Macrocycle as a “Container” for Dinitramide Salts
Abstract
1. Introduction
2. Materials and Methods
2.1. Materials and Physical Measurements
2.1.1. General Information
2.1.2. Syntheses
Synthesis of Adduct 7 from 1, 2 and 4
Synthesis of Adduct 8 from 5 and 2
Hydrolysis of Adduct 7
2.1.3. Pyrotechnic Formulations
3. Results and Discussion
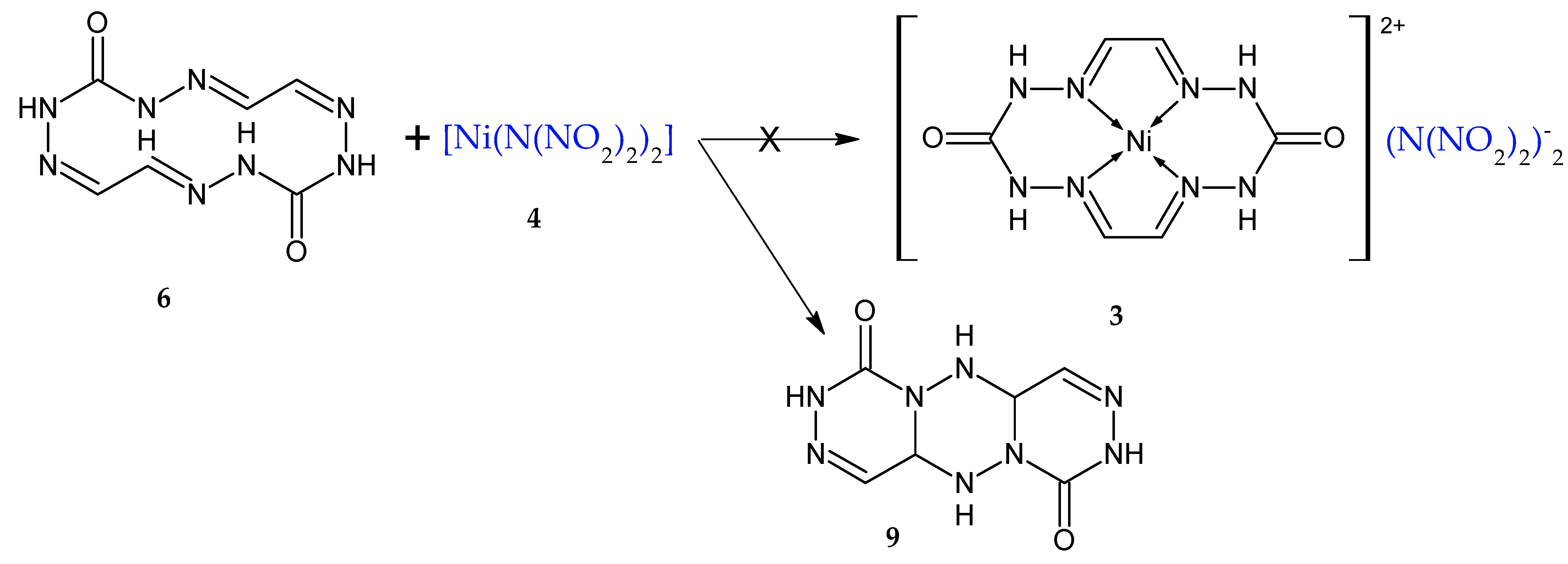
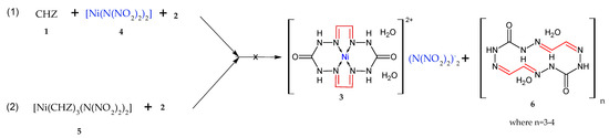
3.1. Synthesis
3.2. Burning-Rate Measurements
4. Conclusions
Supplementary Materials
Author Contributions
Funding
Data Availability Statement
Acknowledgments
Conflicts of Interest
References
- Bottaro, J.C.; Schmitt, R.J.; Penwell, P.E.; Ross, D.S. Method of Forming Dinitramide Salts. U.S. Patent 5,198,204, 30 March 1993. SRI International: Menlo Park, CA, USA. [Google Scholar]
- Bottaro, J.C.; Penwell, P.E.; Schmitt, R.J. A new synthesis of alkyl-N,N-dinitramines by direct nitration of isocyanates. Synth. Commun. 1991, 21, 945. [Google Scholar] [CrossRef]
- Lukyanov, O.A.; Gorclik, V.P.; Tartakovsky, V.A. Dinitramide and its salts: 1. Synthesis of and its salts by decyanoethylation of N,N-dinitro-ß-aminopropionitrile. Russ. Chem. Bull. 1994, 43, 89–92. [Google Scholar] [CrossRef]
- Lukyanov, O.A.; Anikin, O.V.; Gorclik, V.P.; Tartakovsky, V.A. Dinitramide and its salts: 3. Metallic salts of dinitramide. Russ. Chem. Bull. 1994, 43, 1457–1461. [Google Scholar] [CrossRef]
- Shitov, O.P.; Tartakovsky, V.A.; Golovanov, I.S.; Sukhorukov, A.Y.; Ioffe, S.L. Synthesis and structure of N,N-dinitroamidoborane complexes. Chem Asian J. 2017, 12, 2237–2244. [Google Scholar] [CrossRef] [PubMed]
- Schaller, U.; Lang, J.; Gettwert, V.; Hurttlen, J.; Weiser, V.; Keicher, T. 4-Amino-1-butyl-1,2,4-triazolium dinitramide—Synthesis, characterization and combustion of a low-temperature dinitramide-based energetic ionic liquid (EIL). Propellants Explos. Pyrotech. 2022, 47, e202200054. [Google Scholar] [CrossRef]
- Kumar, P. An overview over dinitramide anion and compounds based on it. Indian Chem. Eng. 2020, 62, 232–242. [Google Scholar] [CrossRef]
- Pimienta, I.S.O. Computational study of monosubstituted azo(tetrazolepentazolium)-based ionic dimers. J. Phys. Chem. A 2015, 119, 5826–5841. [Google Scholar] [CrossRef]
- Vandel, A.P.; Lobanova, A.A.; Loginova, V.S. Application of dinitramide salts (Review). Russ. J. Appl. Chem. 2009, 82, 1763. [Google Scholar] [CrossRef]
- Steinhauser, G.; Klapotke, T.M. “Green” pyrotechnics: A chemists’ challenge. Angew. Chem. Int. Ed. 2008, 47, 3330–3347. [Google Scholar] [CrossRef]
- Klapoetke, T.M.; Martin, F.A.; Mayr, N.T.; Stierstorfer, J. Synthesis and characterization of 3,5-diamino-1,2,4-triazolium dinitramide. ZAAC 2010, 636, 2555–2564. [Google Scholar] [CrossRef]
- Blomquist, H.R. Amine salts of dinitramide as gas generator compositions for inflatable vehicle occupant protection devices. U.S. Patent US6004410A, 21 December 1999. [Google Scholar]
