Abstract
Corrosion of steel-reinforced concrete exposed to marine environments could lead to structural catastrophic failure in service. Hence, the construction industry is seeking novel corrosion preventive methods that are effective, cheap, and non-toxic. In this regard, the inhibitive properties of sodium phosphate (Na3PO4) corrosion inhibitor have been investigated for carbon steel reinforcements in 0.6 M Cl− contaminated simulated concrete pore solution (SCPS). Different electrochemical testing has been utilized including potentiodynamic polarization, electrochemical impedance spectroscopy (EIS), and Mott-Schottky plots to test Na3PO4 at different concentrations: 0.05, 0.1, 0.3, and 0.6 M. It was found that Na3PO4 adsorbs on the surface through a combined physicochemical adsorption process, thus creating insoluble protective ferric phosphate film (FePO4) and achieving an inhibition efficiency (IE) up to 91.7%. The formation of FePO4 was elucidated by means of Fourier-transform infrared spectroscopy (FT–IR) and X-ray photoelectron spectroscopy (XPS). Quantum chemical parameters using density functional theory (DFT) were obtained to further understand the chemical interactions at the interface. It was found that PO43− ions have a low energy gap (ΔEgap), hence facilitating their adsorption. Additionally, Mulliken population analysis showed that the oxygen atoms present in PO43− are strong nucleophiles, thus acting as adsorption sites.
1. Introduction
Carbon steel rebars are often embedded in concrete structures to increase its tensile strength, which in turn enhances the structure durability and integrity. However, steel reinforcements may suffer degradation in the form of corrosion if exposed to a harsh marine environment, thus decreasing its service life. Cl− ions ingress into the concrete matrix, and once above a critical concentration threshold, an autocatalytic acid hydrolysis reaction (see Equation (1)) will initiate causing a local pH drop, thus breaking down the passive film and initiating corrosion [1,2]. Consequently, oxyhydroxides will start forming on the surface of the rebar, increasing the crystallization pressure, and compromising the integrity of the concrete structure [3]. Different corrosion protection methods have been introduced to protect against corrosion in reinforced concrete; these include coatings, cathodic protection, the use of stainless steel rebars, and corrosion inhibitors. However, according to the literature, corrosion inhibitors are regarded as the most effective, economical, and easy to apply corrosion protective method [4,5].
One of the most popular corrosion inhibitors, particularly for reinforced concrete, are nitrites (NO2−), which are anodic corrosion inhibitors that oxidize ferrous ions forming a stable passive oxide film made up of maghemite (Fe2O3) and lepidocrocite (γ–FeOOH) [5,6]. However, recently NO2− application has been limited in use due to ecological and environmental issues [5,7]. Some other alternatives include phosphate corrosion inhibitors as they are environmentally friendly [4]. The inhibitive property of phosphate compounds arises from their ability to react with the iron ions generated in the corrosion process, as well as with ionic species present in the mortar, such as Ca2+, which yields Ca3(PO4)2 precipitates, filling the pores and cracks of the mortar, thus hindering the diffusion of aggressive ions (i.e., Cl−) [8]. Bastidas et al. tested three phosphate-based corrosion inhibitors (Na3PO4, Na2HPO4, and Na2PO3F) on carbon-steel-reinforced ordinary Portland cement mortar matrices. It was concluded that the three phosphates acted as effective anodic corrosion inhibitors forming a protective FePO4 compact layer [4].
Similarly, the inhibition mechanism of phosphates in simulated concrete pore solution (SCPS) is due to the incorporation of phosphate ions in the corrosion oxide layer, thus forming a stable passive film made up of iron phosphate [8,9]. A study investigated the inhibition performance of Na3PO4 in SCPS at different inhibitor-to-chloride ratios, 0.2 and 0.6 [9]. It was concluded that after 90 days, high concentrations of phosphates were able to mitigate pitting, while low concentrations just delayed the initiation of the localized attack [9]. Moreover, it was concluded that Na3PO4 acted as a mixed corrosion inhibitor, forming a stable double-layered structured passive oxide/phosphate film [9]. In another study, phosphate-based corrosion inhibitors were classified as cathodic, as it was found that it precipitates on cathodic sites of the working electrode [10]. One hypothesis could be that at a low inhibitor-to-chloride ratio, phosphates act as a cathodic corrosion inhibitor, while at high ratios it acts as a mixed one [10]. As it can be seen, there are contradicting opinions in the literature on the classification of phosphate corrosion inhibitors and their inhibition mechanism.
The use of quantum computational chemistry by applying density functional theory (DFT) can help to understand and articulate the inhibition mechanism of different corrosion inhibitors [11]. DFT analysis provides correlation between the effect of molecular structure on the inhibition and the adsorption process, which include the effect of electronic configuration, π-bonds, heteroatoms, and heterocycles [12]. Usually, the frontier molecular orbitals, dipole moments, Mulliken population analysis, and other quantum chemical properties contribute towards identifying the active reaction sites of a corrosion inhibitor [11]. Consequently, DFT calculations will be utilized to elucidate the physicochemical mechanism and reactivity of Na3PO4.
In this work, the corrosion inhibition mechanism of Na3PO4 in 0.6 M Cl− SCPS will be investigated by means of electrochemical testing using potentiodynamic polarization (PDP), electrochemical impedance spectroscopy (EIS), and Mott-Schottky plots to study the semiconductive properties of the passive film. Four different concentrations of Na3PO4 will be tested to understand its effect and find the adsorption isotherm occurring at the interface. Additionally, density functional theory (DFT) modeling will be used to elucidate quantum chemical properties and correlate them to the inhibition performance of Na3PO4 corrosion inhibitor. Optical microscopy (OM), infinite focus microscopy (IFM), Fourier-transform infrared spectroscopy (FT–IR), and X-ray photoelectron spectroscopy (XPS) will be used to comprehensively analyze the surface of carbon steel samples in the presence of Na3PO4 to unravel and confirm its inhibition mechanism.
2. Materials and Methods
Carbon steel samples were used as the working electrode for electrochemical testing in this study, having an exposed surface area of 6 cm2. An electrical connection was established by attaching a copper wire to the surface. The samples were degreased, washed, and cleaned with deionized water, ethanol, and acetone to remove any surface contaminants. The elemental composition of the carbon steel samples can be seen in Table 1.
Table 1.
Elemental composition of carbon steel samples used for electrochemical testing (wt.%).
Electrochemical tests were carried out in an SCPS prepared by filtering a saturated calcium hydroxide (Ca(OH)2) solution. Accordingly, 0.6 M Cl− were added by means of NaCl to mimic concrete structures exposed to harsh marine environments [12]. The pH of the solution was measured at room temperature and found to be 12.6. Different concentrations of Na3PO4 corrosion inhibitor were added to test its inhibition efficiency (IE): 0.05, 0.1, 0.3, and 0.6 M Na3PO4. All solutions were prepared from analytical grade reagents and deionized water.
