Microextrusion Printing of Hierarchically Structured Thick V2O5 Film with Independent from Humidity Sensing Response to Benzene
Abstract
1. Introduction
2. Materials and Methods
2.1. Oxide Powder Preparation
2.2. Microextrusion Printing of V2O5 Film
2.3. Powder and Film Characterization
3. Results and Discussion
3.1. Oxide Powder Characterization
3.2. V2O5 Film Characterization
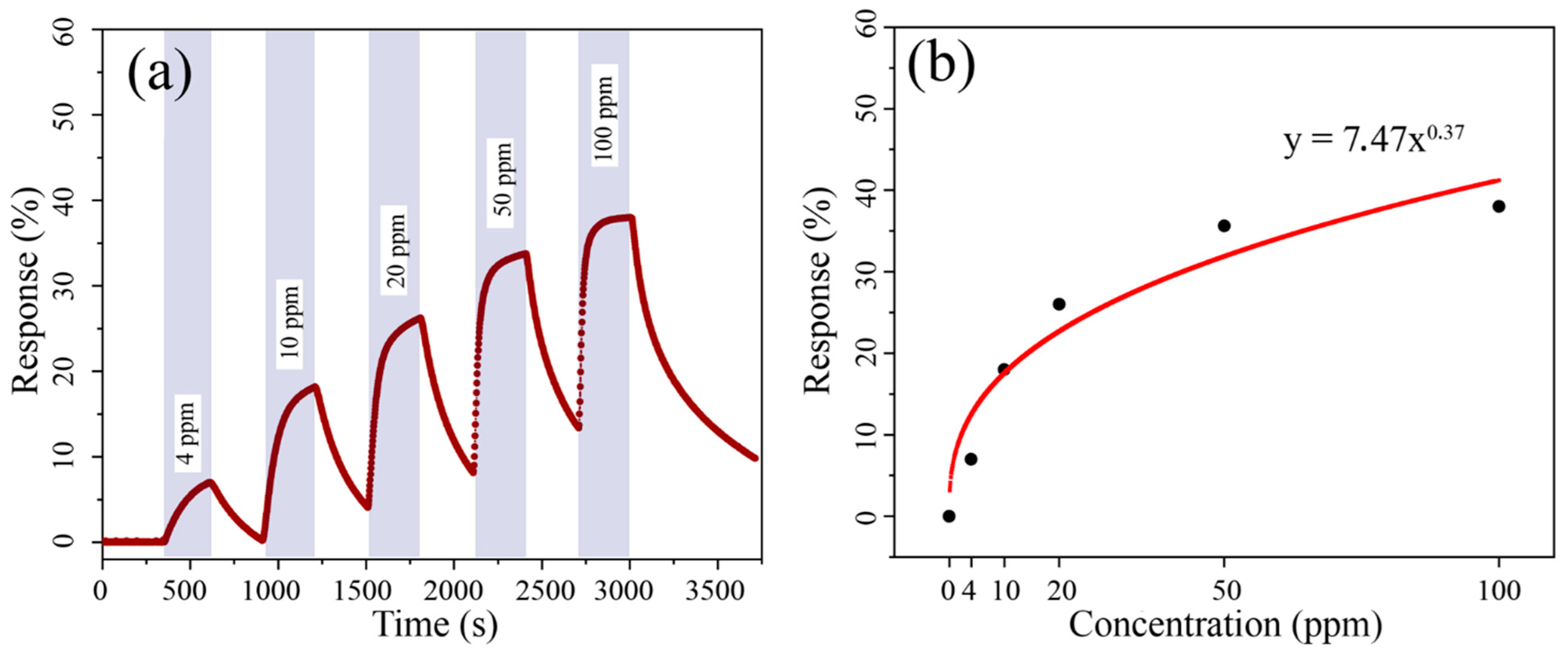
3.3. Sensory Properties of V2O5 Film
3.4. Electric Conductivity of V2O5 Film
4. Conclusions
Author Contributions
Funding
Institutional Review Board Statement
Informed Consent Statement
Data Availability Statement
Conflicts of Interest
References
- Yue, Y.; Liang, H. Micro- and Nano-Structured Vanadium Pentoxide (V2O5) for Electrodes of Lithium-Ion Batteries. Adv. Energy Mater. 2017, 7, 1602545. [Google Scholar] [CrossRef]
- Tamilselvan, M.; Madhukar Sreekanth, T.V.; Yoo, K.; Kim, J. Self-Doped 2D-V2O5 Nanoflakes—A High Electrochemical Performance Cathode in Rechargeable Zinc Ion Batteries. Ceram. Int. 2021, 47, 29832–29839. [Google Scholar] [CrossRef]
- Zhong, W.; Huang, J.; Liang, S.; Liu, J.; Li, Y.; Cai, G.; Jiang, Y.; Liu, J. New Prelithiated V2O5 Superstructure for Lithium-Ion Batteries with Long Cycle Life and High Power. ACS Energy Lett. 2020, 5, 31–38. [Google Scholar] [CrossRef]
- Henry, H.K.; Johnston, B.; Liau, D.; Sahadeo, E.; Lee, S.B. Dual Effect of Structure and Hydration on Magnesium-Ion Insertion into Electrodeposited V2O5 Thin Films. J. Electrochem. Soc. 2020, 167, 110523. [Google Scholar] [CrossRef]
- Fleischmann, S.; Leistenschneider, D.; Lemkova, V.; Krüner, B.; Zeiger, M.; Borchardt, L.; Presser, V. Tailored Mesoporous Carbon/Vanadium Pentoxide Hybrid Electrodes for High Power Pseudocapacitive Lithium and Sodium Intercalation. Chem. Mater. 2017, 29, 8653–8662. [Google Scholar] [CrossRef]
- Diem, A.M.; Fenk, B.; Bill, J.; Burghard, Z. Binder-Free V2O5 Cathode for High Energy Density Rechargeable Aluminum-Ion Batteries. Nanomaterials 2020, 10, 247. [Google Scholar] [CrossRef]
- Simo, A.; Drah, M.; Sibuyi, N.R.S.; Nkosi, M.; Meyer, M.; Maaza, M. Hydrothermal Synthesis of Cobalt-Doped Vanadium Oxides: Antimicrobial Activity Study. Ceram. Int. 2018, 44, 7716–7722. [Google Scholar] [CrossRef]
- Suresh, R.; Giribabu, K.; Manigandan, R.; Munusamy, S.; Praveen Kumar, S.; Muthamizh, S.; Stephen, A.; Narayanan, V. Doping of Co into V2O5 Nanoparticles Enhances Photodegradation of Methylene Blue. J. Alloys Compd. 2014, 598, 151–160. [Google Scholar] [CrossRef]
- Zanarini, S.; di Lupo, F.; Bedini, A.; Vankova, S.; Garino, N.; Francia, C.; Bodoardo, S. Three-Colored Electrochromic Lithiated Vanadium Oxides: The Role of Surface Superoxides in the Electro-Generation of the Red State. J. Mater. Chem. C Mater. 2014, 2, 8854–8857. [Google Scholar] [CrossRef]
- Jin, A.; Chen, W.; Zhu, Q.; Jian, Z. Multi-Electrochromism Behavior and Electrochromic Mechanism of Electrodeposited Molybdenum Doped Vanadium Pentoxide Films. Electrochim. Acta 2010, 55, 6408–6414. [Google Scholar] [CrossRef]
- Granqvist, C.G. Electrochromics for Smart Windows: Oxide-Based Thin Films and Devices. Thin Solid Films 2014, 564, 1–38. [Google Scholar] [CrossRef]
