronomy 2022, 12, 495. [Google Scholar] [CrossRef]
- Fierascu, I.; Fierascu, R.C.; Ungureanu, C.; Draghiceanu, O.A.; Soare, L.C. Application of Polypodiopsida Class in Nanotechnology–Potential towards Development of More Effective Bioactive Solutions. Antioxidants 2021, 10, 748. [Google Scholar] [CrossRef]
- Ungureanu, C.; Fierascu, I.; Fierascu, R.C.; Costea, T.; Avramescu, S.M.; Calinescu, M.F.; Somoghi, R.; Pirvu, C. In vitro and in vivo evaluation of silver nanoparticles phytosynthesized using raphanus sativus l. waste extracts. Materials 2021, 14, 1845. [Google Scholar] [CrossRef]
- Fierascu, R.C.; Fierascu, I.; Lungulescu, E.M.; Nicula, N.; Somoghi, R.; Diţu, L.M.; Ungureanu, C.; Sutan, A.N.; Draghiceanu, O.A.; Paunescu, A.; et al. Phytosynthesis and radiation-assisted methods for obtaining metal nanoparticles. J. Mater. Sci. 2020, 55, 1915–1932. [Google Scholar] [CrossRef]
- Fierascu, I.; Fierascu, I.C.; Brazdis, R.I.; Baroi, A.M.; Fistos, T.; Fierascu, R.C. Phytosynthesized Metallic Nanoparticles—Between Nanomedicine and Toxicology. A Brief Review of 2019′s Findings. Materials 2020, 13, 574. [Google Scholar] [CrossRef]
- Fierascu, I.; Fierascu, R.C.; Soare, L.C. (Eds.) Development of Plant Extracts and Innovative Phytosynthesized Nanostructures Mixtures with Phytotherapeutic Applications, in Order to Reduce Biocenotic Stress in Horticultural Crops; Ruse Press: Ruse, Bulgaria, 2021; p. 251. [Google Scholar]
- Fierascu, I.; Fierascu, R.C.; Fistos, T.; Soare, L.C.; Ungureanu, C.; Vizitiu, D.E. Natural Fungicidal Composition for Combating Grapevine Downy Mildew and the Method of Obtaining It (In Romanian: Compoziție Naturală Fungicidă Pentru Combaterea Manei de Viță de Vie și Metoda de Obținere a Acesteia). Patent Application Number A/00073, 13 February 2020. [Google Scholar]
- EUCAST (European Committee on Antimicrobial Susceptibility Testing). Antimicrobial Susceptibility Testing EUCAST Disk Diffusion Method. Version 6.0. 2017. Available online: https://www.eucast.org/fileadmin/src/media/PDFs/EUCAST_files/Disk_test_documents/2017_manuals/Manual_v_6.0_EUCAST_Disk_Test_final.pdf (accessed on 29 October 2022).
- EUCAST (European Committee on Antimicrobial Susceptibility Testing). Antimicrobial Susceptibility Testing EUCAST Disk Diffusion Method. Version 9.0. 2021. Available online: https://www.eucast.org/fileadmin/src/media/PDFs/EUCAST_files/Disk_test_documents/2021_manuals/Manual_v_9.0_EUCAST_Disk_Test_2021.pdf (accessed on 29 October 2022).
