Nonlinear Stability of Natural-Fiber-Reinforced Composite Cylindrical Shells with Initial Geometric Imperfection Considering Moisture Absorption and Hygrothermal Aging
Abstract
1. Introduction
2. Model of Imperfect NFRC Cylindrical Shells
3. Basic Equations for Post-Buckling of Imperfect NFRC Cylindrical Shells
4. Procedure for Solving the Post-Buckling Equilibrium Path
5. Numerical Results and Discussion
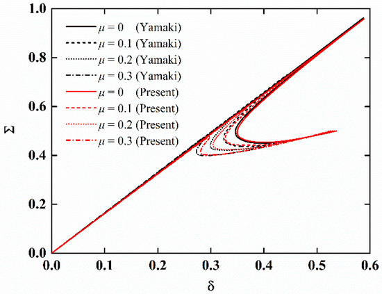
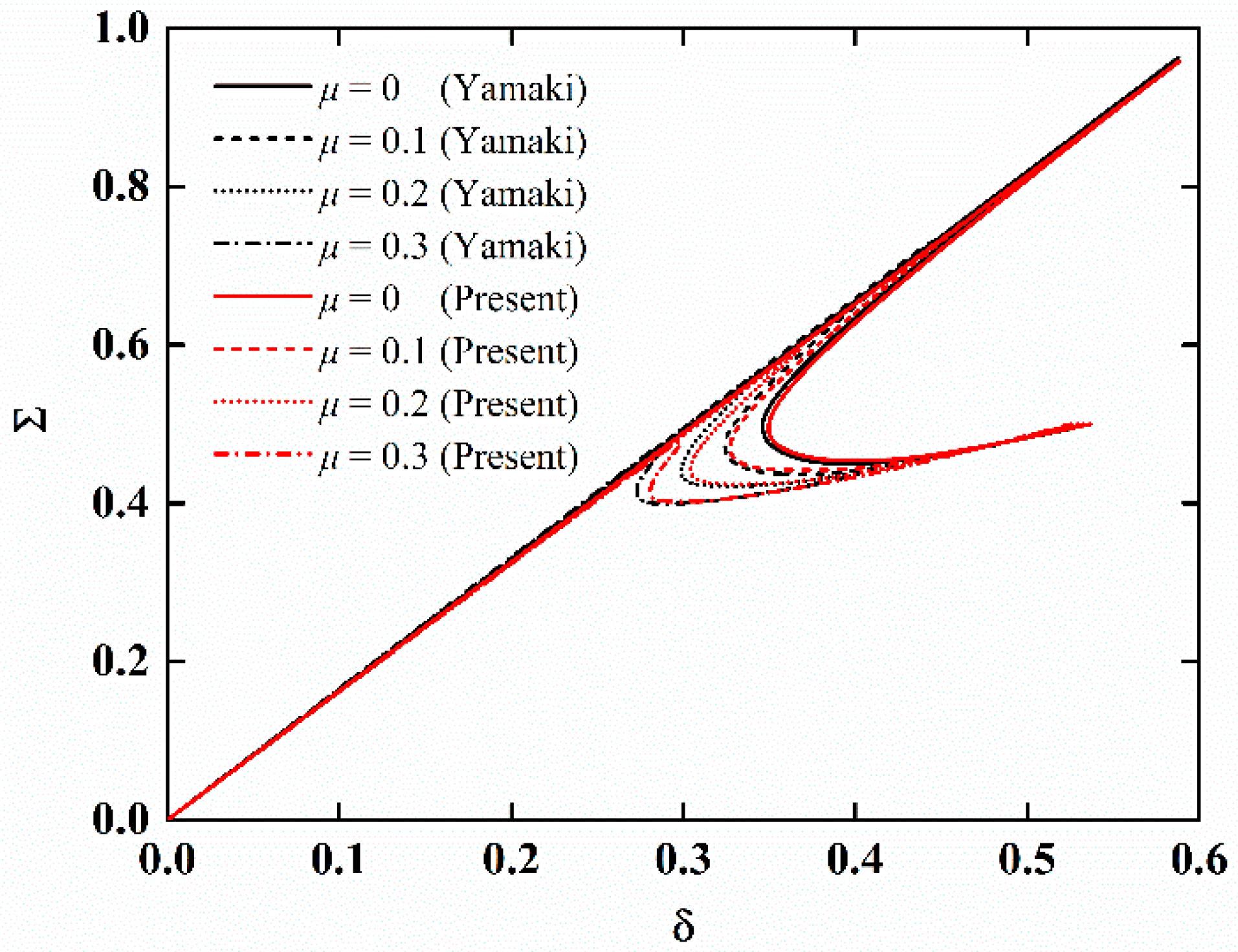
5.1. Comparison Study
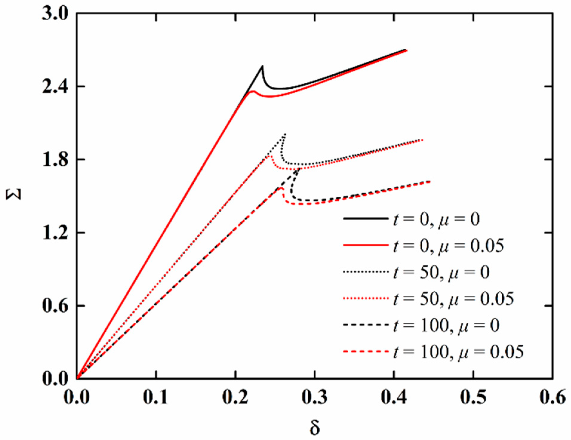
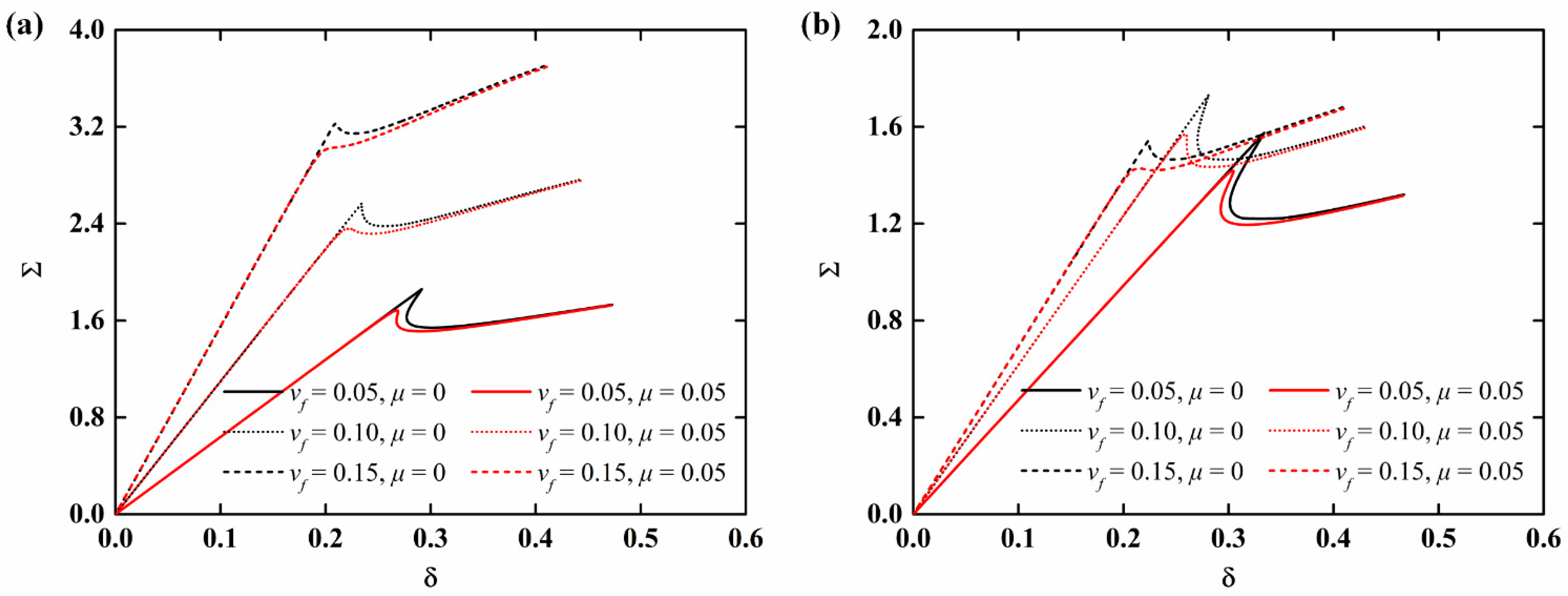