- Meyer, J.; Zilberberg, K.; Riedl, T.; Kahn, A. Electronic Structure of Vanadium Pentoxide: An Efficient Hole Injector for Organic Electronic Materials. J. Appl. Phys. 2011, 110, 033710. [Google Scholar] [CrossRef]
- Zhang, H.; Wang, S.; Sun, X.; Chen, S. Solution-Processed Vanadium Oxide as an Efficient Hole Injection Layer for Quantum-Dot Light-Emitting Diodes. J. Mater. Chem. C Mater. 2017, 5, 817–823. [Google Scholar] [CrossRef]
- Birajdar, S.N.; Adhyapak, P. v. Palladium-Decorated Vanadium Pentoxide as NOx Gas Sensor. Ceram. Int. 2020, 46, 27381–27393. [Google Scholar] [CrossRef]
- Mane, A.A.; Suryawanshi, M.P.; Kim, J.H.; Moholkar, A.V. Fast Response of Sprayed Vanadium Pentoxide (V2O5) Nanorods towards Nitrogen Dioxide (NO2) Gas Detection. Appl. Surf. Sci. 2017, 403, 540–550. [Google Scholar] [CrossRef]
- Akande, A.A.; Mosuang, T.; Ouma, C.N.M.; Benecha, E.M.; Tesfamicheal, T.; Roro, K.; Machatine, A.G.J.; Mwakikunga, B.W. Ammonia Gas Sensing Characteristics of V2O5 Nanostructures: A Combined Experimental and Ab Initio Density Functional Theory Approach. J. Alloys Compd. 2020, 821, 153565. [Google Scholar] [CrossRef]
- Yin, H.; Song, C.; Wang, Z.; Shao, H.; Li, Y.; Deng, H.; Ma, Q.; Yu, K. Self-Assembled Vanadium Oxide Nanoflakes for p-Type Ammonia Sensors at Room Temperature. Nanomaterials 2019, 9, 317. [Google Scholar] [CrossRef]
- Mounasamy, V.; Mani, G.K.; Ponnusamy, D.; Tsuchiya, K.; Reshma, P.R.; Prasad, A.K.; Madanagurusamy, S. Investigation on CH4 Sensing Characteristics of Hierarchical V2O5 Nanoflowers Operated at Relatively Low Temperature Using Chemiresistive Approach. Anal. Chim. Acta 2020, 1106, 148–160. [Google Scholar] [CrossRef]
- Vijayakumar, Y.; Mani, G.K.; Ponnusamy, D.; Shankar, P.; Kulandaisamy, A.J.; Tsuchiya, K.; Rayappan, J.B.B.; Ramana Reddy, M.V. V2O5 Nanofibers: Potential Contestant for High Performance Xylene Sensor. J. Alloys Compd. 2018, 731, 805–812. [Google Scholar] [CrossRef]
- Wang, D.; Gu, K.; Zhao, Q.; Zhai, C.; Yang, T.; Lu, Q.; Zhang, J.; Zhang, M. Synthesis and Trimethylamine Sensing Properties of Spherical V2O5 Hierarchical Structures. New J. Chem. 2018, 42, 14188–14193. [Google Scholar] [CrossRef]
- Paul Choudhury, S.; Feng, Z.; Gao, C.; Ma, X.; Zhan, J.; Jia, F. BN Quantum Dots Decorated ZnO Nanoplates Sensor for Enhanced Detection of BTEX Gases. J. Alloys Compd. 2020, 815, 152376. [Google Scholar] [CrossRef]
- Malagù, C.; Fabbri, B.; Gherardi, S.; Giberti, A.; Guidi, V.; Landini, N.; Zonta, G. Chemoresistive Gas Sensors for the Detection of Colorectal Cancer Biomarkers. Sensors 2014, 14, 18982–18992. [Google Scholar] [CrossRef] [PubMed]
- Milazzo, M.J.; Gohlke, J.M.; Gallagher, D.L.; Scott, A.A.; Zaitchik, B.F.; Marr, L.C. Potential for City Parks to Reduce Exposure to BTEX in Air. Environ. Sci. Process. Impacts 2019, 21, 40–50. [Google Scholar] [CrossRef] [PubMed]
- Zilberberg, K.; Trost, S.; Schmidt, H.; Riedl, T. Solution Processed Vanadium Pentoxide as Charge Extraction Layer for Organic Solar Cells. Adv. Energy Mater. 2011, 1, 377–381. [Google Scholar] [CrossRef]
- Hajzeri, M.; Šurca Vuk, A.; Slemenik Perše, L.; Čolović, M.; Herbig, B.; Posset, U.; Kržmanc, M.; Orel, B. Sol-Gel Vanadium Oxide Thin Films for a Flexible Electronically Conductive Polymeric Substrate. Sol. Energy Mater. Sol. Cells 2012, 99, 62–72. [Google Scholar] [CrossRef]
