Comparative Study of the Morphology of Cellulose Nanofiber Fabricated Using Two Kinds of Grinding Method
Abstract
1. Introduction
2. Materials and Methods
2.1. Preparation of Cellulose by Pretreatment Process
2.2. Fabrication Method of CNF Using a Disc Grinder without a PBM (Method A)
2.3. Fabrication Method of CNFs Using a Disc Grinder with a PBM (Method B)
2.4. Morphology Characterization
3. Results and Discussion
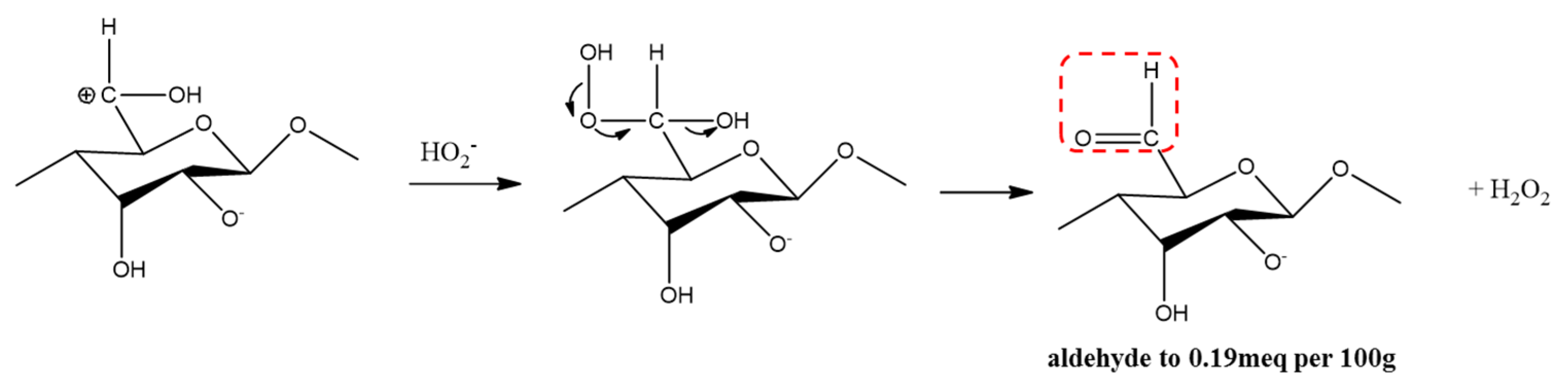
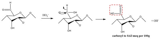
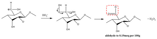
3.1. Pretreatment Process
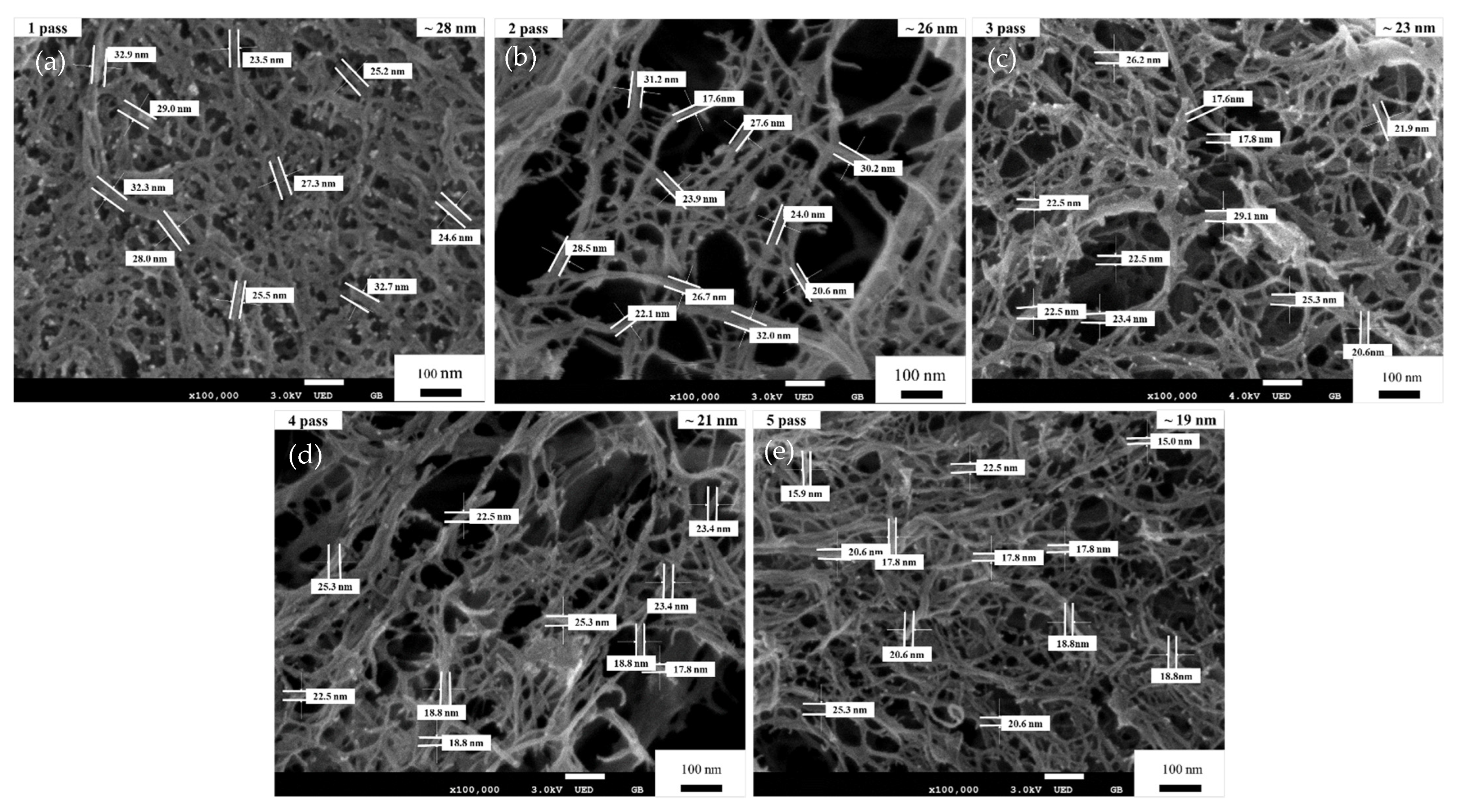
3.2. FE-SEM Micrographs of the CNFs Produced by Just the Disc Grinder (Method A)
3.3. FE-SEM Micrographs of CNFs with Dry Cellulose Powder Using the Disc Grinder
3.3.1. Preparation of Dry Cellulose Powder Using the PBM
3.3.2. Comparison Properties of Dry Cellulose Fibers and Dry Cellulose Powder
3.3.3. Results of FE-SEM Micrographs of CNFs Formed from the Dry Cellulose Powder
4. Conclusions
Author Contributions
Funding
Conflicts of Interest
References
- Iwamoto, S.; Nakagaito, A.N.; Yano, H. Nano-Fibrillation of Pulp Fibers for the Processing of Transparent Nanocomposites. Appl. Phys. A 2007, 89, 461–466. [Google Scholar] [CrossRef]
- Theivasanthi, T.; Anne Christma, F.L.; Toyin, A.J.; Gopinath, S.C.B.; Ravichandran, R. Synthesis and Characterization of Cotton Fiber-Based Nanocellulose. Int. J. Biol. Macromol. 2018, 109, 832–836. [Google Scholar] [CrossRef] [PubMed]
- Li, J.; Song, Z.; Li, D.; Shang, S.; Guo, Y. Cotton Cellulose Nanofiber-Reinforced High Density Polyethylene Composites Prepared with Two Different Pretreatment Methods. Ind. Crops Prod. 2014, 59, 318–328. [Google Scholar] [CrossRef]
- Klemm, D.; Kramer, F.; Moritz, S.; Lindström, T.; Ankerfors, M.; Gray, D.; Dorris, A. Nanocelluloses: A New Family of Nature-Based Materials. Angew. Chem. Int. Ed. 2011, 50, 5438–5466. [Google Scholar] [CrossRef] [PubMed]
- De Amorim, J.D.P.; de Souza, K.C.; Duarte, C.R.; da Silva Duarte, I.; de Assis Sales Ribeiro, F.; Silva, G.S.; de Farias, P.M.A.; Stingl, A.; Costa, A.F.S.; Vinhas, G.M.; et al. Plant and Bacterial Nanocellulose: Production, Properties and Applications in Medicine, Food, Cosmetics, Electronics and Engineering. A Review. Environ. Chem. Lett. 2020, 18, 851–869. [Google Scholar] [CrossRef]