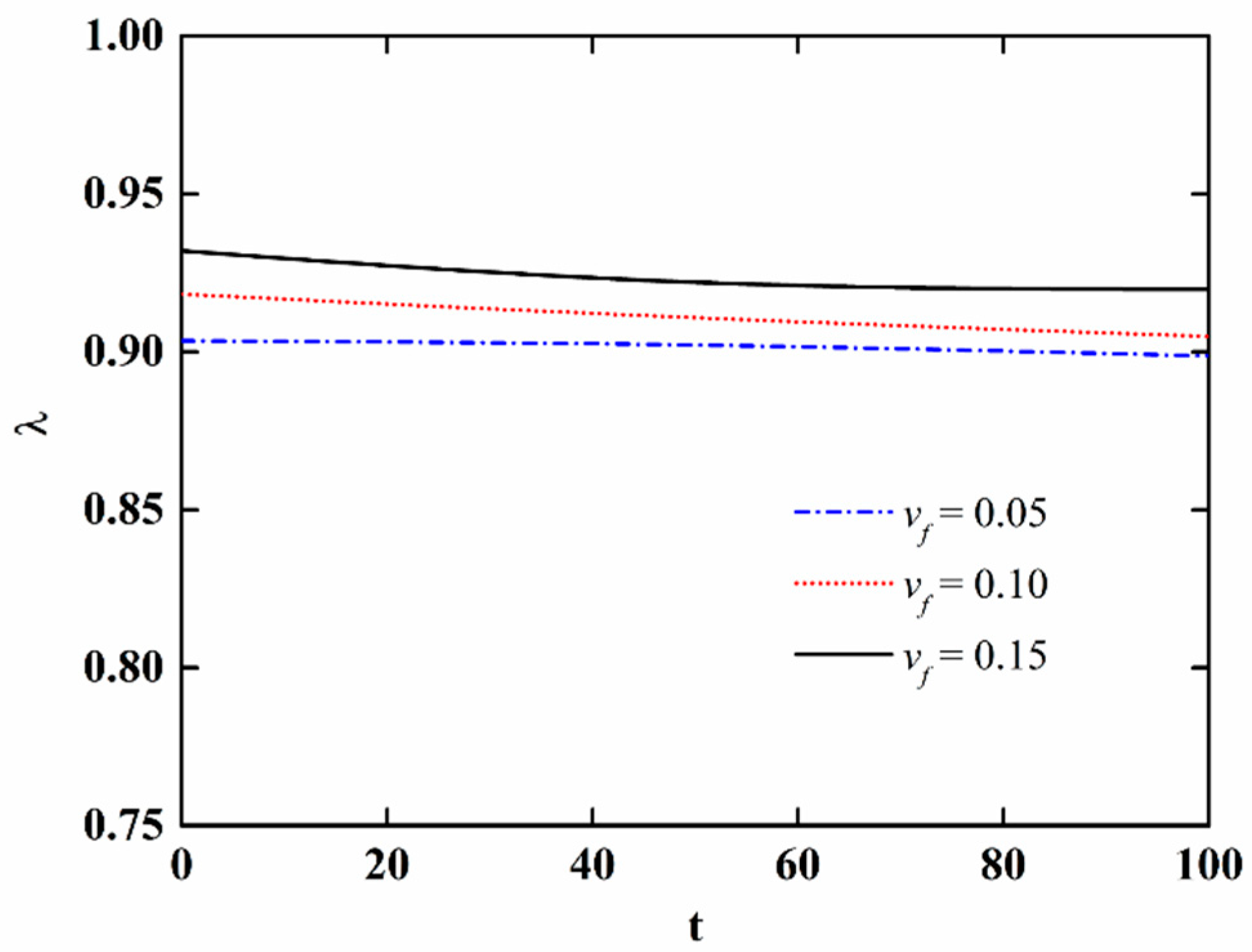
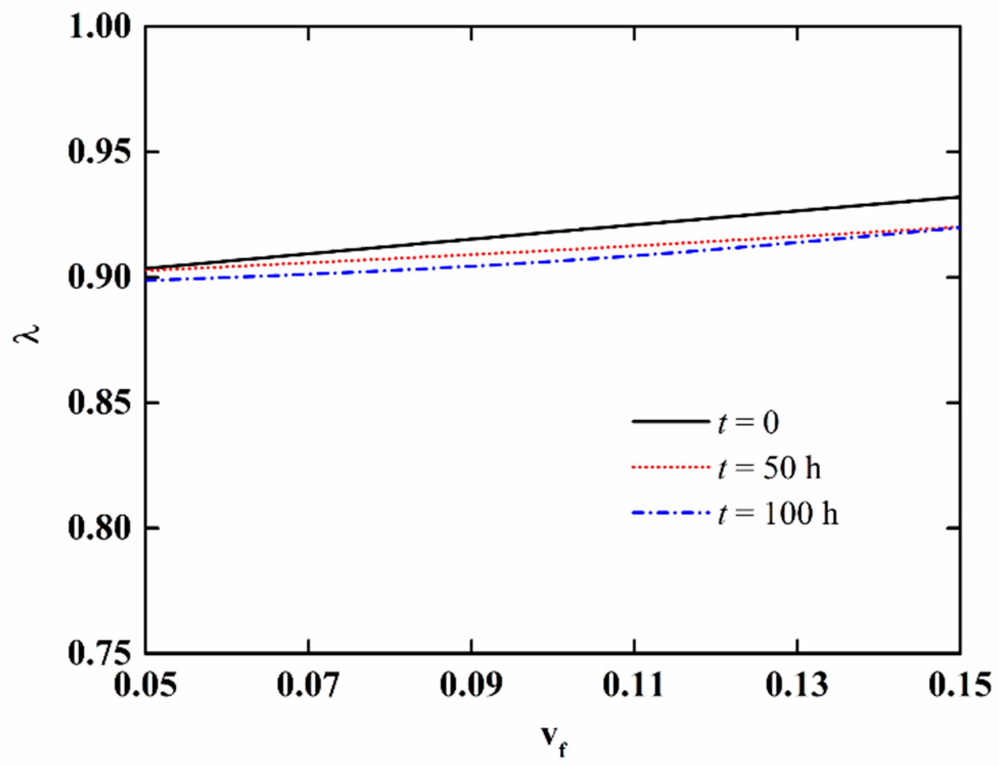
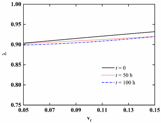
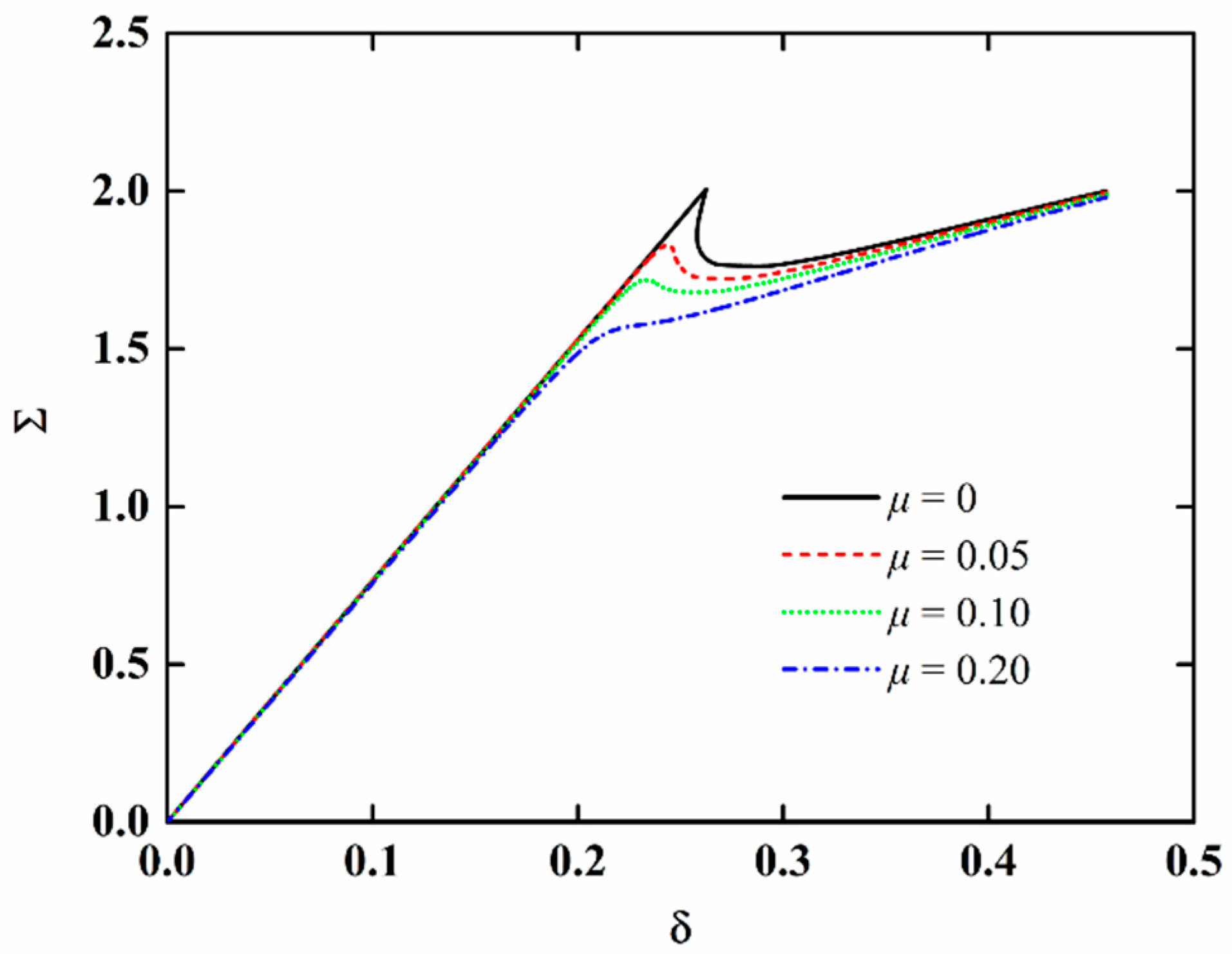