- Fradi, K.; Bouich, A.; Slimi, B.; Chtourou, R. Towards Improving the Optoelectronics Properties of MAPbI3(1−x)B3x/ZnO Heterojunction by Bromine Doping. Optik 2022, 249, 168283. [Google Scholar] [CrossRef]
- Sahana, M.B.; Sudakar, C.; Thapa, C.; Lawes, G.; Naik, V.M.; Baird, R.J.; Auner, G.W.; Naik, R.; Padmanabhan, K.R. Electrochemical Properties of V2O5 Thin Films Deposited by Spin Coating. Mater. Sci. Eng. B 2007, 143, 42–50. [Google Scholar] [CrossRef]
- Gökdemir, F.P.; Özdemir, O.; Kutlu, K. Comparison of Structural and Electrochemical Properties of V2O5 Thin Films Prepared by Organic/Inorganic Precursors. Electrochim. Acta 2014, 121, 240–244. [Google Scholar] [CrossRef]
- Glynn, C.; Creedon, D.; Geaney, H.; O’Connell, J.; Holmes, J.D.; O’Dwyer, C. Optimizing Vanadium Pentoxide Thin Films and Multilayers from Dip-Coated Nanofluid Precursors. ACS Appl. Mater. Interfaces 2014, 6, 2031–2038. [Google Scholar] [CrossRef]
- Vernardou, D.; Paterakis, P.; Drosos, H.; Spanakis, E.; Povey, I.M.; Pemble, M.E.; Koudoumas, E.; Katsarakis, N. A Study of the Electrochemical Performance of Vanadium Oxide Thin Films Grown by Atmospheric Pressure Chemical Vapour Deposition. Sol. Energy Mater. Sol. Cells 2011, 95, 2842–2847. [Google Scholar] [CrossRef]
- Drosos, C.; Jia, C.; Mathew, S.; Palgrave, R.G.; Moss, B.; Kafizas, A.; Vernardou, D. Aerosol-Assisted Chemical Vapor Deposition of V2O5 Cathodes with High Rate Capabilities for Magnesium-Ion Batteries. J. Power Sources 2018, 384, 355–359. [Google Scholar] [CrossRef]
- Nandakumar, N.K.; Seebauer, E.G. Low Temperature Chemical Vapor Deposition of Nanocrystalline V2O5 Thin Films. Thin Solid Films 2011, 519, 3663–3668. [Google Scholar] [CrossRef]
- Raj, P.D.; Gupta, S.; Sridharan, M. Influence of the Crystalline Nature of Growing Surface on the Properties of Vanadium Pentoxide Thin Films. Ceram. Int. 2017, 43, 9401–9407. [Google Scholar] [CrossRef]
- Zou, C.W.; Yan, X.D.; Han, J.; Chen, R.Q.; Gao, W. Microstructures and Optical Properties of β-V2O5 Nanorods Prepared by Magnetron Sputtering. J. Phys. D Appl. Phys. 2009, 42, 145402. [Google Scholar] [CrossRef]
- Quinzeni, I.; Ferrari, S.; Quartarone, E.; Mustarelli, P. Structural, Morphological and Electrochemical Properties of Nanocrystalline V2O5 Thin Films Deposited by Means of Radiofrequency Magnetron Sputtering. J. Power Sources 2011, 196, 10228–10233. [Google Scholar] [CrossRef]
- Cho, S.P.; Yeo, J.S.; Kim, D.Y.; Na, S.I.; Kim, S.S. Brush Painted V2O5 Hole Transport Layer for Efficient and Air-Stable Polymer Solar Cells. Sol. Energy Mater. Sol. Cells 2015, 132, 196–203. [Google Scholar] [CrossRef]
- Fedorov, F.S.; Simonenko, N.P.; Trouillet, V.; Volkov, I.A.; Plugin, I.A.; Rupasov, D.P.; Mokrushin, A.S.; Nagornov, I.A.; Simonenko, T.L.; Vlasov, I.S.; et al. Microplotter-Printed On-Chip Combinatorial Library of Ink-Derived Multiple Metal Oxides as an “Electronic Olfaction” Unit. ACS Appl. Mater. Interfaces 2020, 12, 56135–56150. [Google Scholar] [CrossRef]
- Simonenko, T.L.; Simonenko, N.P.; Gorobtsov, P.Y.; Mokrushin, A.S.; Solovey, V.R.; Pozharnitskaya, V.M.; Simonenko, E.P.; Glumov, O.V.; Melnikova, N.A.; Lizunova, A.A.; et al. Pen Plotter Printing of Co3O4 Thin Films: Features of the Microstructure, Optical, Electrophysical and Gas-Sensing Properties. J. Alloys Compd. 2020, 832, 154957. [Google Scholar] [CrossRef]
