Research on Impermeability of Underwater Non-Dispersible Concrete in Saline Soil
Abstract
:1. Introduction
2. Materials and Methods
2.1. Materials
2.2. Methods
2.2.1. Preparation of Underwater Non-Dispersible Concrete
2.2.2. Preparation of Salt Solution for Simulating Saline Soil Environment
2.2.3. Test methods
- 1.
- Chloride penetration resistance test
- 2.
- Water impermeability test
- 3.
- SEM and MIP tests
3. Results and Discussion
3.1. Study on Cl− Permeability Resistance of Concrete in Different Salt Environments
3.2. Influence of Strength Grade on Chloride ion Impermeability of Underwater Non-Dispersible Concrete
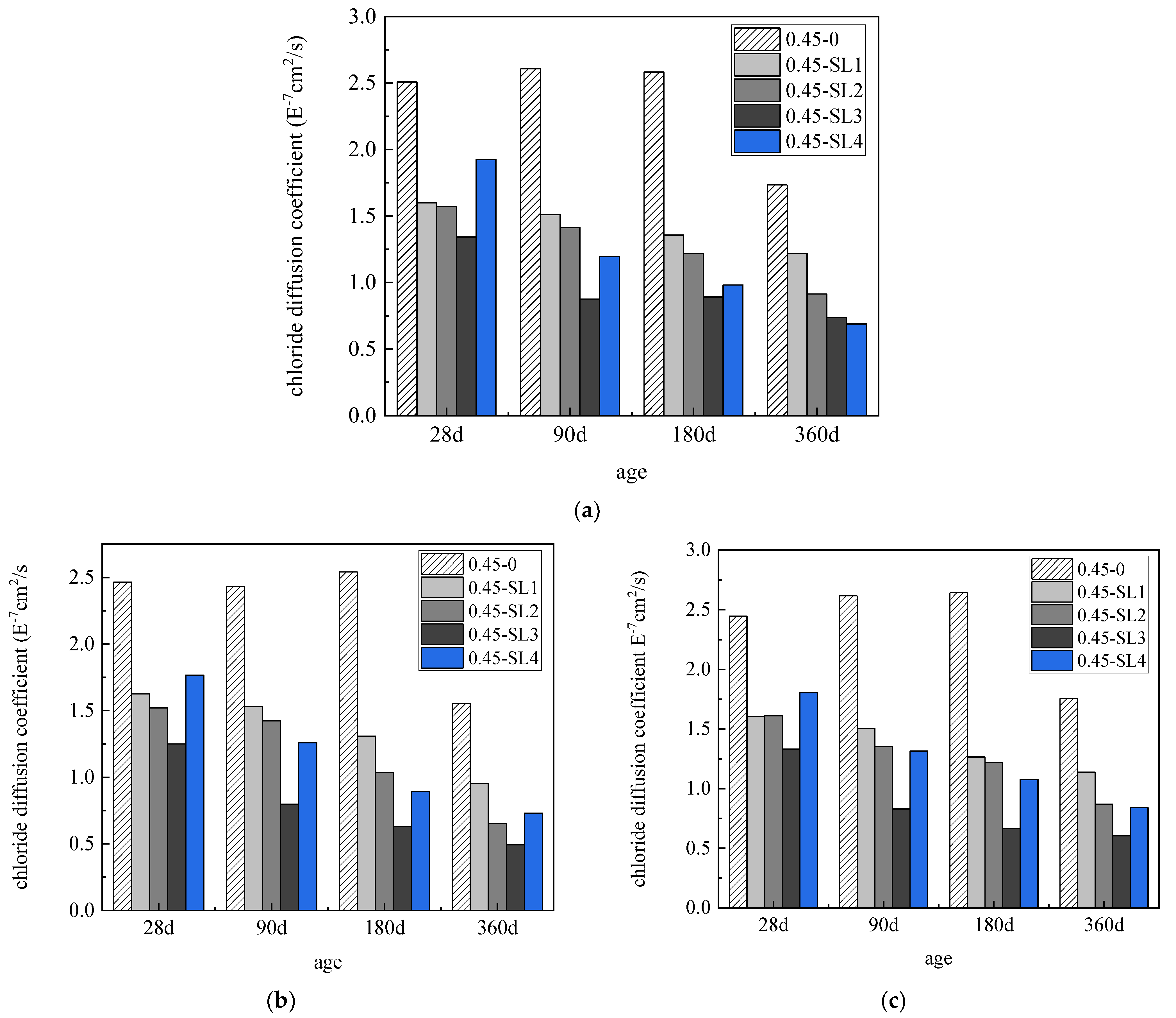
3.3. Influence of Slag Powder Content on Chloride Permeability Resistance of Underwater Non-Dispersible Concrete
3.4. Results Analysis of Water Impermeability Test for Underwater Non-Dispersible Concrete
3.5. Analysis of Pore Structure Characteristics of Underwater Non-Dispersible Concrete in Compound Salt Environment
4. Conclusions
- (1)
- In a freshwater environment and salt solution environment, with the increase in age, the chloride ion diffusion coefficient of underwater non-dispersible concrete gradually decreases, and the average water seepage height of concrete gradually decreases.