- Talontsi, F.M.; Islam, T.; Facey, P.; Douanla-Meli, C.; von Tiedemann, A.; Laatsch, H. Depsidones and other constituents from Phomopsis sp. CAFT69 and its host plant Endodesmia calophylloides with potent inhibitory effect on motility of zoospores of grapevine pathogen Plasmopara viticola. Phytochem. Lett. 2012, 5, 657–664. [Google Scholar] [CrossRef]
- Gabaston, J.; Richard, T.; Biais, B.; Waffo-Teguo, P.; Pedrot, E.; Jourdes, M.; Corio-Costet, M.F.; Mérillon, J.M. Stilbenes from common spruce (Picea abies) bark as natural antifungal agent against downy mildew (Plasmopara viticola). Ind. Crop. Prod. 2017, 103, 267–273. [Google Scholar] [CrossRef]
- Zang, C.; Lin, Q.; Xie, J.; Lin, Y.; Yu, S.; Zhao, K.; Liang, C. The biological control of the grapevine downy mildew disease using Ochrobactrum sp. Plant Protect. Sci. 2020, 56, 52–61. [Google Scholar] [CrossRef]
- Alexiu, V.; Neblea, M.; Sumedrea, D.; Visoiu, E.; Tita, I.; Posedaru, A.; Richiteanu, A.; Cristescu, C.; Dumitriu, I.C.; Cujbescu, I. Viticultura in Book Caiet de Practică Horticolă (In Romanian) [Viticulture in Book Horticultural Practice Notebook]; Alexiu, V., Ed.; Cultura: Pitesti, Romania, 2002; pp. 53–55. [Google Scholar]
- Myburgh, P.A.; van der Walt, L.D. Cane Water Content and Yield Responses of Vitis vinifera L. cv. Sultanina to Overhead Irrigation during the Dormant Period. S. Afr. J. Enol. Vitic. 2005, 26, 1–5. [Google Scholar] [CrossRef][Green Version]
- Pánczél, M.; Eifert, J. Die Bestimung des Zuckerund Stärkegehaltes der Weinrebe mittels Anthronreagens. Mitt. Klosterneubg. 1960, 1, 102–110. (In German) [Google Scholar]
- Sutan, N.A.; Manolescu, D.S.; Fierascu, I.; Neblea, A.M.; Sutan, C.; Ducu, C.; Soare, L.C.; Negrea, D.; Avramescu, S.M.; Fierascu, R.C. Phytosynthesis of gold and silver nanoparticles enhance in vitro antioxidant and mitostimulatory activity of Aconitum toxicum Reichenb. rhizomes alcoholic extracts. Mat. Sci. Eng. C 2018, 93, 746–758. [Google Scholar] [CrossRef]
- Zheng, L.P.; Zhang, Z.; Zhang, B.; Wang, J.W. Antifungal properties of Ag-SiO2 core-shell nanoparticles against phytopathogenic fungi. Adv. Mater. Res. 2012, 476, 814–818. [Google Scholar] [CrossRef]
- Wang, X.; Cai, A.; Wen, X.; Jing, D.; Qi, H.; Yuan, H. Graphene oxide-Fe3O4 nanocomposites as high-performance antifungal agents against Plasmopara viticola. Sci. China Mater. 2017, 60, 258–268. [Google Scholar] [CrossRef]
- Alghuthaymi, M.A.; Rajkuberan, C.; Rajiv, P.; Kalia, A.; Bhardwaj, K.; Bhardwaj, P.; Abd-Elsalam, K.A.; Valis, M.; Kuca, K. Nanohybrid Antifungals for Control of Plant Diseases: Current Status and Future Perspectives. J. Fungi 2021, 7, 48. [Google Scholar] [CrossRef]
- Rashad, Y.M.; El-Sharkawy, H.H.A.; Belal, B.E.A.; Abdel Razik, E.S.; Galilah, D.A. Silica Nanoparticles as a Probable Anti-Oomycete Compound Against Downy Mildew, and Yield and Quality Enhancer in Grapevines: Field Evaluation, Molecular, Physiological, Ultrastructural, and Toxicity Investigations. Front. Plant Sci. 2021, 12, 763365. [Google Scholar] [CrossRef]