- Simonenko, T.L.; Simonenko, N.P.; Gorobtsov, P.Y.; Pozharnitskaya, V.M.; Simonenko, E.P.; Glumov, O.V.; Melnikova, N.A.; Sevastyanov, V.G.; Kuznetsov, N.T. Pen Plotter Printing of MnOx Thin Films Using Manganese Alkoxoacetylacetonate. Russ. J. Inorg. Chem. 2021, 66, 1416–1424. [Google Scholar] [CrossRef]
- Jeong, J.-A.; Lee, J.; Kim, H.; Kim, H.-K.; Na, S.-I. Ink-Jet Printed Transparent Electrode Using Nano-Size Indium Tin Oxide Particles for Organic Photovoltaics. Sol. Energy Mater. Sol. Cells 2010, 94, 1840–1844. [Google Scholar] [CrossRef]
- Costa, C.; Pinheiro, C.; Henriques, I.; Laia, C.A.T. Electrochromic Properties of Inkjet Printed Vanadium Oxide Gel on Flexible Polyethylene Terephthalate/Indium Tin Oxide Electrodes. ACS Appl. Mater. Interfaces 2012, 4, 5266–5275. [Google Scholar] [CrossRef] [PubMed]
- Costa, C.; Pinheiro, C.; Henriques, I.; Laia, C.A.T. Inkjet Printing of Sol-Gel Synthesized Hydrated Tungsten Oxide Nanoparticles for Flexible Electrochromic Devices. ACS Appl. Mater. Interfaces 2012, 4, 1330–1340. [Google Scholar] [CrossRef] [PubMed]
- Fedorov, F.S.; Simonenko, N.P.; Arsenov, P.V.; Zaytsev, V.; Simonenko, T.L.; Goikhman, B.V.; Volkov, I.A.; Simonenko, E.P.; Nasibulin, A.G. Study of Programmed Co-Precipitation of Aluminum Doped Zinc Oxide for High Precision Design of Gas Analytical Units. Appl. Surf. Sci. 2022, 606, 154717. [Google Scholar] [CrossRef]
- Černá, M.; Veselý, M.; Dzik, P.; Guillard, C.; Puzenat, E.; Lepičová, M. Fabrication, Characterization and Photocatalytic Activity of TiO2 layers Prepared by Inkjet Printing of Stabilized Nanocrystalline Suspensions. Appl. Catal. B Environ. 2013, 138, 84–94. [Google Scholar] [CrossRef]
- Simonenko, N.P.; Fisenko, N.A.; Fedorov, F.S.; Simonenko, T.L.; Mokrushin, A.S.; Simonenko, E.P.; Korotcenkov, G.; Sysoev, V.V.; Sevastyanov, V.G.; Kuznetsov, N.T. Printing Technologies as an Emerging Approach in Gas Sensors: Survey of Literature. Sensors 2022, 22, 3473. [Google Scholar] [CrossRef]
- Seo, H.; Iwai, H.; Kishimoto, M.; Ding, C.; Saito, M.; Yoshida, H. Microextrusion Printing for Increasing Electrode–Electrolyte Interface in Anode-Supported Solid Oxide Fuel Cells. J. Power Sources 2020, 450, 227682. [Google Scholar] [CrossRef]
- Mokrushin, A.S.; Simonenko, T.L.; Simonenko, N.P.; Gorobtsov, P.; Bocharova, V.A.; Kozodaev, M.G.; Markeev, A.M.; Lizunova, A.A.; Volkov, I.A.; Simonenko, E.P.; et al. Microextrusion Printing of Gas-Sensitive Planar Anisotropic NiO Nanostructures and Their Surface Modification in an H2S Atmosphere. Appl. Surf. Sci. 2022, 578, 151984. [Google Scholar] [CrossRef]
- Simonenko, N.P.; Kadyrov, N.S.H.; Simonenko, T.L.; Simonenko, E.P.; Sevastyanov, V.G.; Kuznetsov, N.T. Preparation of ZnS Nanopowders and Their Use in the Additive Production of Thick-Film Structures. Russ. J. Inorg. Chem. 2021, 66, 1283–1288. [Google Scholar] [CrossRef]
- Simonenko, T.L.; Simonenko, N.P.; Gorobtsov, P.Y.; Klyuev, A.L.; Grafov, O.Yu.; Ivanova, T.M.; Simonenko, E.P.; Sevastyanov, V.G.; Kuznetsov, N.T. Hydrothermally Synthesized Hierarchical Ce1-XSmxO2-δ Oxides for Additive Manufacturing of Planar Solid Electrolytes. Ceram. Int. 2022, 48, 22442–22451. [Google Scholar] [CrossRef]