- Moon, R.J.; Martini, A.; Nairn, J.; Simonsen, J.; Youngblood, J. Cellulose Nanomaterials Review: Structure, Properties and Nanocomposites. Chem. Soc. Rev. 2011, 40, 3941. [Google Scholar] [CrossRef]
- Siró, I.; Plackett, D. Microfibrillated Cellulose and New Nanocomposite Materials: A Review. Cellulose 2010, 17, 459–494. [Google Scholar] [CrossRef]
- Mandal, A.; Chakrabarty, D. Studies on the Mechanical, Thermal, Morphological and Barrier Properties of Nanocomposites Based on Poly(Vinyl Alcohol) and Nanocellulose from Sugarcane Bagasse. J. Ind. Eng. Chem. 2014, 20, 462–473. [Google Scholar] [CrossRef]
- Wong, J.C.H.; Kaymak, H.; Tingaut, P.; Brunner, S.; Koebel, M.M. Mechanical and Thermal Properties of Nanofibrillated Cellulose Reinforced Silica Aerogel Composites. Microporous Mesoporous Mater. 2015, 217, 150–158. [Google Scholar] [CrossRef]
- Baheti, V.; Abbasi, R.; Militky, J. Ball Milling of Jute Fibre Wastes to Prepare Nanocellulose. World J. Eng. 2012, 9, 45–50. [Google Scholar] [CrossRef]
- Phanthong, P.; Reubroycharoen, P.; Hao, X.; Xu, G.; Abudula, A.; Guan, G. Nanocellulose: Extraction and Application. Carbon Resour. Convers. 2018, 1, 32–43. [Google Scholar] [CrossRef]
- Wang, Q.Q.; Zhu, J.Y.; Gleisner, R.; Kuster, T.A.; Baxa, U.; McNeil, S.E. Morphological development of cellulose fibrils of a bleached eucalyptus pulp by mechanical fibrillation. Cellulose 2012, 19, 1631–1643. [Google Scholar] [CrossRef]
- Zhang, L.; Tsuzuki, T.; Wang, X. Preparation of Cellulose Nanofiber from Softwood Pulp by Ball Milling. Cellulose 2015, 22, 1729–1741. [Google Scholar] [CrossRef]
- Piras, C.C.; Fernández-Prieto, S.; De Borggraeve, W.M. Ball Milling: A Green Technology for the Preparation and Functionalisation of Nanocellulose Derivatives. Nanoscale Adv. 2019, 1, 937–947. [Google Scholar] [CrossRef]
- Lavanya, D.; Kulkarni, P.K.; Dixit, M.; Raavi, P.K.; Krishna, L.N.V. Sources of cellulose and their applications—A review. Int. J. Drug Formul. Res. 2011, 2, 19–38. [Google Scholar]
- Siqueira, G.; Bras, J.; Dufresne, A. Cellulosic Bionanocomposites: A Review of Preparation, Properties and Applications. Polymers 2010, 2, 728–765. [Google Scholar] [CrossRef]
- Burmeister, C.F.; Kwade, A. Process Engineering with Planetary Ball Mills. Chem. Soc. Rev. 2013, 42, 7660. [Google Scholar] [CrossRef]