- Farhat, M.; Thabet, M.; Haggag, W.; Mosa, A. Efficacy of silicon and titanium nanoparticles biosynthesis by some antagonistic fungi and bacteria for controlling powdery mildew disease of wheat plants. Int. J. Agric. Technol. 2018, 14, 661–674. [Google Scholar]
- Bibi, S.; Huguet-Tapia, J.C.; Naveed, Z.A.; El-Sayed, A.S.A.; Timilsina, S.; Jones, J.B.; Ali, G.S. Study of silver nanoparticle effects on some molecular responses and metabolic pathways of Phytophthora parasitica. Int. J. Nanomater. Nanotechnol. Nanomed. 2021, 7, 047–056. [Google Scholar] [CrossRef]
- Özkara, A.; Akyıl, D.; Konuk, M. Environmental Health Risk-Hazardous Factors to Living Species; Larramendy, M.L., Soloneski, S., Eds.; Intech: London, UK, 2016; pp. 5–12. [Google Scholar] [CrossRef]
- Dumitriu, I.C. Viticultura. [Viticulture]; Ceres: Bucharest, Romania, 2008; p. 390. (In Romanian) [Google Scholar]
- Sardarescu, I.D. The effect of biostimulants on virus-infected grapevine maintained in greenhouse conditions. RJH 2021, 2, 125–130. [Google Scholar] [CrossRef]
- Irimia, L.M. Biologia, Ecologia şi Fiziologia Viţei-De-Vie [Grapevine Biology, Ecology, and Physiology]; Ion Ionescu de la Brad: Iasi, Romania, 2012; pp. 65–66. ISBN 978-973-147-106-8. [Google Scholar] [CrossRef]
- Raigond, P.; Raigond, B.; Kaundal, B.; Singh, B.; Joshi, A.; Dutt, S. Effect of Zinc Nanoparticles on Antioxidative System of Potato Plants. J. Environ. Biol. 2017, 38, 435–439. [Google Scholar] [CrossRef]
- Oloumi, H.; Soltaninejad, R.; Baghizadeh, A. The comparative effects of nano and bulk size particles of CuO and ZnO on Glycyrrhiza glabra L. Seedlings. Ind. J. Plant. Physiol. 2015, 20, 157–161. [Google Scholar] [CrossRef]
- Suganya, A.; Saravanan, A.; Manivannan, N. Role of zinc nutrition for increasing zinc availability, uptake, yield and quality of maize (Zea mays L.) Grains: An Overview. Comm. Soil Sci. Plant. Anal. 2020, 51, 2001–2021. [Google Scholar]
- Abou El-Nasr, M.K.; El-Hennawy, H.M.; Samaan, M.S.F.; Salaheldin, T.A.; Abou El-Yazied, A.; El-Kereamy, A. Using zinc oxide nanoparticles to improve the color and berry quality of table grapes Cv. Crimson Seedless. Plants 2021, 10, 1285. [Google Scholar] [CrossRef]
- Bucur, G.M.; Dejeu, L. Researches on the frost resistance of grapevine with special regard to the romanian viticulture. A review. Sci. Pap. Ser. B Hortic. 2020, 64, 238–247. [Google Scholar]
- Zufferey, V.; Murisier, F.; Vivin, P.; Belcher, S.; Lorenzini, F.; Spring, J.L.; Viret, O. Carbohydrate reserves in grapevine (Vitis vinifera L. ‘Chasselas’): The influence of the leaf to fruit ratio. Vitis 2012, 51, 103–110. [Google Scholar] [CrossRef]
- Stoev, D.K. Fiziologia Viței-De-Vie [Grapevine Physiology]; Ceres: Bucharest, Romania, 1979; p. 146. [Google Scholar]
- Oprea, S. Viticultura [Viticulture]; Academic Press: Cluj Napoca, Romania, 2001; p. 152. [Google Scholar]
- Bejan, C.; Visoiu, E.; Nedelea, G. Biochemical evaluation of the quality of G0 grapevine initial planting material. In Proceedings of the 36th World Congress of the Vine and Wine: Between Tradition and Modernity, Bucharest, Romania, 2–7 June 2013; pp. 195–196. [Google Scholar]








| Year | Treatment Time | Date | Treatment Type/ Diseases | Control Treatment | Examined Treatments | |
