High Strain Rate Quasi-Superplasticity Behavior in an Ultralight Mg-9.55Li-2.92Al-0.027Y-0.026Mn Alloy Fabricated by Multidirectional Forging and Asymmetrical Rolling
Abstract
1. Introduction
2. Experimental Procedures
3. Results
3.1. Initial Thermomechanical Processing Microstructures
3.2. High-Temperature Tensile Mechanical Properties and Microstructures
3.2.1. High-Temperature Tensile Mechanical Properties
3.2.2. High-Temperature Tensile Microstructures
3.2.3. Strain Rate Sensitivity Index (m Value)
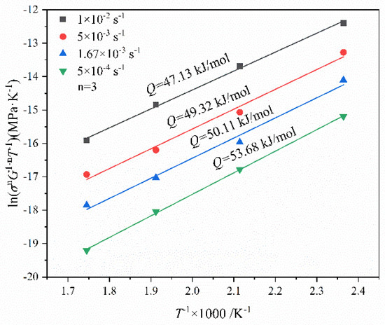
3.3. Establishment of Power-Law Constitutive Equation at Elevated Temperature
4. Discussion
4.1. Analysis of the Processing Principle of Our MDF + Asymmetrical Rolling Approach
4.2. Analysis of Dynamic Grain Coarsening after Tension
4.3. Deformation Mechanism at Elevated Temperatures
5. Conclusions
Author Contributions
Funding
Institutional Review Board Statement
Informed Consent Statement
Data Availability Statement
Conflicts of Interest
References
- Cao, F.R.; Sun, C.F.; Liu, S.Y.; Liang, J.R.; Liu, R.J.; Guo, H.Z.; Guo, N.P. Microstructures, hot tensile deformation behavior and constitutive modeling in a superlight Mg-2.76Li-3Al-2.6Zn-0.39Y alloy. J. Alloys Compd. 2022, 896, 163049. [Google Scholar] [CrossRef]
- Shen, J.J.; Chen, B.; Wan, J.; Shen, J.H.; Li, J.S. Effect of annealing on microstructure and mechanical properties of an Al-Mg-Sc-Zr alloy. Mater. Sci. Eng. A 2022, 838, 142821. [Google Scholar] [CrossRef]
- Shao, B.; Wu, S.F.; Shan, D.B.; Guo, B.; Zong, Y.Y. The effect of thermal cycling process between high and low temperatures on the microstructure and properties of Mg-10Li-3Al-3Zn-0.25Si alloy. Mater. Lett. 2019, 254, 167–170. [Google Scholar] [CrossRef]
- Ma, A.B.; Nishida, Y.; Saito, N.; Shigematsu, I.; Lim, S.W. Movement of alloying elements in Mg-8.5 wt-%Li and AZ91 alloy during tensile tests for superplasticity. Mater. Sci. Technol. 2003, 19, 1642–1647. [Google Scholar] [CrossRef]
- Yoshida, Y.; Yamada, H.; Kamado, S.; Kojima, Y. Tensile properties and occurrence of low temperature superplasticity of ECAE processed Mg-Li-Zn alloys. Keikinzoku 2001, 51, 551–555. [Google Scholar]
- Kawasaki, M.; Kubota, K.; Higashi, K.; Langdon, T.G. Flow and cavitation in a quasi-superplastic two-phase magnesium-lithium alloy. Mater. Sci. Eng. A 2006, 429, 334–340. [Google Scholar] [CrossRef]
- Liu, X.H.; Du, G.J.; Wu, R.Z.; Niu, Z.Y.; Zhang, M.L. Deformation and microstructure evolution of a high strain rate superplastic Mg-Li-Zn alloy. J. Alloys Compd. 2011, 509, 9558–9561. [Google Scholar] [CrossRef]
- Cao, F.R.; Xue, G.Q.; Xu, G.M. Superplasticity of a dual-phase-dominated Mg-Li-Al-Zn-Sr alloy processed by multidirectional forging and rolling. Mater. Sci. Eng. A 2017, 704, 360–374. [Google Scholar] [CrossRef]
- Langdon, T.G. Seventy-five years of superplasticity: Historic developments and new opportunities. J. Mater. Sci. 2009, 44, 5998–6010. [Google Scholar] [CrossRef]
- Valiev, R.Z.; Straumal, B.; Langdon, T.G. Using Severe Plastic Deformation to Produce Nanostructured Materials with Superior Properties. Annu. Rev. Mater. Res. 2022, 52, 357–382. [Google Scholar] [CrossRef]
- Langdon, T.G. Twenty-five years of ultrafine-grained materials: Achieving exceptional properties through grain refinement. Acta Mater. 2013, 61, 7035–7059. [Google Scholar] [CrossRef]
- Furui, M.; Kitamura, H.; Anada, H.; Langdon, T.G. Influence of preliminary extrusion conditions on the superplastic properties of a magnesium alloy processed by ECAP. Acta Mater. 2007, 55, 1083–1091. [Google Scholar] [CrossRef]