- Hietala, M.; Oksman, K. Technologies for Separation of Cellulose Nanofibers. In Materials and Energy; World Scientific: Singapore, 2014; Volume 5, pp. 53–71. ISBN 978-981-4566-45-2. [Google Scholar]
- Mussatto, S.I.; Rocha, G.J.M.; Roberto, I.C. Hydrogen Peroxide Bleaching of Cellulose Pulps Obtained from Brewer’s Spent Grain. Cellulose 2008, 15, 641–649. [Google Scholar] [CrossRef]
- Zeronian, S.H.; Inglesby, M.K. Bleaching of Cellulose by Hydrogen Peroxide. Cellulose 1995, 2, 265–272. [Google Scholar] [CrossRef]
- Wang, T.; Zhao, Y. Optimization of Bleaching Process for Cellulose Extraction from Apple and Kale Pomace and Evaluation of Their Potentials as Film Forming Materials. Carbohydr. Polym. 2021, 253, 117225. [Google Scholar] [CrossRef]
- Xia, H.; Li, J.; Man, J.; Man, L.; Zhang, S.; Li, J. Recent Progress in Preparation of Functional Microparticles Based on Microfluidic Technique. Mater. Today Commun. 2021, 29, 102740. [Google Scholar] [CrossRef]
- Fitriana, N.E.; Suwanto, A.; Jatmiko, T.H.; Mursiti, S.; Prasetyo, D.J. Cellulose Extraction from Sugar Palm (Arenga Pinnata) Fibre by Alkaline and Peroxide Treatments. IOP Conf. Ser. Earth Environ. Sci. 2020, 462, 012053. [Google Scholar] [CrossRef]
- Nasir, M.; Hashim, R.; Sulaiman, O.; Asim, M. Nanocellulose. In Cellulose-Reinforced Nanofibre Composites; Elsevier: Amsterdam, The Netherlands, 2017; pp. 261–276. ISBN 978-0-08-100957-4. [Google Scholar]
- Missoum, K.; Belgacem, M.; Bras, J. Nanofibrillated Cellulose Surface Modification: A Review. Materials 2013, 6, 1745–1766. [Google Scholar] [CrossRef] [PubMed]
- Bor, A.; Jargalsaikhan, B.; Uranchimeg, K.; Lee, J.; Choi, H. Particle Morphology Control of Metal Powder with Various Experimental Conditions Using Ball Milling. Powder Technol. 2021, 394, 181–190. [Google Scholar] [CrossRef]
- Choi, H.K.; Choi, W.S. Ultra-Fine Grinding Mechanism of Inorganic Powders in a Stirred Ball Mill—Examination of Grinding Kinetics of Using Grinding Aids. Korean J. Chem. Eng. 2006, 23, 1067. [Google Scholar] [CrossRef][Green Version]
- Iwamoto, S.; Nakagaito, A.N.; Yano, H.; Nogi, M. Optically Transparent Composites Reinforced with Plant Fiber-Based Nanofibers. Appl. Phys. A 2005, 81, 1109–1112. [Google Scholar] [CrossRef]