- Klapoetke, T.M.; Stierstorfer, J. Azidoformamidinium and 5-aminotetrazolium dinitramide—Two highly energetic isomers with a balanced oxygen content. Dalton Trans. 2009, 4, 643–653. [Google Scholar] [CrossRef] [PubMed]
- Nosratzadegan, K.; Mahdavi, M.; Ghani, K.; Barati, K. New Energetic Complex of Copper(II) Dinitramide Based Nitrogen-rich Ligand Aminoguanidine (CH6N4): Synthesis, Structural and Energetic Properties. Propellants Explos. Pyrotech. 2019, 44, 830–836. [Google Scholar] [CrossRef]
- Stierstorfer, J.; Klapotke, T.M. Triaminoguanidinium dinitramide—calculations, synthesis and characterization of a promising energetic compound. Phys. Chem. Chem. Phys. 2008, 10, 4340–4346. [Google Scholar]
- Gruhne, M.S.; Wurzenberger, M.H.H.; Lommel, M.; Stierstorfer, J. A smart access to the dinitramide anion—The use of dinitraminic acid for the preparation of nitrogen-rich energetic copper(II) complexes. Chem. Eur. J. 2021, 27, 9112–9123. [Google Scholar] [CrossRef] [PubMed]
- Il’yasov, S.G.; Glukhacheva, V.S.; Il’yasov, D.S.; Zhukov, E.E.; Eltsov, I.V.; Gatilov, Y.V. A novel energetic nickel coordination compound based on carbohydrazide and dinitramide. Mendeleev Commun. 2022, 32, 344–346. [Google Scholar] [CrossRef]
- Trache, D.; Maggi, F.; Palmucci, I.; DeLuca, L.T.; Khimeche, K.; Fassina, M.; Dossi, S.; Colombo, G. Effect of amide-based compounds on the combustion characteristics of composite solid rocket propellants. Arab. J. Chem. 2019, 12, 3639–3651. [Google Scholar] [CrossRef]
- Xu, S.; Pang, A.M.; Wang, Y.; Pan, X.Z.; Li, S.W.; Li, H.T.; Kong, J. A Review on the use of burning rate suppressants in AP-based composite propellants. Propellants Explos. Pyrotech. 2022, 47, e202000327. [Google Scholar] [CrossRef]
- Kalman, J. Are all solid propellant burning rate modifiers catalysts? Propellants Explos. Pyrotech. 2022, 47, e202200148. [Google Scholar] [CrossRef]
- Sims, S.; Fischer, S.; Tagliabue, C. ADN solid propellants with high burning rates as booster material for Hypersonic applications. Propellants Explos. Pyrotech. 2022, 47, e202200028. [Google Scholar] [CrossRef]
- Mishra, L.K.; Madhubala, R.R. Jha, Preethyalex, Rakeshroshan, Template synthesis of macrocyclic complexes of bivalent Co(II), Ni(II), Pd(II), Zn(II) and Cd(II) ions with cyclic glyoxal carbohydrazone (1,2,4,5,8,9,11,12-octaazacyclotetradeca-5,7,12,14-tetraene-3,10-dione). Orient. J. Chem. 2012, 28, 1877–1881. [Google Scholar] [CrossRef][Green Version]
- Glukhacheva, V.S.; Obraztsov, A.A.; Il’yasov, S.G. Synthesis of 1,2,4,5,8,9,11,12-octaazacyclotetradeca-5,7,12,14-tetraene-3,10-dione solvates. South-Sib. Sci. Bull. 2017, 4, 140–144. (In Russian). Available online: http://s-sibsb.ru/images/articles/2017/4/29_140-144.pdf (accessed on 16 June 2022).