- Karami, M.; Mahmudi, R. Shear punch superplasticity in equal-channel angularly pressed Mg-12Li-1Zn alloy. Mater. Sci. Eng. A 2013, 576, 156–159. [Google Scholar] [CrossRef]
- Chen, D.X.; Kong, J.; Gui, Z.Z.; Li, W.; Long, Y.; Kang, Z.X. High-temperature superplastic behavior and ECAP deformation mechanism of two-phase Mg-Li alloy. Mater. Lett. 2021, 301, 130358. [Google Scholar] [CrossRef]
- Matsunoshita, H.; Edalati, K.; Furui, M.; Horita, Z. Ultrafine-grained magnesium-lithium alloy processed by high pressure torsion: Low-temperature superplasticity and potential for hydroforming. Mater. Sci. Eng. A 2015, 640, 443–448. [Google Scholar] [CrossRef]
- Edalati, K.; Masuda, T.; Arita, M.; Furui, M.; Sauvage, X.; Horita, Z.; Valiev, R.Z. Room-temperature superplasticity in an ultrafine-grained magnesium alloy. Sci. Rep. 2017, 7, 2662. [Google Scholar] [CrossRef] [PubMed]
- Liu, F.C.; Tan, M.J.; Liao, J.; Ma, Z.Y.; Meng, Q.; Nakata, K. Microstructural evolution and superplastic behavior in friction stir processed Mg-Li-Al-Zn alloy. J. Mater. Sci. 2013, 48, 8539–8546. [Google Scholar] [CrossRef]
- Zhou, M.R.; Morisada, Y.; Fujii, H.; Wang, J.Y. Pronounced low-temperature superplasticity of friction stir processed Mg–9Li–1Zn alloy. Mater. Sci. Eng. A 2020, 780, 139071. [Google Scholar] [CrossRef]
- Mehrabi, A.; Mahmudi, R.; Miura, H. Superplasticity in a multi-directionally forged Mg–Li–Zn alloy. Mater. Sci. Eng. A 2019, 765, 138274. [Google Scholar] [CrossRef]
- Kim, W.J.; Kim, M.J.; Wang, J.Y. Ultrafine-grained Mg-9Li-1Zn alloy sheets exhibiting low temperature superplasticity. Mater. Sci. Eng. A 2009, 516, 17–22. [Google Scholar] [CrossRef]
- Zhang, T.L.; Tokunaga, T.; Ohno, M.; Wu, R.Z.; Zhang, M.L.; Matsuura, K. Low temperature superplasticity of a dual-phase Mg-Li-Zn alloy processed by a multi-mode deformation process. Mater. Sci. Eng. A 2018, 737, 61–68. [Google Scholar] [CrossRef]
- Cao, F.R.; Sun, C.F.; Shang, H.H.; Xiang, C.; Liu, R.J. Microstructure evolution and mechanical properties in an ultralight Mg-2.76Li–3Al-2.6Zn-0.39Y alloy. Mater. Sci. Eng. A 2021, 822, 141680. [Google Scholar] [CrossRef]
- Langdon, T.G. A unified approach to grain boundary sliding in creep and superplasticity. Acta Metall. Mater. 1994, 42, 2437–2443. [Google Scholar] [CrossRef]
- Kassner, M.E.; Perez-Prado, M.T. Five-power-law creep in single phase metals and alloys. Prog. Mater. Sci. 2000, 45, 1–102. [Google Scholar] [CrossRef]
- Taleff, E.M.; Hector, L.G.; Verma, R.; Krajewski, P.E.; Chang, J.K. Material models for simulation of superplastic Mg alloy sheet forming. J. Mater. Eng. Perform. 2010, 19, 488–494. [Google Scholar] [CrossRef]
- Frost, H.J.; Ashby, M.F. Deformation Mechanism Maps; Pergamon Press: Oxford, UK, 1982; p. 21. [Google Scholar]
- Hamad, K.; Ko, Y.G. Continuous differential speed rolling for grain refinement of Metals: Processing, microstructure; and properties. Crit. Rev. Solid State Mater. Sci. 2019, 44, 470–525. [Google Scholar] [CrossRef]
- Cao, F.; Zhang, J.; Ding, X.; Xue, G.; Liu, S.; Sun, C.; Su, R.; Teng, X. Mechanical properties and microstructural evolution in a superlight Mg-6.4Li-3.6Zn-0.37Al-0.36Y alloy processed by multidirectional forging and rolling. Mater. Sci. Eng. A 2019, 760, 377–393. [Google Scholar] [CrossRef]
- Roy, I.; Chauhan, M.; Mohamed, F.A.; Lavernia, E.J. Thermal stability in bulk cryomilled ultrafine-grained 5083 Al alloy. Metall. Mater. Trans. A 2006, 37, 721–730. [Google Scholar] [CrossRef]