- Noor, N.; Shapira, A.; Edri, R.; Gal, I.; Wertheim, L.; Dvir, T. 3D Printing of Personalized Thick and Perfusable Cardiac Patches and Hearts. Adv. Sci. 2019, 6, 1900344. [Google Scholar] [CrossRef]
- Simonenko, T.L.; Bocharova, V.A.; Gorobtsov, P.Y.; Simonenko, N.P.; Simonenko, E.P.; Sevastyanov, V.G.; Kuznetsov, N.T. Features of Hydrothermal Growth of Hierarchical Co3O4 Coatings on Al2O3 Substrates. Russ. J. Inorg. Chem. 2020, 65, 1304–1311. [Google Scholar] [CrossRef]
- Simonenko, T.L.; Bocharova, V.A.; Gorobtsov, P.Y.; Simonenko, N.P.; Muradova, A.G.; Simonenko, E.P.; Sevastyanov, V.G.; Kuznetsov, N.T. Formation of Hierarchical NiO Coatings on the Surface of Al2O3 Substrates under Hydrothermal Conditions. Russ. J. Inorg. Chem. 2020, 65, 1292–1297. [Google Scholar] [CrossRef]
- Martin-Martinez, F.J.; Jin, K.; López Barreiro, D.; Buehler, M.J. The Rise of Hierarchical Nanostructured Materials from Renewable Sources: Learning from Nature. ACS Nano 2018, 12, 7425–7433. [Google Scholar] [CrossRef] [PubMed]
- Zheng, M.; Tang, H.; Li, L.; Hu, Q.; Zhang, L.; Xue, H.; Pang, H. Hierarchically Nanostructured Transition Metal Oxides for Lithium-Ion Batteries. Adv. Sci. 2018, 5, 1700592. [Google Scholar] [CrossRef]
- Wang, H.; Rogach, A.L. Hierarchical SnO2 Nanostructures: Recent Advances in Design, Synthesis, and Applications. Chem. Mater. 2014, 26, 123–133. [Google Scholar] [CrossRef]
- Sui, L.; Yu, T.; Zhao, D.; Cheng, X.; Zhang, X.; Wang, P.; Xu, Y.; Gao, S.; Zhao, H.; Gao, Y.; et al. In Situ Deposited Hierarchical CuO/NiO Nanowall Arrays Film Sensor with Enhanced Gas Sensing Performance to H2S. J. Hazard. Mater. 2020, 385, 121570. [Google Scholar] [CrossRef]
- Zhang, H.; Chen, W.; Li, Y.; Song, Z.; Zeng, W.; Tang, S.; Wang, S.; Zhou, D. Hierarchical Heterostructures of Nanosheet-Assembled NiO-Modified ZnO Microflowers for High Performance Acetylene Detection. Ceram. Int. 2020, 46, 3574–3581. [Google Scholar] [CrossRef]
- Reddy, B.N.; Mukkabla, R.; Deepa, M.; Ghosal, P. Dual Purpose Poly(3,4-Ethylenedioxypyrrole)/Vanadium Pentoxide Nanobelt Hybrids in Photoelectrochromic Cells and Supercapacitors. RSC Adv. 2015, 5, 31422–31433. [Google Scholar] [CrossRef]
- Dou, Y.; Liang, X.; Gao, G.; Wu, G. Template-Free Synthesis of Porous V2O5 Yolk-Shell Microspheres as Cathode Materials for Lithium Ion Batteries. J. Alloys Compd. 2018, 735, 109–116. [Google Scholar] [CrossRef]
- Margoni, M.M.; Mathuri, S.; Ramamurthi, K.; Babu, R.R.; Ganesh, V.; Sethuraman, K. Hydrothermally Grown Nano and Microstructured V2O5 Thin Films for Electrochromic Application. Appl. Surf. Sci. 2018, 449, 193–202. [Google Scholar] [CrossRef]
- Gorobtsov, P.Y.; Fisenko, N.A.; Solovey, V.R.; Simonenko, N.P.; Simonenko, E.P.; Volkov, I.A.; Sevastyanov, V.G.; Kuznetsov, N.T. Microstructure and Local Electrophysical Properties of Sol-Gel Derived (In2O3-10%SnO2)/V2O5 Films. Colloids Interface Sci. Commun. 2021, 43, 100452. [Google Scholar] [CrossRef]
- Mokrushin, A.S.; Simonenko, T.L.; Simonenko, N.P.; Gorobtsov, P.Y.; Kadyrov, N.C.; Simonenko, E.P.; Sevastyanov, V.G.; Kuznetsov, N.T. Chemoresistive Gas-Sensing Properties of Highly Dispersed Nb2O5 Obtained by Programmable Precipitation. J Alloys Compd. 2021, 868, 159090. [Google Scholar] [CrossRef]
- Botto, I.L.; Vassallo, M.B.; Baran, E.J.; Minelli, G. IR Spectra of VO2 and V2O3. Mater. Chem. Phys. 1997, 50, 267–270. [Google Scholar] [CrossRef]