|---|---|---|---|---|---|---|
| 2019 | 1st | 19/06 | Preventive/ downy mildew | Dithane 0.2% (80% mancozeb) | V1 | V2 |
| 2nd | 10/08 | Curative/ powdery mildew | Flint max 75 WG (500 g/kg Tebuconazol + 250 g/kg Trifloxistrobin), 0.16 kg/ha | V1 | V2 | |
| 3rd | 21/08 | Curative/ powdery mildew | Sublic (Bacillus sp.) 1.2–1.5 L/ha + NutryAction 100–200 mL/hL (brown algae, Microspore Hellas, Athens, Greece) | V1 | V2 | |
| 2020 | 1st | 07/07 | Curative/powdery mildew | Thiovit Jet (80% sulfur), 3 kg/ha | V1 | V2 |
| 2nd | 16/07 | Curative/powdery mildew | Thiovit Jet (80% sulfur), 3 kg/ha | V1 | V2 | |
| 3rd | 20/08 | Curative/ powdery mildew | Microthiol Special (800 g/kg sulfur), 20–30 g/10 L water | V1 | V2 | |
| 4th | 27/08 | Curative/ powdery mildew | Microthiol Special (800 g/kg sulfur), 20–30 g/10 L water | V1 | V2 | |
| 5th | 04/09 | Curative/ powdery mildew | Microthiol Special (800 g/kg sulfur), 20–30 g/10 L water | V1 | V2 | |
| Group/Zone | 2020 | 2021 | ||||
|---|---|---|---|---|---|---|
| Control | V1 | V2 | Control | V1 | V2 | |
| Feteasca alba 97 St. | ||||||
| Base | 0.53 ± 0.09 a | 0.51 ± 0.03 ab | 0.38 ± 0.03 c | 0.48 ± 0.07 b | 0.49 ± 0.05 ab | 0.51 ± 0.01 ab |
| Middle | 0.56 ± 0.04 a | 0.57 ± 0.10 a | 0.41 ± 0.05 b | 0.39 ± 0.11 b | 0.44 ± 0.11 b | 0.46 ± 0.04 b |
| Top | 0.38 ± 0.07 c | 0.50 ± 0.08 ab | 0.54 ± 0.04 a | 0.38 ± 0.03 c | 0.38 ± 0.14 c | 0.44 ± 0.09 bc |
| Feteasca neagra 6 St. | ||||||
| Base | 0.39 ± 0.09 bc | 0.45 ± 0.11 ab | 0.38 ± 0.08 bc | 0.37 ± 0.04 c | 0.47 ± 0.06 a | 0.47 ± 0.08 a |
| Middle | 0.49 ± 0.06 a | 0.46 ± 0.05 a | 0.38 ± 0.02 b | 0.36 ± 0.10 b | 0.34 ± 0.05 b | 0.32 ± 0.09 b |
| Top | 0.43 ± 0.02 b | 0.54 ± 0.06 a | 0.38 ± 0.15 b | 0.39 ± 0.04 b | 0.44 ± 0.13 b | 0.27 ± 0.03 c |
| Feteasca regala 72 St. | ||||||
| Base | 0.39 ± 0.04 b | 0.39 ± 0.14 b | 0.39 ± 0.01 b | 0.49 ± 0.04 a | 0.53 ± 0.14 a | 0.55 ± 0.06 a |
| Middle | 0.43 ± 0.06 cd | 0.51 ± 0.06 b | 0.42 ± 0.07 d | 0.48 ± 0.02 bc | 0.51 ± 0.10 b | 0.57 ± 0.02 a |
| Top | 0.48 ± 0.04 a | 0.43 ± 0.08 a | 0.47 ± 0.05 a | 0.35 ± 0.09 b | 0.47 ± 0.11 a | 0.44 ± 0.05 a |
| Cabernet Sauvignon 131 St. | ||||||
| Base | 0.27 ± 0.08 d | 0.36 ± 0.09 bc | 0.31 ± 0.02 cd | 0.37 ± 0.06 ab | 0.42 ± 0.02 a | 0.35 ± 0.01 bc |
| Middle | 0.34 ± 0.04 c | 0.44 ± 0.04 a | 0.30 ± 0.02 c | 0.39 ± 0.02 b | 0.39 ± 0.08 b | 0.41 ± 0.05 ab |
| Top | 0.37 ± 0.09 b | 0.46 ± 0.07 a | 0.29 ± 0.05 c | 0.43 ± 0.06 ab | 0.45 ± 0.08 a | 0.47 ± 0.06 a |
| Group/Parameter | 2020 | 2021 | ||||
|---|---|---|---|---|---|---|
| Control | V1 | V2 | Control | V1 | V2 | |
| Feteasca alba 97 St. | ||||||
| Soluble sugars (%) | 16.20 ± 3.54 a | 14.49 ± 0.39 bc | 14.53 ± 2.58 ac | 15.75 ± 0.53 ab | 14.19 ± 0.64 bc | 13.61 ± 0.50 c |
| Starch (%) | 3.30 ± 0.82 cd | 2.79 ± 1.21 d | 3.56 ± 0.95 c | 4.36 ± 0.39 b | 4.43 ± 0.42 b | 5.19 ± 0.62 a |
| Total sugars (%) | 19.50 ± 3.52 ab | 17.29 ± 2.14 b | 18.09 ± 2.47 ab | 20.11 ± 3.52 a | 18.62 ± 2.14 ab | 18.80 ± 2.47 ab |
| Total water (%) | 59.06 ± 3.89 a | 59.09 ± 3.33 a | 54.23 ± 13.18 ab | 50.38 ± 0.33 b | 52.02 ± 1.89 b | 52.69 ± 0.99 b |
| Feteasca neagra 6 St. | ||||||