- Najafkhani, F.; Kheiri, S.; Pourbahari, B.; Mirzadeh, H. Recent advances in the kinetics of normal/abnormal grain growth: A review. Arch. Civ. Mech. Eng. 2021, 21, 29. [Google Scholar] [CrossRef]
- Bednarczyk, W.; Kawałko, J.; Rutkowski, B.; Wątroba, M.; Gao, N.; Starink, M.J.; Bała, P.; Langdon, T.G. Abnormal grain growth in a Zn-0.8Ag alloy after processing by high-pressure torsion. Acta Mater. 2021, 207, 116667. [Google Scholar] [CrossRef]
- Rofman, O.V. Deformation-induced changes in single-phase Al-0.1Mg alloy. Philos. Mag. 2018, 98, 2120–2134. [Google Scholar] [CrossRef]
- Dennis, J.; Bate, P.S.; Humphreys, F.J. Abnormal grain growth in Al-3.5Cu. Acta Mater. 2009, 57, 4539–4547. [Google Scholar] [CrossRef]
- Chuvildeev, V.N.; Gryaznov, M.Y.; Shotin, S.V.; Kopylov, V.I.; Nokhrin, A.V.; Likhnitskii, C.V.; Murashov, A.A.; Bobrov, A.A.; Tabachkova, N.Y.; Pirozhnikova, O.E. Investigation of superplasticity and dynamic grain growth in ultrafine-grained Al-0.5%Mg-Sc alloys. J. Alloys Compd. 2021, 877, 160099. [Google Scholar] [CrossRef]
- Cao, F.R.; Ding, X.; Xiang, C.; Shang, H.H. Flow stress, microstructural evolution and constitutive analysis during high-temperature deformation in an Mg-4.4Li-2.5Zn-0.46Al-0.74Y Alloy. Acta Metall. Sin. 2021, 57, 860–870. [Google Scholar]
- Cao, F.R.; Ding, H.; Li, Y.L.; Zhou, G.; Cui, J.Z. Superplasticity, dynamic grain growth and deformation mechanism in ultralight two-phase magnesium-lithium alloys. Mater. Sci. Eng. A 2010, 527, 2335–2341. [Google Scholar] [CrossRef]
- Jin, H.; Amirkhiz, B.S.; Lloyd, D.J. Improvement of superplasticity in high-Mg aluminum alloys by sacrifice of some room temperature formability. Metall. Mater. Trans. A 2018, 49, 1962–1979. [Google Scholar] [CrossRef]
- Kim, W.J.; Lee, B.H.; Lee, J.B.; Lee, M.J.; Park, Y.B. Synthesis of high-strain-rate superplastic magnesium alloy sheets using a high-ratio differential speed rolling technique. Scr. Mater. 2010, 63, 772–775. [Google Scholar] [CrossRef]
- Figueiredo, R.B.; Langdon, T.G. Factors influencing superplastic behavior in a magnesium ZK60 alloy processed by equal-channel angular pressing. Mater. Sci. Eng. A 2009, 503, 141–144. [Google Scholar] [CrossRef]
- Dutkiewicz, J.; Kalita, D.; Maziarz, W.; Faryna, M. Superplastic deformation of Mg-9Li-2Al-0.5Sc alloy after grain refinement by KoBo extrusion and cyclic forging. Arch. Civ. Mech. Eng. 2020, 20, 121. [Google Scholar] [CrossRef]
- Nayeb-Hashemi, A.A.; Clark, J.B.; Pelton, A.D. The Li-Mg (Lithium-Magnesium) system. Bull. Alloy Phase Diagr. 1984, 5, 365–374. [Google Scholar] [CrossRef]
- Ruano, O.A.; Wasworth, J.; Sherby, O.D. Deformation mechanisms in an austenitic stainless steel (25Cr-20Ni) at elevated temperature. J. Mater. Sci. 1985, 20, 3735–3744. [Google Scholar] [CrossRef]
- Taleff, E.M.; Ruano, O.A.; Sherby, O.D. Superplastic behavior of a fine-grained Mg-9Li materials at low homologous temperature. J. Mater. Res. 1992, 7, 2131–2135. [Google Scholar] [CrossRef]
- Yavari, P.; Langdon, T.G. An examination of the breakdown in creep by viscous glide in solid solution alloys at high stress levels. Acta Metall. 1982, 30, 2181–2196. [Google Scholar] [CrossRef]
- Balasubramanian, N.; Langdon, T.G. An analysis of superplastic flow after processing by ECAP. Mater. Sci. Eng. A 2005, 410, 476–479. [Google Scholar] [CrossRef]