Several electrochemical measurements including PDP, EIS, and Mott–Schottky were conducted using a Gamry series 600 potentiostat with a temperature-controlled three-electrode configuration setup. The working electrode (WE) was a carbon steel sample, the counter electrode (CE) was a platinum mesh, and the reference electrode (RE) was a Ag/AgCl (SSC) electrode. The electrochemical test setup can be seen in Figure 1.
Figure 1.
Schematic of the three-electrode configuration electrochemical cell setup of carbon steel in 0.6 M Cl− SCPS with the dissociated PO43− corrosion inhibitor.
Initially, an open circuit potential (OCP) was monitored until a steady-state value was achieved. After this, an EIS analysis was conducted at the OCP in the frequency range between 105 and 10−2 Hz with a 10 mV AC excitation signal at the rate of 5 steps/decade, following the ASTM G106-89 standard [13]. Consequently, a PDP was performed in the scan range from −200 mVOCP to 200 mVOCP in accordance with ASTM G61-86 [14]. Furthermore, to evaluate the semiconductive properties of the passive film formed on Na3PO4 inhibited carbon steel samples, a Mott–Schottky analysis was performed from −400 mVSCC to +500 mVSCC using a potential step of 25 mV. Finally, the adsorption isotherm of Na3PO4 corrosion inhibitor was identified by correlating the IE to the corrosion inhibitor concentration. It should be noted that all electrochemical tests were performed in triplicates to ensure reproducibility.
Different surface characterization techniques were utilized to elucidate and understand the adsorption of Na3PO4 on carbon steel electrodes, these include OM, IFM, FTIR, and XPS. The surface of the carbon steel sample after electrochemical testing was investigated by OM using a Nikon eclipse MA 100 metallographic microscope. Furthermore, an IFM analysis was performed by means of an Alicona Infinite Focus G5 Microscope to analyze the surface topology of the uninhibited (i.e., blank) and Na3PO4 inhibited carbon steel samples. The FTIR surface characterization was performed on the tested carbon steel samples using a PerkinElmer Fourier transform infrared spectrometer. Finally, the XPS analysis was performed using a PHI 5000 VersaProbe II X-ray photoelectron spectrometer with a take-off angle of 45°, voltage excitation signal of 15 kV, residual pressure less than 10−6 Pa, and a power of 25 W. Surface contaminants were removed, up to 2 nm, using an Ar ion bombardment and the calibration process was performed on a Ag substrate, using separate measurements for the Ag 3d5/2 peak found at 368.3 eV. The high-resolution XPS peaks were fitted using a Gaussian-Lorentzian function.
Quantum chemical properties were calculated using DFT, which was performed using Spartan version 8.0 software. The molecule geometry was fully optimized employing a B3LYP functional, and using a 6–31G (d,p) basis set to determine the energy of the highest occupied energy molecular orbital (EHOMO), energy of the lowest occupied energy molecular orbital (ELUMO), energy gap (ΔEgap), dipole moment (µD), electrostatic potential mapping, and Mulliken charges.
3. Results and Discussion
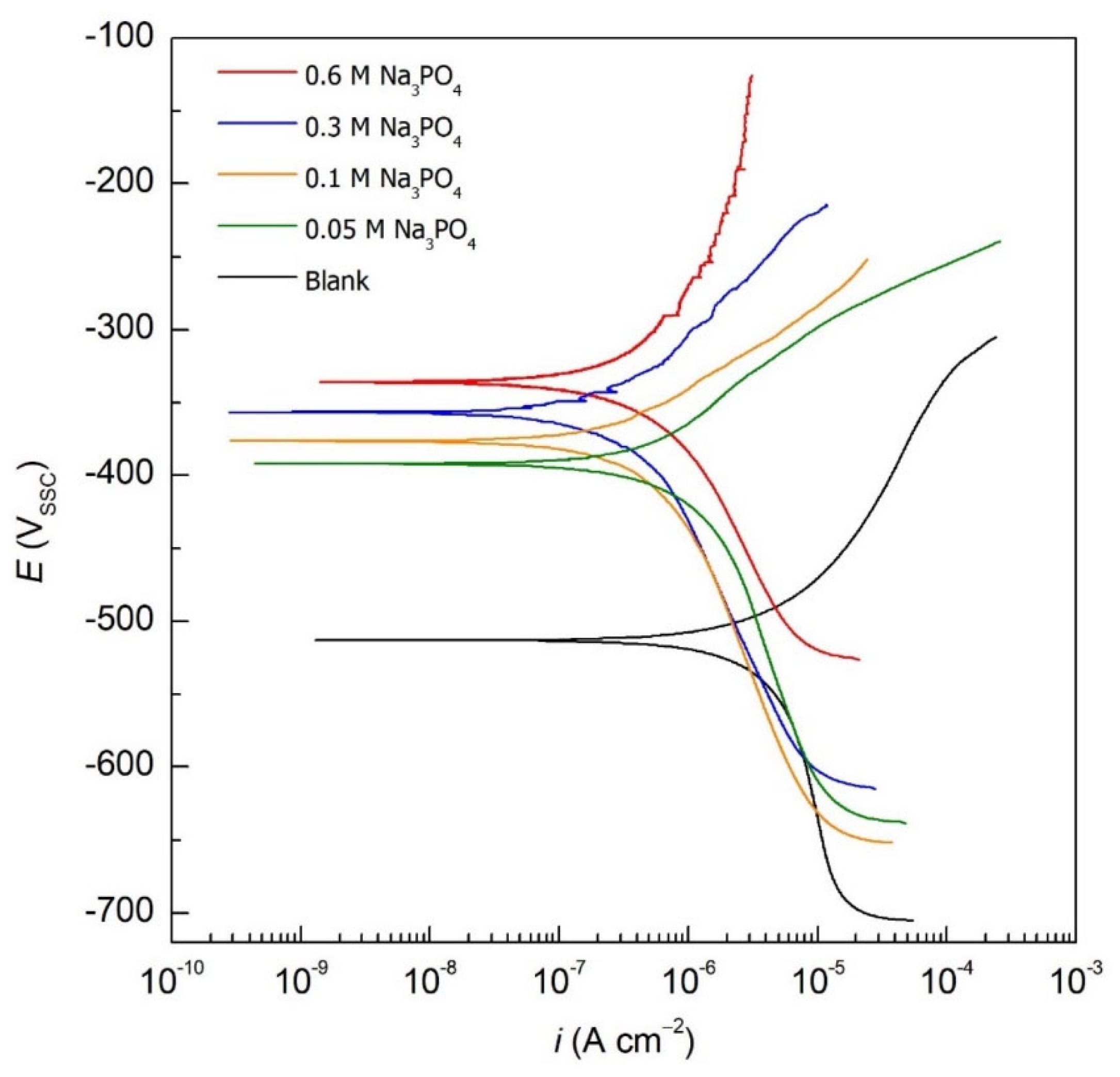
Figure 2 illustrates the PDP curves of the blank and different concentrations of Na3PO4 inhibited carbon steel samples in 0.6 M Cl− contaminated SCPS at 25 °C. The electrochemical corrosion kinetics were obtained by extrapolating the linear Tafel segment of the anodic and cathodic branches of the PDP curves. Such parameters are presented in Table 2 and include corrosion potential (Ecorr), corrosion current density (icorr), and anodic (βa) and cathodic (βc) Tafel slopes. The IE and surface coverage (θ) are also presented in Table 2 and calculated using Equations (2) and (3):
where icorr and icorr,b are the corrosion current densities of the inhibited and blank carbon steel samples, respectively. As seen in Table 2, Na3PO4 imparts an anodic corrosion inhibition mechanism, thus showing an ennoblement of the Ecorr values from −514 mVSSC up to −390, −341, −378, and −371 mVSSC for 0.05, 0.1, 0.3, and 0.6 M Na3PO4, respectively. This indicates that the iron dissolution half-reaction (anodic reaction) is being inhibited by Na3PO4 by forming a protective barrier layer that hinders corrosion. This anodic inhibition mechanism can be further evidenced by the significant change in the βa of the Na3PO4 inhibited samples relative to the blank. The presence of Na3PO4 was able to decrease the icorr at every concentration achieving an IE of 80.8, 87.5, 90.4, bs 91.7% for 0.05, 0.1, 0.3, and 0.6 M Na3PO4 inhibited samples, respectively. This great anticorrosion performance is attributed to the ability of phosphates to compete with Cl−, reacting with Fe ions forming stable insoluble compounds, hence protecting the surface of the working electrode [9]. The presence of Na3PO4 allows the formation of a 3D double-layered surface passive film layer made up of iron oxides and insoluble iron phosphate (FePO4)—a characteristic of interphase corrosion inhibition [15,16]. Increased concentrations of Na3PO4 allow a compact passive film to be developed, hence achieving better corrosion inhibition performance, as seen in Table 2.