- Zilberberg, K.; Trost, S.; Meyer, J.; Kahn, A.; Behrendt, A.; Lützenkirchen-Hecht, D.; Frahm, R.; Riedl, T. Inverted Organic Solar Cells with Sol-Gel Processed High Work-Function Vanadium Oxide Hole-Extraction Layers. Adv. Funct. Mater. 2011, 21, 4776–4783. [Google Scholar] [CrossRef]
- Peng, H.; Sun, W.; Li, Y.; Ye, S.; Rao, H.; Yan, W.; Zhou, H.; Bian, Z.; Huang, C. Solution Processed Inorganic V2Ox as Interfacial Function Materials for Inverted Planar-Heterojunction Perovskite Solar Cells with Enhanced Efficiency. Nano Res. 2016, 9, 2960–2971. [Google Scholar] [CrossRef]
- Navyashree, G.R.; Hareesh, K.; Sunitha, D.V.; Nagabhushana, H.; Nagaraju, G. Photocatalytic Degradation Performance of Nd3+ Doped V2O5 Nanostructures. Mater. Res. Express 2018, 5, 095007. [Google Scholar] [CrossRef]
- Terán-Escobar, G.; Pampel, J.; Caicedo, J.M.; Lira-Cantú, M. Low-Temperature, Solution-Processed, Layered V2O5 Hydrate as the Hole-Transport Layer for Stable Organic Solar Cells. Energy Environ. Sci. 2013, 6, 3088–3098. [Google Scholar] [CrossRef]
- Choi, S.G.; Seok, H.J.; Rhee, S.; Hahm, D.; Bae, W.K.; Kim, H.K. Magnetron-Sputtered Amorphous V2O5 Hole Injection Layer for High Performance Quantum Dot Light-Emitting Diode. J. Alloys Compd. 2021, 878, 160303. [Google Scholar] [CrossRef]
- Mokrushin, A.S.; Nagornov, I.A.; Simonenko, T.L.; Simonenko, N.P.; Gorobtsov, P.; Khamova, T.V.; Kopitsa, G.P.; Evzrezov, A.N.; Simonenko, E.P.; Sevastyanov, V.G.; et al. Chemoresistive Gas-Sensitive ZnO/Pt Nanocomposites Films Applied by Microplotter Printing with Increased Sensitivity to Benzene and Hydrogen. Mater. Sci. Eng. B 2021, 271, 115233. [Google Scholar] [CrossRef]
- Ambardekar, V.; Bandyopadhyay, P.P.; Majumder, S.B. Understanding on the Ethanol Sensing Mechanism of Atmospheric Plasma Sprayed 25 wt. % WO3−75 wt. % SnO2 Coating. Sens. Actuators B Chem. 2019, 290, 414–425. [Google Scholar] [CrossRef]
- McConnell, C.; Kanakaraj, S.N.; Dugre, J.; Malik, R.; Zhang, G.; Haase, M.R.; Hsieh, Y.Y.; Fang, Y.; Mast, D.; Shanov, V. Hydrogen Sensors Based on Flexible Carbon Nanotube-Palladium Composite Sheets Integrated with Ripstop Fabric. ACS Omega 2020, 5, 487–497. [Google Scholar] [CrossRef] [PubMed]
- Ezhilan, M.; JBB, A.J.; Balaguru Rayappan, J.B. Influence of PVA Templates on the Synthesis of Interconnected and Long-Winded Electrospun V2O5 Nanowires—Acetone Sensor. Mater. Res. Bull. 2021, 139, 111276. [Google Scholar] [CrossRef]
- Tadeo, I.J.; Parasuraman, R.; Umarji, A.M. Highly Sensitive and Selective Ultrasonically Nebulized V2O5 Thin Films towards Ethanol and NO2 Gas Detection. Sens. Actuators B Chem. 2021, 337, 129811. [Google Scholar] [CrossRef]
- Hien, V.X.; Thang, T.M.; Dong, V.T.; Nhat, D.D.; Nghi, N.T.; Phuoc, L.H.; Khoa, C.T.; Vuong, D.D.; Chien, N.D. Synthesis of VO2 Thin Films from Vanadium Powder and Determination of Room-Temperature NH3 Sensing Properties. J. Mater. Sci. Mater. Electron. 2021, 32, 13803–13812. [Google Scholar] [CrossRef]
- Cao, P.J.; Gui, X.G.; Pawar, D.; Han, S.; Xu, W.Y.; Fang, M.; Liu, X.K.; Zeng, Y.X.; Liu, W.J.; Zhu, D.L.; et al. Highly Ordered Mesoporous V2O5 Nanospheres Utilized Chemiresistive Sensors for Selective Detection of Xylene. Mater. Sci. Eng. B 2021, 265, 115031. [Google Scholar] [CrossRef]