- Hassan, M.L.; Mathew, A.P.; Hassan, E.A.; El-Wakil, N.A.; Oksman, K. Nanofibers from Bagasse and Rice Straw: Process Optimization and Properties. Wood Sci. Technol. 2012, 46, 193–205. [Google Scholar] [CrossRef]














| Experimental Conditions | Optimal Conditions |
|---|---|
| Sample | Cellulose |
| Rotation speed [rpm] | 500 |
| Milling time [min] | 15 |
| Ball diameter [mm] | 3 |
| Ball cellulose ratio [−] | 120:1 |
| Ball filling ratio [−] | 0.3 |
| Material of media | zirconia |
| Type of Sample | Suspension Time | |||
|---|---|---|---|---|
| 3 Days | 7 Days | 1 Month | 3 Months | |
| The dry cellulose fibers | x | x | x | o |
| The dry cellulose powder | x | o | o | o |
| Number of Passes | CNF’s Width of Average Size in Process A | CNF’s Width of Average Size in Process B |
|---|---|---|
| 1 pass | ~51 nm | ~28 nm |
| 2 passes | ~39 nm | ~26 nm |
| 3 passes | ~34 nm | ~23 nm |
| 4 passes | ~28 nm | ~21 nm |
| 5 passes | ~25 nm | ~19 nm |
Publisher’s Note: MDPI stays neutral with regard to jurisdictional claims in published maps and institutional affiliations. |
© 2022 by the authors. Licensee MDPI, Basel, Switzerland. This article is an open access article distributed under the terms and conditions of the Creative Commons Attribution (CC BY) license (https://creativecommons.org/licenses/by/4.0/).
Share and Cite
Uranchimeg, K.; Jargalsaikhan, B.; Bor, A.; Yoon, K.; Choi, H. Comparative Study of the Morphology of Cellulose Nanofiber Fabricated Using Two Kinds of Grinding Method. Materials 2022, 15, 7048. https://doi.org/10.3390/ma15207048
Uranchimeg K, Jargalsaikhan B, Bor A, Yoon K, Choi H. Comparative Study of the Morphology of Cellulose Nanofiber Fabricated Using Two Kinds of Grinding Method. Materials. 2022; 15(20):7048. https://doi.org/10.3390/ma15207048
Chicago/Turabian StyleUranchimeg, Khulan, Battsetseg Jargalsaikhan, Amgalan Bor, Kiyoung Yoon, and Heekyu Choi. 2022. "Comparative Study of the Morphology of Cellulose Nanofiber Fabricated Using Two Kinds of Grinding Method" Materials 15, no. 20: 7048. https://doi.org/10.3390/ma15207048
APA StyleUranchimeg, K., Jargalsaikhan, B., Bor, A., Yoon, K., & Choi, H. (2022). Comparative Study of the Morphology of Cellulose Nanofiber Fabricated Using Two Kinds of Grinding Method. Materials, 15(20), 7048. https://doi.org/10.3390/ma15207048