Figure 2.
PDP curves for carbon steel samples in the absence and presence of different concentrations of Na3PO4 in 0.6 M Cl− SCPS at 25 °C.
Table 2.
PDP curves electrochemical parameters for carbon steel samples in the presence and absence of different concentrations of Na3PO4 at 25 °C in 0.6 M Cl− SCPS.
EIS electrochemical testing was performed to understand the film formation and interphase inhibition of Na3PO4 at the electrode/electrolyte interface. After recording the EIS plots, the validity and robustness of the EIS data was evaluated by using the Kramers−Kronig (KK) transforms, defined in Equations (4) and (5) [7]:
where Zreal, Zimg, ω, and x are the real impedance, imaginary impedance, frequency of the transform, and frequency of integration, respectively [17,18]. From the experimental and calculated impedance data values, the validity and robustness of the EIS can be verified. Figure 3 shows that the KK transforms for the 0.6 M Na3PO4 inhibited carbon steel sample in 0.6 M Cl− SCPS at 25 °C, where the experimental data are denoted as symbols, and the calculated ones with crosses. The consistency between calculated and experimental EIS data shows the robustness of the obtained experimental results.
Figure 3.
Kramers-Kronig (KK) transforms of 0.6 M Na3PO4 inhibited carbon steel sample in 0.6 M Cl− SCPS at 25 °C.
The EIS results were fitted to an electrical equivalent circuit (EEC), as seen in Figure 4, showing a hierarchy-distributed circuit where Rs, Rfilm, and Rct are the solution, passive film, and charge transfer resistances, respectively. Two-time constants were added (R−CPE) indicating two relaxation processes where one constant phase element (CPE) corresponds to the passive film formed (intermediate frequencies) and the other to the electrochemical double layer interface (low frequencies).
Figure 4.
Electrical equivalent circuit (EEC) used to fit EIS data.
As seen in Figure 5, a sound agreement was established between the proposed EEC and EIS experimental data having a low chi-squared value of 10−4 and a percentage error of each electrochemical parameter below 10%. Table 3 shows all the fitted data, where Yfilm, Ydl, nfilm, and ndl are the admittance for the passive film, the admittance for the double layer, the CPE exponent of the film layer, and the CPE exponent of the double layer, respectively. The values of nfilm or ndl can range from 0 to 1, where 1 indicate an ideal capacitor, 0 an ideal resistor, and n < 1 a behavior associated with surface heterogeneity and defects [19].
Figure 5.
Nyquist plots for carbon steel samples in the absence and presence of different concentrations of Na3PO4 in 0.6 M Cl− SCPS at 25 °C.
Table 3.
EIS fitting data results for carbon steel samples in the absence and presence of different concentrations of Na3PO4 in 0.6 M Cl− SCPS at 25 °C.
The Rs for the inhibited and blank samples are relatively similar, ranging from 5.98 to 8.89 Ω cm2. The Rfilm, on the other hand, increases with the increasing concentrations of Na3PO4 reaching an order of magnitude greater for the 0.1, 0.3, and 0.6 M Na3PO4 inhibited carbon steel samples. This indicates the formation of a protective compact passive film formed by ferrous and ferric phosphate compounds, Fe3(PO4)2 and FePO4, respectively [9,20]. This protective passive film effect can also be seen in the change of the Rct, where Na3PO4 inhibited samples exhibited an order of magnitude increase, relative to the blank, at all concentrations achieving an IE of 68.6, 77.6, 85.4, and 88.6% for 0.05, 0.1, 0.3, and 0.6 M Na3PO4, respectively, corroborating the PDP results. An increased Rct indicates a hindered charge transfer process between the electrode/electrolyte interface due to the formation of the protective passive film [7,20].
The effective capacitance of the electrochemical double layer (Ceff,dl) and passive film (Ceff,film) were calculated for the blank and Na3PO4 inhibited samples using the equations provided by Brug et al. and Mansfeld et al., respectively (Equations (6) and (7)) [21,22]. Additionally, the effective passive film thickness (deff,film) was calculated using Equation (8) [21,23].
where ωm″ corresponds to the frequency where the maximum imaginary impedance value is achieved, εfilm is the dielectric constant of the oxide film (a value of 30 was used [24]), and εo is the vacuum permittivity (8.85 ×10−14 F cm−1).
Table 4 shows all the quantitative values of Ceff,dl, Ceff,film, and deff,film for the blank and Na3PO4 inhibited carbon steel samples in 0.6 M Cl− contaminated SCPS at 25 °C. Ceff,dl decreased in the presence of Na3PO4 corrosion inhibitor relative to the blank at every concentration reaching an order of magnitude lower for the 0.1, 0.3, and 0.6 M Na3PO4 inhibited samples. The decrease in the Ceff,dl is due to the dielectric constant of water molecule being larger than that of the corrosion inhibitor. In the presence of Na3PO4, the water molecules at the metal/electrolyte interface will be replaced by the dissociated phosphate ions having a lower dielectric constant and thus a lower Ceff,dl [25]. Figure 6a shows the change in Rct and Ceff,dl for the blank and Na3PO4 inhibited samples, where the variations between them are in sound agreement showing that the highest achieved Rct corresponds to the lowest Ceff,dl, thus suggesting the formation of a stable and protective passive film [26,27].