- (2)
- The chloride salt environment has no obvious influence on the impermeability of underwater non-dispersible concrete. The difference in the Cl− diffusion coefficient compared to fresh water is less than 5%, and there is no obvious difference in morphology or pore size distribution. Sulfate reduces the impermeability of concrete. The Cl− diffusion coefficient of concrete at 360 d in sulfate and composite salt solutions is 6%~15% higher than that in fresh water.
- (3)
- The improvement caused by the increased strength grade is conducive to the enhancement of the impermeability of underwater non-dispersible concrete. The Cl− diffusion coefficient of C35 is 5%–30% lower than those of C30 and C25 underwater non-dispersible concrete at 360 d.
- (4)
- The addition of slag powder can significantly improve the impermeability of underwater non-dispersible concrete. The optimal dosage is 60%, and the Cl− diffusion coefficient of concrete is the lowest, which is 45%~70% lower than that of the blank sample.
Author Contributions
Funding
Institutional Review Board Statement
Informed Consent Statement
Data Availability Statement
Conflicts of Interest
References
- Tao, G.; Wang, M.; Wang, B. Research and developmentprogress of Non-dispersible underwater concrete. Low Temp. Archit. Technol. 2019, 41, 25–30. [Google Scholar]
- Huijun, W.; Diao, Z.; Fan, K. Study on Durability of Non-Dispersible Concrete in Seawater Environment. Int. J. Struct. Integr. 2019, 11, 443–452. [Google Scholar] [CrossRef]
- Falkner, H.; Henke, V. Application of Steel Fibre Concrete for Underwater Concrete Slabs. Cem. Concr. Compos. 1998, 20, 377–385. [Google Scholar] [CrossRef]
- Sonebi, M.; Bartos, P.J.M.; Khayat, K.H. Assessment of Washout Resistance of Underwater Concrete: A Comparison between CRD C61 and New MC-1 Tests. Mater. Struct. 1999, 32, 273–281. [Google Scholar] [CrossRef]
- Feng, S.; Zhang, Z.; Zhou, W. Research and application development of underwater non-dispersive concrete. Concrete 2000, 7, 36–38. [Google Scholar]
- Li, X. Research and engineering application of underwater non-dispersive concrete construction. Technol. Bus. 2013, 18, 230. [Google Scholar]
- Yang, J. Development and prospect of saline soil research in China. Acta Pedol. Sin. 2008, 45, 837–845. [Google Scholar]
- Yang, Z.; Wang, B. Present Status of Saline Soil Resources and Countermeasures for Improvement and Utilization in China. Shandong Agric. Sci. 2015, 47, 125–130. [Google Scholar]
- Shiyu, Z.; Qiang, W.; Yuqi, Z. Research on the Resistance to Saline Soil Erosion of High-Volume Mineral Admixture Steam-Cured Concrete. Constr. Build. Mater. 2019, 202, 1–10. [Google Scholar] [CrossRef]
- Qi, X.H.S.X. Mechanism Analysis of Chloride Resistance of Aeolian Sand Concrete Under Wind-Sand Erosion and Dry-Wet Circulation. Editorial Office of Transactions of the Chinese Society of Agricultural Engineering 2017, 33, 118–126. [Google Scholar]
- Wang, Y.; Li, L.; Page, C.L. Modelling of Chloride Ingress Into Concrete From a Saline Environment. Build. Environ. 2005, 40, 1573–1582. [Google Scholar] [CrossRef]
- Zhang, L.; Yu, H.; He, Z. Chloride ion diffusivity of salt lake concrete. J. Cent. South Univ. 2011, 42, 1752–1755. [Google Scholar]