- Kim, H.J.; Lee, J.H.; Hyo-Joong, K.; Jong-Heun, L. Highly Sensitive and Selective Gas Sensors Using P-Type Oxide Semiconductors: Overview. Sens. Actuators B Chem. 2014, 192, 607–627. [Google Scholar] [CrossRef]
- Jeong, S.Y.; Kim, J.S.; Lee, J.H. Rational Design of Semiconductor-Based Chemiresistors and Their Libraries for Next-Generation Artificial Olfaction. Adv. Mater. 2020, 32, 2002075. [Google Scholar] [CrossRef]
- Nagaraju, P.; Vijayakumar, Y.; Reddy, M.V.R.; Deshpande, U.P. Effect of Vanadium Pentoxide Concentration in ZnO/V2O5 Nanostructured Composite Thin Films for Toluene Detection. RSC Adv. 2019, 9, 16515–16524. [Google Scholar] [CrossRef]
- Wang, Y.; Gao, R.; Zhao, H.; Li, J.; Zhang, R.; Wang, Y.; Zhou, Y. Oxygen Vacancy-rich ZnO Nanorods-based MEMS Sensors for Swift Trace Ethanol Recognition. J. Am. Ceram. Soc. 2022, 1–12. [Google Scholar] [CrossRef]
- Guo, W.; Zhou, Q.; Zhang, J.; Fu, M.; Radacsi, N.; Li, Y. Hydrothermal Synthesis of Bi-Doped SnO2/RGO Nanocomposites and the Enhanced Gas Sensing Performance to Benzene. Sens. Actuators B Chem. 2019, 299, 126959. [Google Scholar] [CrossRef]
- Kim, J.S.; Na, C.W.; Kwak, C.H.; Li, H.Y.; Yoon, J.W.; Kim, J.H.; Jeong, S.Y.; Lee, J.H. Humidity-Independent Gas Sensors Using Pr-Doped In2O3 Macroporous Spheres: Role of Cyclic Pr3+/Pr4+ Redox Reactions in Suppression of Water-Poisoning Effect. ACS Appl. Mater. Interfaces 2019, 11, 25322–25329. [Google Scholar] [CrossRef] [PubMed]
- Yoon, J.W.; Kim, J.S.; Kim, T.H.; Hong, Y.J.; Kang, Y.C.; Lee, J.H. A New Strategy for Humidity Independent Oxide Chemiresistors: Dynamic Self-Refreshing of In2O3 Sensing Surface Assisted by Layer-by-Layer Coated CeO2 Nanoclusters. Small 2016, 12, 4229–4240. [Google Scholar] [CrossRef] [PubMed]
- Avdeev, V.I.; Tapilin, V.M. Water Effect on the Electronic Structure of Active Sites of Supported Vanadium Oxide Catalyst VOx/TiO2(001). J. Phys. Chem. C 2010, 114, 3609–3613. [Google Scholar] [CrossRef]
- Goodacre, D.; Blum, M.; Buechner, C.; Hoek, H.; Gericke, S.M.; Jovic, V.; Franklin, J.B.; Kittiwatanakul, S.; Söhnel, T.; Bluhm, H.; et al. Water Adsorption on Vanadium Oxide Thin Films in Ambient Relative Humidity. J. Chem. Phys. 2020, 152, 044715. [Google Scholar] [CrossRef] [PubMed]
- Vaishnav, V.S.; Patel, S.G.; Panchal, J.N. Development of ITO Thin Film Sensor for Detection of Benzene. Sens. Actuators B Chem. 2015, 206, 381–388. [Google Scholar] [CrossRef]
- Zhang, D.; Jiang, C.; Zhou, X. Fabrication of Pd-Decorated TiO2/MoS2 Ternary Nanocomposite for Enhanced Benzene Gas Sensing Performance at Room Temperature. Talanta 2018, 182, 324–332. [Google Scholar] [CrossRef]
- Kang, Y.; Kim, K.; Cho, B.; Kwak, Y.; Kim, J. Highly Sensitive Detection of Benzene, Toluene, and Xylene Based on CoPP-Functionalized TiO2 Nanoparticles with Low Power Consumption. ACS Sens. 2020, 5, 754–763. [Google Scholar] [CrossRef]
- Shen, Z.; Zhang, X.; Ma, X.; Mi, R.; Chen, Y.; Ruan, S. The Significant Improvement for BTX (Benzene, Toluene and Xylene) Sensing Performance Based on Au-Decorated Hierarchical ZnO Porous Rose-like Architectures. Sens. Actuators B Chem. 2018, 262, 86–94. [Google Scholar] [CrossRef]
- Cao, J.; Wang, S.; Li, J.; Xing, Y.; Zhao, X.; Li, D. Porous Nanosheets Assembled Co3O4 Hierarchical Architectures for Enhanced BTX (Benzene, Toluene and Xylene) Gas Detection. Sens. Actuators B Chem. 2020, 315, 128120. [Google Scholar] [CrossRef]