Table 4.
The Ceff,dl, Ceff,film, and deff,film for blank and Na3PO4 inhibited carbons steel samples at different concentrations in 0.6 M Cl− SCPS at 25 °C.
Figure 6.
Electrochemical parameters obtained using EIS analysis for the blank and Na3PO4 inhibited carbon steel sample in 0.6 M Cl− contaminated SCPS at 25 °C: (a) electrochemical double layer charge transfer resistance (Rct) and effective capacitance(Ceff,dl), and (b) passive oxide film effective capacitance (Ceff,film) and film thickness (deff,film).
Figure 6b illustrates the variation between the Ceff,film and deff,film for the blank and Na3PO4 in 0.6 M Cl− contaminated SCPS at 25 °C. The Ceff,film increased with increasing concentrations of Na3PO4, hence producing a thinner passive film; a characteristic attributed to the nature of interphase corrosion inhibitors producing a more compact 3D interphase passive film (i.e., ferric phosphate) [15,28,29]. This is in accordance to previously reported results found in the literature, hence corroborating electrochemical results [9,30]. However, to further understand this interphase inhibitive mechanism of Na3PO4, the semiconducting properties of the film needs be to be analyzed and studied using Mott−Schottky plots.
Figure 7 shows the Mott−Schottky plots of the blank and 0.6 M Na3PO4 carbon steel inhibited samples in 0.6 M Cl− contaminated SCPS at 25 °C, relating the space charge capacitance (C) to the applied potential (E). Nd, the number of donor defects, is related to the number of point defects (either metal interstitials and/or oxygen vacancies) present in the passive film and can be determined using Equations 9 and 10 [20,31,32]:
where q denotes the charge of electron (1.602 ×10−19 C), T is the absolute temperature, k is the Boltzmann constant (1.38 ×10−23 J K−1), EFB is the flat band potential, and m is the slope of the Mott–Schottky curve.
Figure 7.
Mott−Schottky plots for the blank and 0.6 M Na3PO4 inhibited carbon steel sample in 0.6 M Cl− contaminated SCPS at 25 °C.
The positive slopes observed in Figure 7 are indications of the n-type semiconductor behavior of carbon steel, suggesting an electron donor carrier in the space charge between the oxide film and the electrolyte interface [33,34]. The Nd of the blank and 0.6 M Na3PO4 inhibited samples, calculated using Equation (10), was found to be 4.20 ×1017 cm−3 and 2.82 ×1017 cm−3, respectively. The blank showed a higher Nd indicating an increased number of defects in the passive film, thus allowing the adsorption of Cl− ions on the surface and initiating corrosion [35]. In contrast, Na3PO4 was able to lower the number of defects (Nd = 2.82 ×1017 cm−3) creating a more orderly and compact passive film protecting the sample from the corrosive environment. This behavior is consistent with the Rfilm found in the EIS fitting, since increased concentrations of Na3PO4 produced higher Rfilm compared to the blank. Therefore, it shows the inhibitive properties of Na3PO4 in producing an orderly, compact, and protective passive film made up of insoluble phosphate compounds. To better understand this adsorption process and inhibition mechanism, the adsorption isotherms of Na3PO4 have been studied.
Adsorption isotherms provide insights into the physicochemical interactions between the adsorbed corrosion inhibitor and the metal substrate at the interface level by studying the adsorption equilibrium constant (Kads) and Gibbs free energy of adsorption (ΔG°ads) through correlating the surface coverage (θ) to the concentration of the adsorbed species [36,37]. The adsorption of Na3PO4 will be studied utilizing the PDP results found in Table 2. Different adsorption isotherms have been tested including Langmuir, Temkin, Freundlich, Frumkin, and El-Awady; the best fit was obtained through the Langmuir adsorption isotherm, as seen in Table 5 [37].
Table 5.
Adsorption isotherms used along with their regression coefficient [37].
Figure 8 shows the Langmuir adsorption isotherm of Na3PO4 in 0.6 M Cl− SCPS at 25 °C having a correlation coefficient of 0.999, indicating that the adsorption of Na3PO4 follows the Langmuir model. Accordingly, the Kads was obtained from the y-intercept and calculated to be 131 M−1, while ΔG°ads was calculated using Equation (11) [38]:
where R is the universal gas constant and 55.5 is the molar concentration of water. The calculated ΔG°ads was found to be −22 kJ/mol and can used as a criterion to classify the mode of adsorption. According to the literature, a ΔG°ads lower than −20 kJ/mol signifies a physisorption process where the inhibitor adsorbs on the surface of the substrate though electrostatic interactions [39,40,41]. In contrast, a ΔG°ads less than −40 kJ/mol signifies a chemisorption process where the inhibitor adsorbs through electron transfer and creating a feedback bond with the metal atom [39,40,41]. A −40 kJ/mol < ΔG°ads < −20 kJ/mol indicates a mixed adsorption mechanism of simultaneous chemical and physical adsorption [39,40,41]. Accordingly, the adsorption of Na3PO4 is a spontaneous mixed mechanism where both electrostatic interaction and electron transfer occur during the inhibition process. The electrostatic interaction origins from the near surface oxygen vacancies attracting the dissociated phosphate ions. Consequently, the chemical interaction happens during the electron transfer to the unoccupied d−orbitals of the metal cation at the surface of the working electrode, creating the insoluble phosphate compound film.
Figure 8.
Langmuir adsorption isotherm for Na3PO4 in 0.6 M Cl− contaminated SCPS at 25 °C.
The inhibition mechanism of Na3PO4 arises from its ability to dissociate into PO43− ions, competing with Cl− and adsorbing physically and chemically forming insoluble iron phosphate compounds on the surface, Fe3(PO4)2 and FePO4 [8,9,10]. The presence of Na3PO4 initiates the precipitation of ferrous phosphate through a dissolution precipitation mechanism shown in Equation (12) [9]:
The PO43− ions will adsorb on the surface of the working electrode creating a double-layered structure, where the inner layer will be made up of Fe3O4 and/or Fe2O3, while the outer one will be Fe3(PO4)2 which will gradually oxidize to form FePO4 [8,9]. The formation of this protective ferric phosphate is thermodynamically favored over the formation of iron chloride (FeCl2 and FeCl3), thus creating a protective, stable, and compact passive film [4,8]. The different chemical reactions of iron phosphate and iron chloride, along with their Gibbs free energy of formation (ΔG°f) are presented in the following Equations (13)–(16) [4,8]:
This inhibitive property of Na3PO4 can be observed by OM micrographs of carbon steel samples in the presence and absence of 0.6 M Na3PO4 in 0.6 M Cl− SCPS at 25 °C (see Figure 9). The blank showed extensive corrosion products due to Cl− attacks, thus breaking down the passive film and creating iron oxy/hydroxides. In contrast, the 0.6 M Na3PO4 inhibited carbon steel sample shows clear indications of ferric phosphate created by the dissolution precipitation mechanism, mentioned previously [9]. The formed passive film was able to protect the working electrode from the Cl− attacks, thus hindering the iron acid hydrolysis reaction (see Equation (1)) and preventing the initiation of the corrosion process. It should be noted that PO43− can also react with Ca(OH)2 in the SCPS forming the low soluble Ca3(PO4)2 precipitate [42].