- Qiao, H.; He, Z.; Zhu, Y. Study on durability of high performance concrete in saline soil area. China Railw. Sci. 2006, 4, 32–37. [Google Scholar]
- Zhang, J.; Bai, P.; Yan, Z. Study on chloride ion binding ability of concrete in chlorine-saline soil in western China. China Concr. Cem. Prod. 2016, 4, 21–24. [Google Scholar]
- Cui, S.A.; Ye, Y.Z.; Fu, F.; Liu, Z.F. Study on Resistance to Chloride Ion Penetration of High Performance Concrete for High Speed Railway Bridge Pile. Adv. Mater. Res. 2011, 150–151, 542–546. [Google Scholar] [CrossRef]
- Zhang, H.; Wang, L.; Zhao, J. Study on sulfate corrosion resistance of concrete structures in saline soil area. J. China Foreign Highw. 2016, 36, 317–321. [Google Scholar]
- Assaad, J.J.; Issa, C.A. Mechanisms of Strength Loss in Underwater Concrete. Mater. Struct. 2013, 46, 1613–1629. [Google Scholar] [CrossRef]
- Tao, B. Effect of Concrete Pore Structure on Chloride Diffusivity. Master’s Thesis, Wuhan University of Technology, Wuhan, China, 2009. [Google Scholar]
- Moon, H.Y.; Kim, H.S.; Choi, D.S. Relationship Between Average Pore Diameter and Chloride Diffusivity in Various Concretes. Constr. Build. Mater. 2005, 20, 725–732. [Google Scholar] [CrossRef]
- Zhao, J.; Zhu, Z.; Wu, H. Durability Study of Non-Dispersion Underwater Concrete in Sea Water Environment. J. Dalian Jiaotong Univ. 2017, 38, 86–89. [Google Scholar]
- Uysal, M.; Yilmaz, K.; Ipek, M. The Effect of Mineral Admixtures on Mechanical Properties, Chloride Ion Permeability and Impermeability of Self-Compacting Concrete. Constr. Build. Mater. 2011, 27, 263–270. [Google Scholar] [CrossRef]
- Moon, H.Y.; Shin, K.J. Evaluation on Steel Bar Corrosion Embedded in Antiwashout Underwater Concrete Containing Mineral Admixtures. Cem. Concr. Res. 2005, 36, 521–529. [Google Scholar] [CrossRef]
- Zhang, M.; Wang, F.; Ye, K. Effect of Fly Ash and Slag on Anti-washout Underwater Concrete. Bull. Chin. Ceram. Soc. 2016, 35, 2611–2616. [Google Scholar]
- Du, P.; Liu, S.; Zhang, C. Experimental Analysis of Resistance to Water Permeability of Rubber Aggregate Concrete. J. Civ. Eng. Manag. 2013, 30, 16–19. [Google Scholar]
- Szostak, B. Application of the C-S-H Phase Nucleating Agents to Improve the Performance of Sustainable Concrete Composites Containing Fly Ash for Use in the Precast Concrete Industry. Materials 2021, 14, 6514. [Google Scholar]
- Man, D.; Yin, H.; Cao, M. Research Progress of Concrete Durability in Saline Soil Environment. Bull. Chin. Ceram. Soc. 2016, 35, 3575–3580. [Google Scholar]
- Liao, M.; Liu, E.; Fu, L. Experimental study on salt ion corrosion of concrete in saline soil environments. Concrete 2019, 1, 81–85. [Google Scholar]
- Müllauer, W.; Beddoe, R.E.; Heinz, D. Sulfate Attack Expansion Mechanisms. Cem. Concr. Res. 2013, 52, 208–215. [Google Scholar] [CrossRef]
- Hao, Y.; Jiang, N.; Fan, J. Corrosion resistance of concrete in saline soil environment. Concrete 2016, 8, 8–10. [Google Scholar]
- Jin, Z.; Sun, W.; Zhang, Y. Damage of Concrete in Sulfate and Chloride Solution. J. Chin. Ceram. Soc. 2006, 34, 630–635. [Google Scholar]










| Materials | CaO | SiO2 | Al2O3 | Fe2O3 | SO3 | MgO | Na2O | K2O | TiO2 | MnO | Na2O3 | Others |
|---|---|---|---|---|---|---|---|---|---|---|---|---|