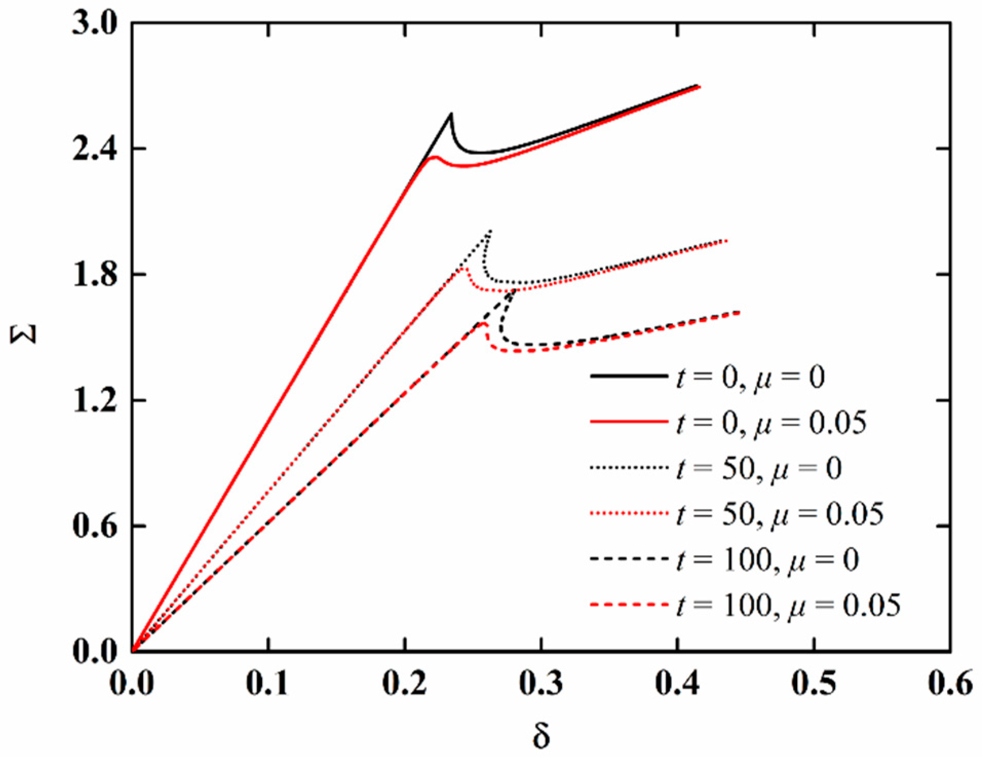
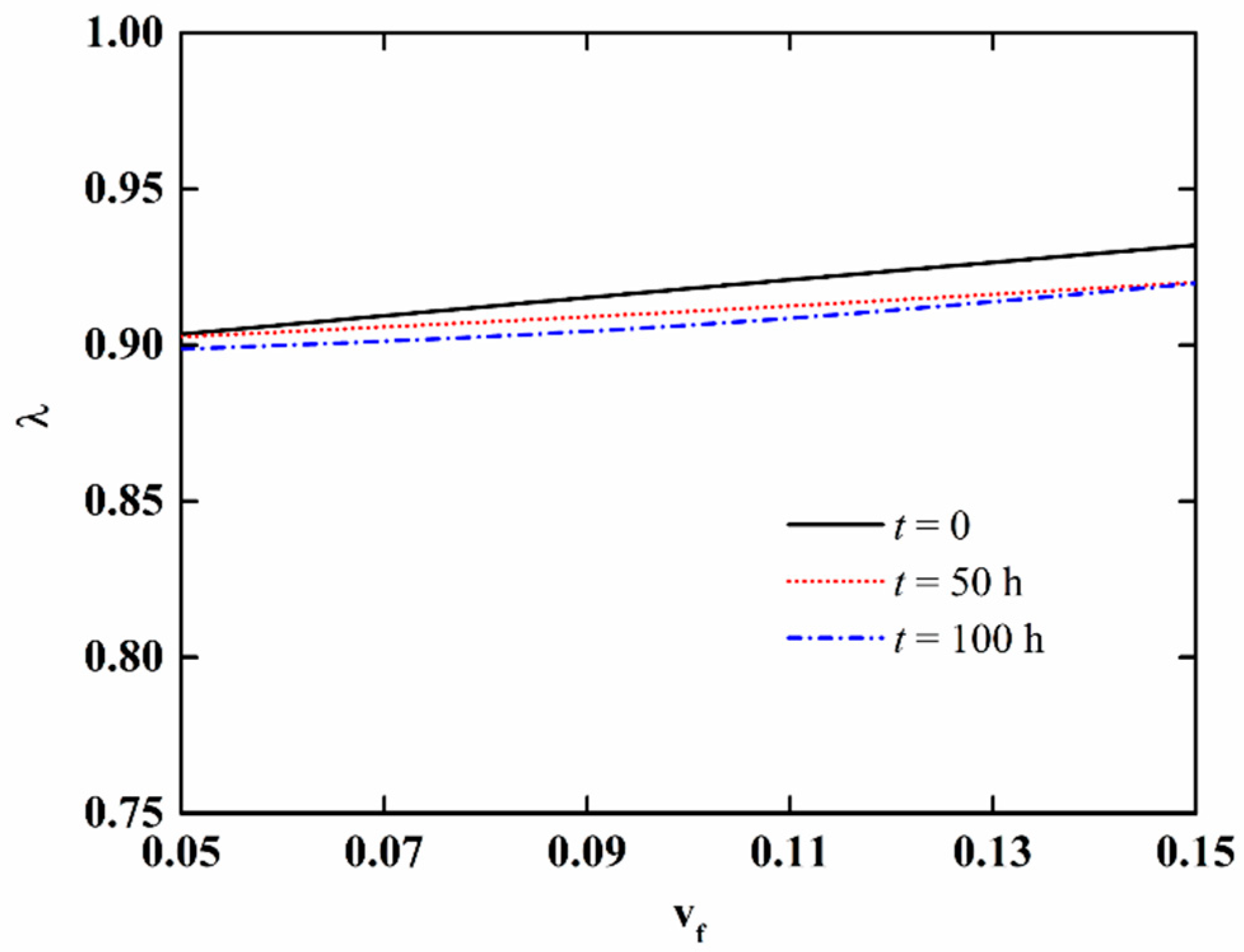
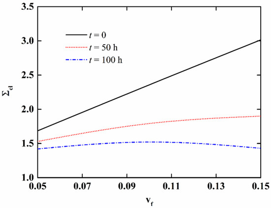