- Li, Y.; Langdon, T.G. Creep behavior of a reinforced Al-7005 alloy: Implications for the creep processes in metal matrix composites. Acta Mater. 1998, 46, 1143–1155. [Google Scholar] [CrossRef]
- Sherby, O.D.; Wadsworth, J. Superplasticity-recent advances and future directions. Prog. Mater. Sci. 1989, 33, 169–221. [Google Scholar] [CrossRef]
- Ruano, O.A.; Alvarez-Leal, M.; Orozco-Caballero, A.; Carreno, F. Large elongations in WE54 magnesium alloy by solute-drag creep controlling the deformation behavior. Mater. Sci. Eng. A 2020, 791, 139757. [Google Scholar] [CrossRef]
- Yamazaki, S.; Sawa, S.; Watanabe, C.; Monzen, R.; Aoba, T.; Miura, H. Temperature-dependent deformation behavior of Al-Mg-Sc alloys fabricated by multi-directional forging at room temperature. Mater. Trans. 2020, 84, 208–215. [Google Scholar] [CrossRef]
- Caceres, C.H.; Lukac, P. Strain hardening behaviour and the Taylor factor of pure Mg. Philos. Mag. 2008, 88, 977–989. [Google Scholar] [CrossRef]
- Soula, A.; Couzinié, J.P.; Heni, H.; Bourgon, J.; Champion, Y.; Njah, N. Activation volume and the role of solute atoms in Al-Mg-Si alloy processed by equal channel angular extrusion. J. Alloys Compd. 2022, 899, 163334. [Google Scholar] [CrossRef]
- Cao, F.R.; Xia, F.; Xue, G.Q. Hot tensile deformation behavior and microstructural evolution of a Mg-9.3Li-1.79Al-1.61Zn alloy. Mater. Des. 2016, 92, 44–57. [Google Scholar] [CrossRef]
- Cao, F.R.; Yin, B.; Liu, S.Y.; Shi, L.; Wang, S.C.; Wen, J.L. Microstructural evolution, flow stress and constitutive modeling of a novel Al-1.88Mg-0.18Sc-0.084Er alloy during hot compression. Trans. Nonferrous Metal Soc. China 2021, 31, 53–73. [Google Scholar] [CrossRef]










| T (K) | Dp (m2/s) | Qp (kJ/mol) | Dl (m2/s) | Ql (kJ/mol) |
|---|---|---|---|---|
| 423 | 3.57 × 10−13 | 68.405 | 7.5 × 10−18 | 106.283 |
| 473 | 2.79 × 10−12 | 68.405 | 1.7 × 10−16 | 106.573 |
| 523 | 1.47 × 10−11 | 68.410 | 2.0 × 10−15 | 107.120 |
| 573 | 5.79 × 10−11 | 68.419 | 1.6 × 10−14 | 107.454 |
Publisher’s Note: MDPI stays neutral with regard to jurisdictional claims in published maps and institutional affiliations. |
© 2022 by the authors. Licensee MDPI, Basel, Switzerland. This article is an open access article distributed under the terms and conditions of the Creative Commons Attribution (CC BY) license (https://creativecommons.org/licenses/by/4.0/).
Share and Cite
Cao, F.; Shang, H.; Guo, N.; Kong, S.; Liu, R. High Strain Rate Quasi-Superplasticity Behavior in an Ultralight Mg-9.55Li-2.92Al-0.027Y-0.026Mn Alloy Fabricated by Multidirectional Forging and Asymmetrical Rolling. Materials 2022, 15, 7539. https://doi.org/10.3390/ma15217539
Cao F, Shang H, Guo N, Kong S, Liu R. High Strain Rate Quasi-Superplasticity Behavior in an Ultralight Mg-9.55Li-2.92Al-0.027Y-0.026Mn Alloy Fabricated by Multidirectional Forging and Asymmetrical Rolling. Materials. 2022; 15(21):7539. https://doi.org/10.3390/ma15217539
Chicago/Turabian StyleCao, Furong, Huihui Shang, Nanpan Guo, Shuting Kong, and Renjie Liu. 2022. "High Strain Rate Quasi-Superplasticity Behavior in an Ultralight Mg-9.55Li-2.92Al-0.027Y-0.026Mn Alloy Fabricated by Multidirectional Forging and Asymmetrical Rolling" Materials 15, no. 21: 7539. https://doi.org/10.3390/ma15217539
APA StyleCao, F., Shang, H., Guo, N., Kong, S., & Liu, R. (2022). High Strain Rate Quasi-Superplasticity Behavior in an Ultralight Mg-9.55Li-2.92Al-0.027Y-0.026Mn Alloy Fabricated by Multidirectional Forging and Asymmetrical Rolling. Materials, 15(21), 7539. https://doi.org/10.3390/ma15217539