Figure 9.
Optical microscope (OM) micrograph for the (a) blank, and (b) 0.6 M Na3PO4 inhibited carbon steel sample in 0.6 M Cl− SCPS at 25 °C.
IFM surface analysis can be seen in Figure 10 for the carbon steel samples in 0.6 M Cl− SCPS in the absence and presence of 0.6 M Na3PO4 at 25 °C after electrochemical testing. The blank exhibits a rough surface reaching heights of 30 µm, signifying the buildup of corrosion products; also, a max of 10 µm depth was observed which is attributed to the extensive dissolution process of the carbon steel sample in this aggressive environment. In contrast, the 0.6 M Na3PO4 exhibits a smoother surface due to the formation of the compact ferric phosphate film; some peaks are observed reaching up to 7 µm due to the dissolution precipitation mechanism of Na3PO4. However, further surface analysis will be needed to understand the composition of the passive film created.
Figure 10.
IFM surface analysis of carbon steel samples after electrochemical testing of the (a) blank, and (b) 0.6 M Na3PO4 corrosion inhibitor in 0.6 M Cl− SCPS at 25 °C.
FTIR was used to analyze the surface composition of the blank and 0.6 M Na3PO4 inhibited carbon steel samples in 0.6 M Cl− SCPS at 25 °C, shown in Figure 11. The Na3PO4 inhibited sample show distinctive peaks that is absent in the blank, which elucidates the adsorption of phosphate on the surface. The peak around 863 cm−1 is attributed HPO42− since this species will coexist with PO43− at pH~12.6, which is in the range of the pKa2 = 12.3 [8,43]. Peaks at 955, 1066, 1154, and 1359 cm−1 are representative to νsym (PO43−), P−O−Fe, P−O, and P=O bond stretching vibrations, respectively, confirming the adsorption of phosphate ions creating insoluble ferric phosphate compounds seen in the P−O−Fe peak [43,44,45,46].
Figure 11.
FT−IR spectrum for the blank and 0.6 M Na3PO4 inhibited carbon steel sample in 0.6 M Cl− contaminated SCPS at 25 °C.
Moreover, the high-resolution XPS spectra for O 1s, P 2p3/2, and Fe 2p are illustrated in Figure 12 for 0.6 M Na3PO4 in 0.6 M Cl− SCPS at 25 °C. Two peaks were used to split the high-resolution spectra for O 1s, one at 533.60 and 530.56 eV corresponding to FePO4 and Fe−O, respectively, evidencing the formation of ferric phosphate passive film [8,47,48]. Furthermore, the P 2p2/3 had two distinctive peaks: one representative of PO43− (132.70 eV) corresponding to FePO4 and the other at 135.75 eV, which is a peak usually associated with pure Na3PO4 [49]. Finally, the Fe 2p was split into three peaks at 723.90, 712.2, and 710.07 eV corresponding to Fe2O3, FePO4, and Fe3O4, thus confirming the formation of a double-layered passive film as mentioned previously [8,35,50]. It should be noted that some variations in the peak values can occur due to the chemical composition of the electrolyte.
Figure 12.
High-resolution XPS spectra for 0.6 M Na3PO4 inhibited carbon steel sample in 0.6 M Cl− contaminated SCPS at 25 °C: (a) O 1s, (b) P 2p2/3, and (c) Fe 2p.
Computational chemistry, nowadays, has become an important factor in understanding the inhibition mechanism at the metal interface [11]. Quantum chemical properties can assess the reactivity and adsorption sites of corrosion inhibitors, correlating the molecular structure to the inhibition process. In this regard, different quantum chemical properties were calculated for the optimized structure of the dissociated PO43− ion. The geometry optimization of the phosphate ion was carried out using DFT with Becke’s three parameter hybrid functional and the Lee−Yang− Parr correlation (B3LYP)/6–31G (d,p) to find the EHOMO, ELUMO, ΔEgap, µD, Mulliken charges, and electrostatic potential mapping of the dissociated PO43− ion, shown in Figure 13 and Table 6 and Table 7.
Figure 13.
DFT quantum chemical calculations for the dissociated PO43− ion. (a) Optimized structure of the PO43− ion, (b) HOMO, (c) LUMO, and (d) electrostatic potential mapping. Red and blue orbitals represent positive and negative orbital spins, respectively.
Table 6.
Different chemical quantum properties calculated for PO43− ion using DFT.
Table 7.
Mulliken charge distribution for PO43− ion.
EHOMO (−2.88 eV) provides insight of the ability of a molecule to donate an electron to vacant cation orbital, while ELUMO (5.76 eV) indicates the ability of a structure to accept an electron creating a feedback bond [12,51]. A high EHOMO along with a low ELUMO are often associated with enhanced ability of the corrosion inhibitor to adsorb onto the metal surface, thus imparting superior corrosion inhibition. The difference between EHOMO and ELUMO would be the ΔEgap (ELUMO − EHOMO = 8.64 eV), which gives an indication of the reactivity of a molecule [12,52]. A low ΔEgap is favorable since low energy will be required to put the molecule in an excited stage, thus affecting the chemical reactivity, kinetic stability, and polarizability of a molecule [53]. As seen in Table 6, the dissociated PO43− has a low ΔEgap (i.e., reactive) indicating that it will be able to compete with Cl− ions and adsorb on the metal interface, thus creating a protective film and achieving an IE of 91.7%. Previous studies demonstrated a positive correlation between low ΔEgap and inhibition performance, indicating that corrosion inhibitors possessing lower ΔEgap often perform superior to ones with high ΔEgap [11]. However, it should be noted that there are many different factors that affect the inhibition process, and these are not absolute rules, just mere indications. The Mulliken charges along with the electrostatic mapping were calculated to identify the reaction/adsorption sites of PO43− corrosion inhibitor with the metal surface. Finally, the µD have been calculated and found to be 1.79 Debye, which measures the overall polarity of the inhibitor; nevertheless, there are contradicting opinions in the literature on the actual correlation between the dipole moment and inhibition performance [54,55].