| Cement | 61.16 | 21.49 | 5.24 | 2.89 | 2.53 | 2.12 | 0.76 | 0.42 | — | — | — | 3.39 |
| GGBS | 40.08 | 30.31 | 14.99 | 0.39 | 3.22 | 8.60 | — | 0.50 | 0.84 | 0.40 | 0.32 | 0.35 |
| Strength Grade | No. | Water–Binder Ratio | Water (kg) | Binding Material (kg) | Cement (kg) | Slag Powder | Fine Aggregate (kg) | Coarse Aggregate (kg) | Water Reducer (%) | Flocculant (%) | Compression Strength (MPa) | ||
|---|---|---|---|---|---|---|---|---|---|---|---|---|---|
| Mass (kg) | Replacement rate (%) | 28 d | 90 d | ||||||||||
| C25 | 0.5-O | 0.50 | 200 | 400 | 400 | 0 | 0 | 759 | 1006 | 1.0 | 3.5 | 35.9 | 40.2 |
| C30 | 0.45-O | 0.45 | 200 | 445 | 445 | 0 | 0 | 690 | 1035 | 0.5 | 2.8 | 41.6 | 47.9 |
| 0.45-SL1 | 0.45 | 200 | 445 | 356 | 89 | 20 | 690 | 1035 | 0.5 | 2.8 | 47.6 | 52.0 | |
| 0.45-SL2 | 0.45 | 200 | 445 | 267 | 178 | 40 | 690 | 1035 | 0.5 | 2.8 | 50.4 | 51.0 | |
| 0.45-SL3 | 0.45 | 200 | 445 | 178 | 267 | 60 | 690 | 1035 | 0.5 | 2.8 | 47.1 | 50.3 | |
| 0.45-SL4 | 0.45 | 200 | 445 | 89 | 356 | 80 | 690 | 1035 | 0.5 | 2.8 | 44.6 | 48.2 | |
| C35 | 0.4-O | 0.40 | 200 | 500 | 500 | 0 | 0 | 670 | 1005 | 0.5 | 2.5 | 44.3 | 50.6 |
| Strength Grade | Water–Binder Ratio | Curing Condition | Age | Seepage Height (mm) | ||||||
|---|---|---|---|---|---|---|---|---|---|---|
| A | B | C | D | E | F | Average Water Seepage Height | ||||
| C35 | 0.40 | Fresh water | 28 d | 17.40 | 13.08 | 8.45 | 12.59 | 13.26 | 14.57 | 13.22 |
| 360 d | 11.31 | 10.77 | 13.22 | 12.03 | 12.36 | 11.74 | 11.90 | |||
| Saline solution | 28 d | 12.96 | 13.41 | 13.92 | 11.54 | 10.76 | 14.23 | 12.80 | ||
| 360 d | 12.24 | 12.16 | 13.33 | 13.78 | 11.92 | 10.37 | 12.30 | |||
| C30 | 0.45 | Fresh water | 28 d | 14.81 | 21.12 | 14.39 | 14.58 | 17.11 | 14.96 | 16.16 |
| 360 d | 13.79 | 15.21 | 14.04 | 17.23 | 14.12 | 12.43 | 14.47 | |||
| Saline solution | 28 d | 17.49 | 16.83 | 12.42 | 13.57 | 16.80 | 18.27 | 15.89 | ||
| 360 d | 14.17 | 16.09 | 14.89 | 15.85 | 13.32 | 17.35 | 15.28 | |||
Publisher’s Note: MDPI stays neutral with regard to jurisdictional claims in published maps and institutional affiliations. |
© 2022 by the authors. Licensee MDPI, Basel, Switzerland. This article is an open access article distributed under the terms and conditions of the Creative Commons Attribution (CC BY) license (https://creativecommons.org/licenses/by/4.0/).
Share and Cite
Guo, B.; Wang, C.; Ma, X.; Jiang, R.; Wang, B.; Yan, J.; Liu, H. Research on Impermeability of Underwater Non-Dispersible Concrete in Saline Soil. Materials 2022, 15, 7915. https://doi.org/10.3390/ma15227915
Guo B, Wang C, Ma X, Jiang R, Wang B, Yan J, Liu H. Research on Impermeability of Underwater Non-Dispersible Concrete in Saline Soil. Materials. 2022; 15(22):7915. https://doi.org/10.3390/ma15227915
Chicago/Turabian StyleGuo, Baolin, Chao Wang, Xianghui Ma, Ruishuang Jiang, Baomin Wang, Jifei Yan, and Hang Liu. 2022. "Research on Impermeability of Underwater Non-Dispersible Concrete in Saline Soil" Materials 15, no. 22: 7915. https://doi.org/10.3390/ma15227915
APA StyleGuo, B., Wang, C., Ma, X., Jiang, R., Wang, B., Yan, J., & Liu, H. (2022). Research on Impermeability of Underwater Non-Dispersible Concrete in Saline Soil. Materials, 15(22), 7915. https://doi.org/10.3390/ma15227915