- Jonscher, A.K. The “universal” Dielectric Response. Nature 1977, 267, 673–679. [Google Scholar] [CrossRef]
- Khan, S.; Singh, K. Effect of MgO on Structural, Thermal and Conducting Properties of V2-XMgxO5-δ (X = 0.05–0.30) Systems. Ceram. Int. 2019, 45, 695–701. [Google Scholar] [CrossRef]
- Khan, S.; Singh, K. Influence of Al3+ Doping for V5+ on the Structural, Optical, Thermal and Electrical Properties of V2-XAlxO5-δ (X = 0–0.20) Ceramics. Ceram. Int. 2021, 47, 10724–10732. [Google Scholar] [CrossRef]
- Kang, M.; Jung, J.; Lee, S.Y.; Ryu, J.W.; Kim, S.W. Conductivity, Carrier Density, Mobility, Seebeck Coefficient, and Power Factor in V2O5. Thermochim. Acta 2014, 576, 71–74. [Google Scholar] [CrossRef]
- Schneider, K.; Dziubaniuk, M.; Wyrwa, J. Impedance Spectroscopy of Vanadium Pentoxide Thin Films. J. Electron. Mater. 2019, 48, 4085–4091. [Google Scholar] [CrossRef]









| Material | Operating Temperature, °C | C6H6 Concentration, ppm | Response S | Humidity Influence | Reference |
|---|---|---|---|---|---|
| Cr/ITO | 210 | 166 | ~27% | N/A | [85] |
| 4%Pd/TiO2/ MoS2 composite | Room temperature | 50 | 65% | N/A | [86] |
| CoPP-TiO2 1 | 327 | 9 | ~83% | RH↑ => S↓ 2 | [87] |
| ZnO/Au rose-like structures | 206 | 20 | ~94% | N/A | [88] |
| 0.5%Pt/ZnO spheres | 250 | 100 | ~94% | N/A | [69] |
| ZnO/BN | 300 | 100 | ~23% | S changes nonmonotonically | [21] |
| Co3O4 hierarchical structures | 160 | 50 | ~105% | N/A | [89] |
| Bi-SnO/rGO | 150 | 5 | ~98% | RH↑ => S↓ | [80] |
| V2O5 hierarchic structures | 300 | 100 | 38% | Constant S | This work |
Publisher’s Note: MDPI stays neutral with regard to jurisdictional claims in published maps and institutional affiliations. |
© 2022 by the authors. Licensee MDPI, Basel, Switzerland. This article is an open access article distributed under the terms and conditions of the Creative Commons Attribution (CC BY) license (https://creativecommons.org/licenses/by/4.0/).
Share and Cite
Gorobtsov, P.Y.; Mokrushin, A.S.; Simonenko, T.L.; Simonenko, N.P.; Simonenko, E.P.; Kuznetsov, N.T. Microextrusion Printing of Hierarchically Structured Thick V2O5 Film with Independent from Humidity Sensing Response to Benzene. Materials 2022, 15, 7837. https://doi.org/10.3390/ma15217837
Gorobtsov PY, Mokrushin AS, Simonenko TL, Simonenko NP, Simonenko EP, Kuznetsov NT. Microextrusion Printing of Hierarchically Structured Thick V2O5 Film with Independent from Humidity Sensing Response to Benzene. Materials. 2022; 15(21):7837. https://doi.org/10.3390/ma15217837
Chicago/Turabian StyleGorobtsov, Philipp Yu., Artem S. Mokrushin, Tatiana L. Simonenko, Nikolay P. Simonenko, Elizaveta P. Simonenko, and Nikolay T. Kuznetsov. 2022. "Microextrusion Printing of Hierarchically Structured Thick V2O5 Film with Independent from Humidity Sensing Response to Benzene" Materials 15, no. 21: 7837. https://doi.org/10.3390/ma15217837
APA StyleGorobtsov, P. Y., Mokrushin, A. S., Simonenko, T. L., Simonenko, N. P., Simonenko, E. P., & Kuznetsov, N. T. (2022). Microextrusion Printing of Hierarchically Structured Thick V2O5 Film with Independent from Humidity Sensing Response to Benzene. Materials, 15(21), 7837. https://doi.org/10.3390/ma15217837