As seen in Figure 13b, the EHOMO were concentrated symmetrically around the oxygen atoms indicating areas able to donate electrons to unoccupied d−orbitals the metal surface, thus adsorbing and imparting corrosion inhibition [12]. Moreover, as seen in Figure 13c, the ELUMO are mainly concentrated around the P atom indicating the ability of PO43− to receive electrons and creating feedback bonds. These two quantum properties are attributed to the chemisorption aspect of the inhibition mechanism where the sharing of electrons to the metal surface occurs. Figure 13d illustrates the electrostatic potential mapping of PO43− where red illustrates most negative regions while blue most positive. The negative regions are concentrated at the three oxygen atoms with lone pair electrons indicating that these areas of the ion are active sites of adsorption to the positively charged metal surface–electrostatic interactions (i.e., physisorption). This can be further elucidated using the atomic Mulliken charges found in Table 7, where most negative excess charges were found at the same oxygen atoms with unpaired electrons, making them nucleophilic reagents of the adsorption process forming the FePO4 protective passive film [36]. Corrosion inhibitors in different environments are presented in Table 8 along with their corresponding concentrations, IE, EHOMO, ELUMO, and ΔEgap. As it can be seen, the ΔEgap are relatively low ranging from 5.9 to 8.64 eV, which can be used as a measurement of the corrosion inhibitor reactivity. However, the ΔEgap is not the only factor in determining the effectiveness of the inhibitor, since the corrosion inhibition process is a complex interaction of several properties (electronic, chemical, and physical) between the molecule and the metal surface.
Table 8.
Chemical quantum properties of corrosion inhibitors and their inhibition efficiency [56,57,58,59].
4. Conclusions
The corrosion inhibition properties of Na3PO4 were thoroughly investigated using different electrochemical tests, surface characterizations, and DFT calculations for carbon steel samples in 0.6 M Cl− contaminated SCPS at 25 °C. It was concluded that Na3PO4 is an effective, environmentally friendly, and cheap anodic corrosion inhibitor that is able to achieve an IE up to 91.7% by forming a double-layered passive film where the inner layer is made of Fe2O3 and/or Fe3O4 and an outer layer of insoluble ferric phosphate (FePO4). It was found through Mott−Schottky analysis that the formed film was more orderly and less defective compared to the blank. This phenomenon was corroborated through the EIS film thickness calculations (deff,film). The deff,film was found to be lower in the presence of Na3PO4 inhibited samples, indicating the formation of a densely packed and compact passive film, which could be attributed to an interphase inhibition mechanism. Na3PO4 followed the Langmuir adsorption isotherm having a ΔG°ads of −22 kJ/mol indicating that the adsorption mechanism is a complex mix between physisorption and chemisorption. Dissociated phosphate ions will compete with Cl− to adsorb on the surface of the carbon steel sample. Once adsorbed, PO43− will react with ferrous ions creating ferrous phosphate (Fe3(PO4)2) which will eventually be oxidized to insoluble ferric phosphate (FePO4); this was elucidated using FT−IR and XPS. Finally, DFT calculations were conducted to understand the strong inhibition performance of Na3PO4. It was found that the dissociated PO43− had a low ΔEgap which can contribute to the inhibition process.
Author Contributions
Conceptualization, D.M.B.; methodology, A.M. and D.M.B.; experimental design, A.M., U.M. and D.M.B.; data analysis, A.M., U.M. and D.M.B.; resources, D.M.B.; writing—original draft preparation, A.M., U.M. and D.M.B.; writing—review and editing, A.M. and D.M.B.; visualization, D.M.B.; supervision, D.M.B.; project administration, D.M.B.; funding acquisition, D.M.B. All authors have read and agreed to the published version of the manuscript.
Funding
This research was funded by Firestone Research, grant number 639430, and The University of Akron Fellowship, grant numbers FRC-207160 and FRC-207865.
Institutional Review Board Statement
Not applicable.
Informed Consent Statement
Not applicable.
Data Availability Statement
The raw/processed data required to reproduce these findings cannot be shared at this time as the data also form part of an ongoing study.
Acknowledgments
The authors acknowledge the technical support and facilities from The National Center for Education and Research on Corrosion and Materials Performance (NCERCAMP-UA), The College of Engineering and Polymer Science, and The University of Akron.
Conflicts of Interest
The authors declare no conflict of interest.
References
- Zhang, T.; Gjørv, O.E. Diffusion behavior of chloride ions in concrete. Cem. Concr. Res. 1996, 26, 907–917. [Google Scholar] [CrossRef]
- Garcés, P.; Saura, P.; Méndez, A.; Zornoza, E.; Andrade, C. Effect of nitrite in corrosion of reinforcing steel in neutral and acid solutions simulating the electrolytic environments of micropores of concrete in the propagation period. Corros. Sci. 2008, 50, 498–509. [Google Scholar] [CrossRef]
- Espinosa, R.M.; Franke, L.; Deckelmann, G. Model for the mechanical stress due to the salt crystallization in porous materials. Constr. Build. Mater. 2008, 22, 1350–1367. [Google Scholar] [CrossRef]
- Bastidas, D.M.; Criado, M.; La Iglesia, V.M.; Fajardo, S.; La Iglesia, A.; Bastidas, J.M. Comparative study of three sodium phosphates as corrosion inhibitors for steel reinforcements. Cem. Concr. Compos. 2013, 43, 31–38. [Google Scholar] [CrossRef]
- Bolzoni, F.; Brenna, A.; Ormellese, M. Recent advances in the use of inhibitors to prevent chloride-induced corrosion in reinforced concrete. Cem. Concr. Res. 2022, 154, 106719. [Google Scholar] [CrossRef]
- Ormellese, M.; Berra, M.; Bolzoni, F.; Pastore, T. Corrosion inhibitors for chlorides induced corrosion in reinforced concrete structures. Cem. Concr. Res. 2006, 36, 536–547. [Google Scholar] [CrossRef]