- Glukhacheva, V.S.; Il’yasov, S.G.; Obraztsov, A.A.; Gatilov, Y.V.; Eltsov, I.V. A New Synthetic Route to Heteroanthracenes. Eur. J. Org. Chem. 2018, 2018, 1265–1273. [Google Scholar] [CrossRef]








| Entry | Frequency, cm−1 | ||||||
|---|---|---|---|---|---|---|---|
| 7 | 1693 v.s. | 1605 w. | 1520 v.s. | 1268 m. | 1187 s. | 1018 w. | 827, 752 |
| 8 | 1693 v.s. | 1605 w. | 1523 v.s. | 1265 m. | 1188 m. | 1019 w. | 823 |
| 6 [23] | 1691 s. | 1514 s. | Abs. | 1265 s. | Abs. | 1008 w. | Abs. |
| 4 | Abs. | Abs. | 1528 v.s. | Abs. | 1180 v.s. | 1023 s. | 828, 762, 731 |
| 5 [17] | 1644 v.s. | 1604 w., 1542 с, | 1537 v.s. | 1283 m | 1202 v.s., 1177 v.s. | 1022 s. | 828, 762, 732 |
| Functional groups | ν C=O | δ NH, ν C=N | ν NO2 | ν C-N | ν N=N-O | N-N N-N-N | NO2 |
| Entry | First Stage | Second Stage | Third Stage | |||||||||
|---|---|---|---|---|---|---|---|---|---|---|---|---|
| Onset, °С | Peak, °С | Endset, °С | Specific Heat Release, J/g | On Set, °С | Peak, °С | Endset, °С | Specific Heat Release, J/g | On Set, °С | Peak, °С | Endset, °С | Specific Heat Release, J/g | |
| 1 | 2 | 3 | 4 | 5 | 6 | 7 | 8 | 9 | 10 | 11 | 12 | 13 |
| 1 | 156 | 157 * | 160 | −321 | - | - | - | - | - | - | - | - |
| 6 [23] | - | - | - | - | 288 | 298 | 291 | 1056 | - | - | - | - |
| 5 [17] | 214 | 217 | 218 | 1619 | - | - | - | - | - | - | - | - |
| 7 | 160 | 186 | 216 | 212 | 246 | 270 | 288 | 396 | 330 | 419 | 423 | 2993 |
| 8 | 175 | 198 | 234 | 154 | 268 | 273 | 275 | 599 | 436 | 443 | 446 | 2198 |
| Additive | ∇u (KClO4/Al), % | ∇u (KNO3/Zr), % |
|---|---|---|
| 0.5% 8 | −23.82 | −33.41 |
| 1.0% 8 | −38.21 | −36.76 |
| 1.5% 8 | −30.94 | −41.03 |
Publisher’s Note: MDPI stays neutral with regard to jurisdictional claims in published maps and institutional affiliations. |
© 2022 by the authors. Licensee MDPI, Basel, Switzerland. This article is an open access article distributed under the terms and conditions of the Creative Commons Attribution (CC BY) license (https://creativecommons.org/licenses/by/4.0/).
Share and Cite
Il’yasov, S.G.; Glukhacheva, V.S.; Il’yasov, D.S.; Zhukov, E.E. Macrocycle as a “Container” for Dinitramide Salts. Materials 2022, 15, 6958. https://doi.org/10.3390/ma15196958
Il’yasov SG, Glukhacheva VS, Il’yasov DS, Zhukov EE. Macrocycle as a “Container” for Dinitramide Salts. Materials. 2022; 15(19):6958. https://doi.org/10.3390/ma15196958
Chicago/Turabian StyleIl’yasov, Sergey G., Vera S. Glukhacheva, Dmitri S. Il’yasov, and Egor E. Zhukov. 2022. "Macrocycle as a “Container” for Dinitramide Salts" Materials 15, no. 19: 6958. https://doi.org/10.3390/ma15196958
APA StyleIl’yasov, S. G., Glukhacheva, V. S., Il’yasov, D. S., & Zhukov, E. E. (2022). Macrocycle as a “Container” for Dinitramide Salts. Materials, 15(19), 6958. https://doi.org/10.3390/ma15196958