| Soluble sugars (%) | 17.46 ± 0.65 a | 16.27 ± 0.61 b | 16.66 ± 0.72 b | 15.28 ± 0.28 c | 14.61 ± 0.59 d | 16.12 ± 0.68 b |
| Starch (%) | 2.58 ± 1.70 c | 2.38 ± 0.91 c | 2.79 ± 0.64 bc | 3.78 ± 0.28 a | 3.12 ± 0.85 ac | 3.47 ± 0.56 ab |
| Total sugars (%) | 20.04 ± 2.34 a | 18.65 ± 1.39 bc | 19.45 ± 1.15 ab | 19.06 ± 0.15 ab | 17.73 ± 0.89 c | 19.59 ± 0.73 ab |
| Total water (%) | 56.16 ± 8.58 a | 54.91 ± 0.80 ab | 53.29 ± 7.86 ab | 46.50 ± 1.13 c | 51.78 ± 1.26 ab | 51.19 ± 3.19 b |
| Feteasca regala 72 St. | ||||||
| Soluble sugars (%) | 15.11 ± 0.81 b | 15.63 ± 0.65 a | 15.23 ± 0.32 ab | 12.01 ± 0.65 d | 12.78 ± 0.41 c | 11.69 ± 0.17 d |
| Starch (%) | 3.17 ± 1.50 bc | 2.21 ± 1.41 c | 2.71 ± 0.66 c | 4.27 ± 1.11 ab | 4.83 ± 1.94 a | 4.95 ± 0.54 a |
| Total sugars (%) | 18.27 ± 0.11 a | 17.83 ± 0.47 ab | 17.95 ± 0.69 ab | 16.28 ± 0.59 c | 17.61 ± 0.72 b | 16.63 ± 0.76 c |
| Total water (%) | 55.42 ± 6.69 ab | 58.01 ± 0.96 a | 58.91 ± 6.13 a | 51.78 ± 2.52 bc | 52.39 ± 1.94 bc | 51.69 ± 2.38 c |
| Cabernet Sauvignon 131 St. | ||||||
| Soluble sugars (%) | 14.03 ± 4.69 ab | 15.73 ± 4.48 a | 14.70 ± 1.48 ab | 10.42 ± 0.39 c | 10.93 ± 0.74 c | 12.68 ± 0.59 bc |
| Starch (%) | 2.87 ± 5.39 b | 3.11 ± 2.86 b | 3.75 ± 3.80 ab | 5.95 ± 0.43 a | 5.07 ± 0.61 ab | 6.15 ± 0.74 a |
| Total sugars (%) | 16.90 ± 0.51 b | 18.84 ± 0.47 a | 18.45 ± 0.54 a | 16.36 ± 0.51 c | 16.00 ± 0.47 c | 18.83 ± 0.54 a |
| Total water (%) | 55.85 ± 5.66 a | 54.87 ± 2.15 a | 54.75 ± 0.37 a | 48.82 ± 2.74 b | 49.37 ± 0.85 b | 48.18 ± 1.14 b |
Publisher’s Note: MDPI stays neutral with regard to jurisdictional claims in published maps and institutional affiliations. |
© 2022 by the authors. Licensee MDPI, Basel, Switzerland. This article is an open access article distributed under the terms and conditions of the Creative Commons Attribution (CC BY) license (https://creativecommons.org/licenses/by/4.0/).
Share and Cite
Vizitiu, D.E.; Sardarescu, D.I.; Fierascu, I.; Fierascu, R.C.; Soare, L.C.; Ungureanu, C.; Buciumeanu, E.C.; Guta, I.C.; Pandelea, L.M. Grapevine Plants Management Using Natural Extracts and Phytosynthesized Silver Nanoparticles. Materials 2022, 15, 8188. https://doi.org/10.3390/ma15228188
Vizitiu DE, Sardarescu DI, Fierascu I, Fierascu RC, Soare LC, Ungureanu C, Buciumeanu EC, Guta IC, Pandelea LM. Grapevine Plants Management Using Natural Extracts and Phytosynthesized Silver Nanoparticles. Materials. 2022; 15(22):8188. https://doi.org/10.3390/ma15228188
Chicago/Turabian StyleVizitiu, Diana Elena, Daniela Ionela Sardarescu, Irina Fierascu, Radu Claudiu Fierascu, Liliana Cristina Soare, Camelia Ungureanu, Elena Cocuta Buciumeanu, Ionela Catalina Guta, and Letitia Mariana Pandelea. 2022. "Grapevine Plants Management Using Natural Extracts and Phytosynthesized Silver Nanoparticles" Materials 15, no. 22: 8188. https://doi.org/10.3390/ma15228188
APA StyleVizitiu, D. E., Sardarescu, D. I., Fierascu, I., Fierascu, R. C., Soare, L. C., Ungureanu, C., Buciumeanu, E. C., Guta, I. C., & Pandelea, L. M. (2022). Grapevine Plants Management Using Natural Extracts and Phytosynthesized Silver Nanoparticles. Materials, 15(22), 8188. https://doi.org/10.3390/ma15228188