- Mohamed, A.; Visco, D.P.; Bastidas, D.M. Effect of cations on the activity coefficient of NO2−/NO3− corrosion inhibitors in simulated concrete pore solution: An electrochemical thermodynamics study. Corros. Sci. 2022, 206, 110476. [Google Scholar] [CrossRef]
- Bastidas, D.M.; Martin, U.; Bastidas, J.M.; Ress, J. Corrosion inhibition mechanism of steel reinforcements in mortar using soluble phosphates: A critical review. Materials 2021, 14, 6168. [Google Scholar] [CrossRef]
- Yohai, L.; Schreiner, W.; Valcarce, M.B.; Vázquez, M. Inhibiting steel corrosion in simulated concrete with low phosphate to chloride ratios. J. Electrochem. Soc. 2016, 163, C729–C737. [Google Scholar] [CrossRef]
- Söylev, T.A.; Richardson, M.G. Corrosion inhibitors for steel in concrete: State-of-the-art report. Constr. Build. Mater. 2008, 22, 609–622. [Google Scholar] [CrossRef]
- Obot, I.B.; Macdonald, D.D.; Gasem, Z.M. Density functional theory (DFT) as a powerful tool for designing new organic corrosion inhibitors. Part 1: An overview. Corros. Sci. 2015, 99, 1–30. [Google Scholar] [CrossRef]
- Mohamed, A.; Visco, D.P.; Bastidas, D.M. Significance of π–electrons in the design of corrosion inhibitors for carbon steel in simulated concrete pore solution. Corrosion 2021, 77, 976–990. [Google Scholar] [CrossRef]
- ASTM G106-89; Standard Practice for Verification of Algorithm and Equipment for Electrochemical Impedance Measurements. ASTM Internationa: West Conshohocken, PA, USA, 2015. [CrossRef]
- ASTM G61-86; Standard Test Method for Conducting Cyclic Potentiodynamic Polarization Measurements for Localized Corrosion Susceptibility of Iron-, Nickel-, or Cobalt-Based Alloys. ASTM International: West Conshohocken, PA, USA, 2009. [CrossRef]
- Lorenz, W.J.; Mansfeld, F. Interface and interphase corrosion inhibition. Electrochim. Acta 1986, 31, 467–476. [Google Scholar] [CrossRef]
- Liu, D.; Song, Y.; Shan, D.; Han, E.H. Self-healing coatings prepared by loading interphase inhibitors into MAO coating of AM60 Mg alloy. J. Electrochem. Soc. 2018, 165, C412–C421. [Google Scholar] [CrossRef]
- Macdonald, D.D. Some advantages and pitfalls of electrochemical impedance spectroscopy. Corrosion 1990, 46, 229–242. [Google Scholar] [CrossRef]
- Urquidi-Macdonald, M.; Real, S.; Macdonald, D.D. Applications of Kramers—Kronig transforms in the analysis of electrochemical impedance data—III. Stability and linearity. Electrochim. Acta 1990, 35, 1559–1566. [Google Scholar] [CrossRef]
- Liu, Y.; Shi, J. Corrosion resistance of carbon steel in alkaline concrete pore solutions containing phytate and chloride ions. Corros. Sci. 2022, 205, 110451. [Google Scholar] [CrossRef]
- Wang, D.; Ming, J.; Shi, J. Enhanced corrosion resistance of rebar in carbonated concrete pore solutions by Na2HPO4 and benzotriazole. Corros. Sci. 2020, 174, 108830. [Google Scholar] [CrossRef]
- Hirschorn, B.; Orazem, M.E.; Tribollet, B.; Vivier, V.; Frateur, I.; Musiani, M. Determination of effective capacitance and film thickness from constant-phase-element parameters. Electrochim. Acta 2010, 55, 6218–6227. [Google Scholar] [CrossRef]
- Brug, G.J.; van den Eeden, A.L.G.; Sluyters-Rehbach, M.; Sluyters, J.H. The analysis of electrode impedances complicated by the presence of a constant phase element. J. Electroanal. Chem. Interfacial Electrochem. 1984, 176, 275–295. [Google Scholar] [CrossRef]
- Orazem, M.E.; Frateur, I.; Tribollet, B.; Vivier, V.; Marcelin, S.; Pébère, N.; Bunge, A.L.; White, E.A.; Riemer, D.P.; Musiani, M. Dielectric properties of materials showing constant-phase-element (CPE) impedance response. J. Electrochem. Soc. 2013, 160, C215–C225. [Google Scholar] [CrossRef]
- Petrović, Ž.; Metikoš-Huković, M.; Babić, R. The electrochemical transfer reactions and the structure of the iron|oxide layer|electrolyte interface. Electrochim. Acta 2012, 75, 406–413. [Google Scholar] [CrossRef]
- Xu, S.; Zhang, S.; Guo, L.; Feng, L.; Tan, B. Experimental and theoretical studies on the corrosion inhibition of carbon steel by two indazole derivatives in HCl medium. Materials 2019, 12, 1339. [Google Scholar] [CrossRef] [PubMed]
- Bastidas, D.M. Interpretation of impedance data for porous electrodes and diffusion processes. Corrosion 2007, 63, 515–521. [Google Scholar] [CrossRef]
- Bosch, J.; Martin, U.; Aperador, W.; Bastidas, J.M.; Ress, J.; Bastidas, D.M. Corrosion behavior of high-Mn austenitic Fe–Mn–Al–Cr–C steels in NaCl and NaOH solutions. Materials 2021, 14, 425. [Google Scholar] [CrossRef]
- Mansfeld, F.; Kendig, M.W.; Lorenz, W.J. Corrosion inhibition in neutral, aerated media. J. Electrochem. Soc. 1985, 132, 290–296. [Google Scholar] [CrossRef]
- Byrne, C.; D’Alessandro, O.; Deyá, C. Tannins as interphase corrosion inhibitors for aluminum in near-neutral chloride solutions. Mater. Corros. 2022, 73, 798–810. [Google Scholar] [CrossRef]
- Du, X.S.; Su, Y.J.; Li, J.X.; Qiao, L.J.; Chu, W.Y. Inhibitive effects and mechanism of phosphates on the stress corrosion cracking of brass in ammonia solutions. Corros. Sci. 2012, 60, 69–75. [Google Scholar] [CrossRef]
- Hakiki, N.E.; Da Cunha Belo, M.; Simões, A.M.P.; Ferreira, M.G.S. Semiconducting properties of passive films formed on stainless steels: Influence of the alloying elements. J. Electrochem. Soc. 1998, 145, 3821–3829. [Google Scholar] [CrossRef]
- Feng, L.; Yang, H.; Cui, X.; Chen, D.; Li, G. Experimental and theoretical investigation on corrosion inhibitive properties of steel rebar by a newly designed environmentally friendly inhibitor formula. RSC Adv. 2018, 8, 6507–6518. [Google Scholar] [CrossRef]
- Macdonald, D.D. The Point Defect Model for the passive state. J. Electrochem. Soc. 1992, 139, 3434–3449. [Google Scholar] [CrossRef]
- Macdonald, D.D. The history of the Point Defect Model for the passive state: A brief review of film growth aspects. Electrochim. Acta 2011, 56, 1761–1772. [Google Scholar] [CrossRef]
- Cui, J.; Yang, Y.; Li, X.; Yuan, W.; Pei, Y. Toward a slow-release borate inhibitor to control mild steel corrosion in simulated recirculating water. ACS Appl. Mater. Interfaces 2018, 10, 4183–4197. [Google Scholar] [CrossRef]
- Issaadi, S.; Douadi, T.; Chafaa, S. Adsorption and inhibitive properties of a new heterocyclic furan Schiff base on corrosion of copper in HCl 1M: Experimental and theoretical investigation. Appl. Surf. Sci. 2014, 316, 582–589. [Google Scholar] [CrossRef]
- Al-Ghouti, M.A.; Da’ana, D.A. Guidelines for the use and interpretation of adsorption isotherm models: A review. J. Hazard. Mater. 2020, 393, 122383. [Google Scholar] [CrossRef]
- Li, Y.; Xu, W.; Lai, J.; Qiang, S. Inhibition effect and mechanism explanation of perilla seed extract as a green corrosion inhibitor on Q235 carbon steel. Materials 2022, 15, 5394. [Google Scholar] [CrossRef]
- Al-Rashed, O.; Abdel Nazeer, A. Effectiveness of some novel ionic liquids on mild steel corrosion protection in acidic environment: Experimental and theoretical inspections. Materials 2022, 15, 2326. [Google Scholar] [CrossRef]
- Luo, W.; Lin, Q.; Ran, X.; Li, W.; Tan, B.; Fu, A.; Zhang, S. A new pyridazine derivative synthesized as an efficient corrosion inhibitor for copper in sulfuric acid medium: Experimental and theoretical calculation studies. J. Mol. Liq. 2021, 341, 117370. [Google Scholar] [CrossRef]
- Al-Senani, G.M. Synthesis of ZnO-NPs using a Convolvulus arvensis leaf extract and proving its efficiency as an inhibitor of carbon steel corrosion. Materials 2020, 13, 890. [Google Scholar] [CrossRef]
- Shi, J.J.; Sun, W. Effects of phosphate on the chloride-induced corrosion behavior of reinforcing steel in mortars. Cem. Concr. Compos. 2014, 45, 166–175. [Google Scholar] [CrossRef]
- Daou, T.J.; Begin-Colin, S.; Grenèche, J.M.; Thomas, F.; Derory, A.; Bernhardt, P.; Legaré, P.; Pourroy, G. Phosphate adsorption properties of magnetite-based nanoparticles. Chem. Mater. 2007, 19, 4494–4505. [Google Scholar] [CrossRef]
- Tejedor-Tejedor, M.I.; Anderson, M.A. The protonation of phosphate on the surface of goethite as studied by CIR-FTIR and electrophoretic mobility. Langmuir 1990, 6, 602–611. [Google Scholar] [CrossRef]
- Ahmed, A.A.; Gypser, S.; Leinweber, P.; Freese, D.; Kühn, O. Infrared spectroscopic characterization of phosphate binding at the goethite–water interface. Phys. Chem. Che. Phys. 2019, 21, 4421–4434. [Google Scholar] [CrossRef] [PubMed]
- Müller, W.E.G.; Wang, S.; Wiens, M.; Neufurth, M.; Ackermann, M.; Relkovic, D.; Kokkinopoulou, M.; Feng, Q.; Schröder, H.C.; Wang, X. Uptake of polyphosphate microparticles in vitro (SaOS-2 and HUVEC cells) followed by an increase of the intracellular ATP pool size. PLoS ONE 2017, 12, e0188977. [Google Scholar] [CrossRef]
- Jiang, C.; Gao, Z.; Pan, H.; Cheng, X. The initiation and formation of a double-layer phosphate conversion coating on steel. Electrochem. Commun. 2020, 114, 106676. [Google Scholar] [CrossRef]
- Wang, J.-C.; Ren, J.; Yao, H.-C.; Zhang, L.; Wang, J.-S.; Zang, S.-Q.; Han, L.-F.; Li, Z.-J. Synergistic photocatalysis of Cr(VI) reduction and 4-chlorophenol degradation over hydroxylated α-Fe2O3 under visible light irradiation. J. Hazard. Mater. 2016, 311, 11–19. [Google Scholar] [CrossRef]
- Kalina, L.; Bílek, V.; Novotný, R.; Mončeková, M.; Másilko, J.; Koplík, J. Effect of Na3PO4 on the hydration process of alkali-activated blast furnace slag. Materials 2016, 9, 395. [Google Scholar] [CrossRef]
- Hao, S.; Wang, H.; Yang, R.; Liu, D.; Liu, X.; Zhang, Q.; Chen, X. Corn-like mesoporous SnO2/α–Fe2O3 heterostructure for superior TEA sensing performance. Appl. Phys. A 2021, 127, 252. [Google Scholar] [CrossRef]
- Madkour, L.H.; Kaya, S.; Guo, L.; Kaya, C. Quantum chemical calculations, molecular dynamic (MD) simulations and experimental studies of using some azo dyes as corrosion inhibitors for iron. Part 2: Bis–azo dye derivatives. J. Mol. Struct. 2018, 1163, 397–417. [Google Scholar] [CrossRef]
- Arrousse, N.; Salim, R.; Obot, I.B.; Abdellaoui, A.; El Hajjaji, F.; Mabrouk, E.; Taleb, M. Effect of molecular structure of two fluorescein molecules on the corrosion inhibition of mild steel in 1 M HCl solution. J. Mol. Liq. 2022, 359, 119311. [Google Scholar] [CrossRef]
- Lin, B.; Zuo, Y. Corrosion inhibition of carboxylate inhibitors with different alkylene chain lengths on carbon steel in an alkaline solution. RSC Adv. 2019, 9, 7065–7077. [Google Scholar] [CrossRef] [PubMed]
- Zarrouk, A.; Hammouti, B.; Dafali, A.; Bouachrine, M.; Zarrok, H.; Boukhris, S.; Al-Deyab, S.S. A theoretical study on the inhibition efficiencies of some quinoxalines as corrosion inhibitors of copper in nitric acid. J. Saudi Chem. Soc. 2014, 18, 450–455. [Google Scholar] [CrossRef]
- Gao, G.; Liang, C. Electrochemical and DFT studies of β-amino-alcohols as corrosion inhibitors for brass. Electrochim. Acta 2007, 52, 4554–4559. [Google Scholar] [CrossRef]
- Fazayel, A.S.; Khorasani, M.; Sarabi, A.A. The effect of functionalized polycarboxylate structures as corrosion inhibitors in a simulated concrete pore solution. Appl. Surf. Sci. 2018, 441, 895–913. [Google Scholar] [CrossRef]
- Teymouri, F.; Allahkaram, S.R.; Shekarchi, M.; Azamian, I.; Johari, M. A comprehensive study on the inhibition behaviour of four carboxylate-based corrosion inhibitors focusing on efficiency drop after the optimum concentration for carbon steel in the simulated concrete pore solution. Constr. Build. Mater. 2021, 296, 123702. [Google Scholar] [CrossRef]
- Sasikumar, Y.; Adekunle, A.S.; Olasunkanmi, L.O.; Bahadur, I.; Baskar, R.; Kabanda, M.M.; Obot, I.B.; Ebenso, E.E. Experimental, quantum chemical and Monte Carlo simulation studies on the corrosion inhibition of some alkyl imidazolium ionic liquids containing tetrafluoroborate anion on mild steel in acidic medium. J. Mol. Liq. 2015, 211, 105–118. [Google Scholar] [CrossRef]
- Haque, J.; Srivastava, V.; Verma, C.; Lgaz, H.; Salghi, R.; Quraishi, M.A. N-Methyl-N,N,N-trioctylammonium chloride as a novel and green corrosion inhibitor for mild steel in an acid chloride medium: Electrochemical, DFT and MD studies. New J. Chem. 2017, 41, 13647–13662. [Google Scholar] [CrossRef]
Publisher’s Note: MDPI stays neutral with regard to jurisdictional claims in published maps and institutional affiliations. |
© 2022 by the authors. Licensee MDPI, Basel, Switzerland. This article is an open access article distributed under the terms and conditions of the Creative Commons Attribution (CC BY) license (https://creativecommons.org/licenses/by/4.0/).