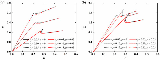
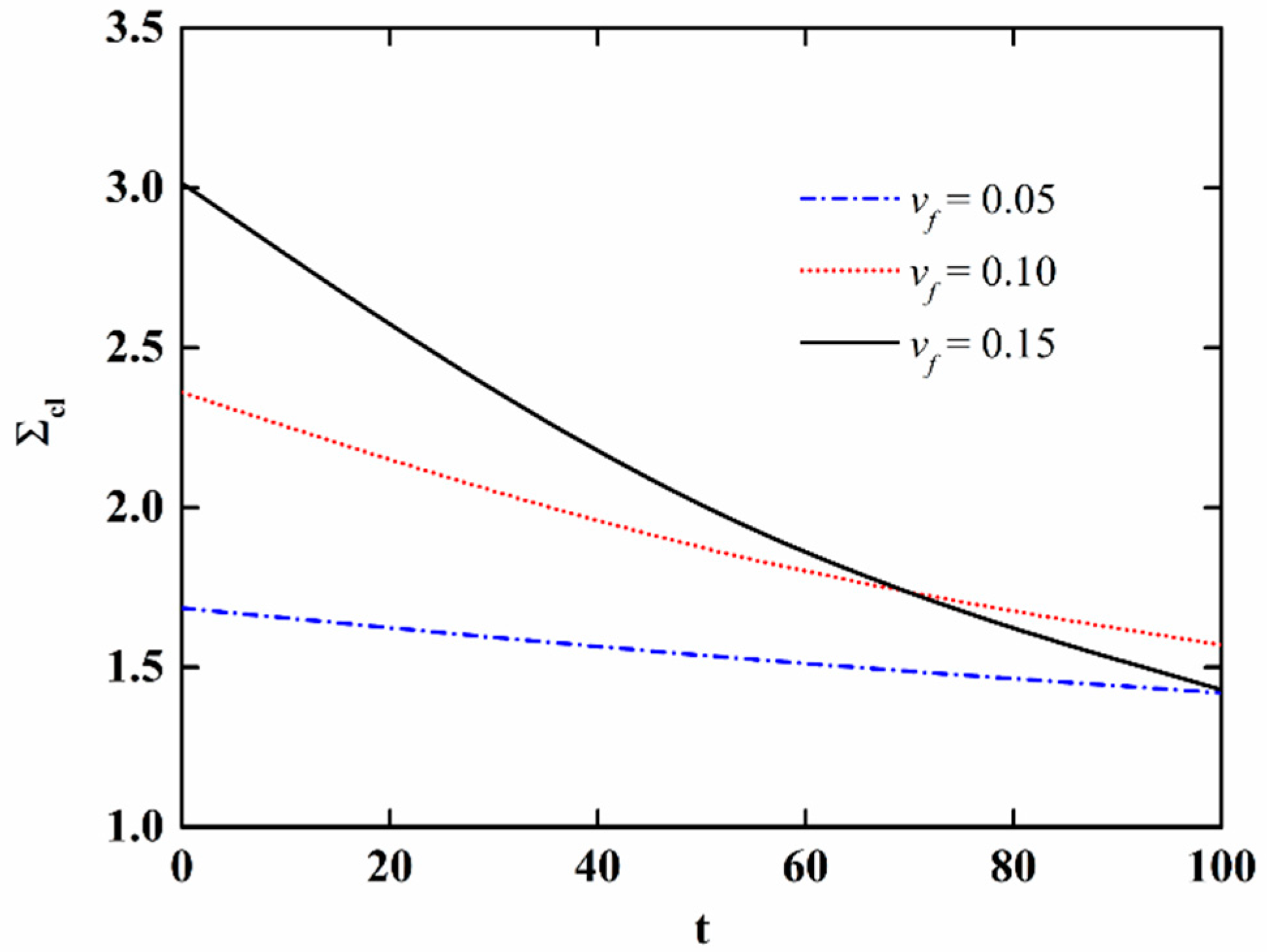
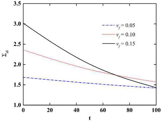
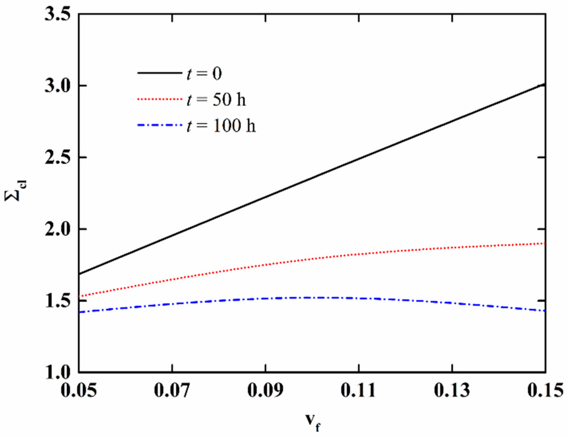
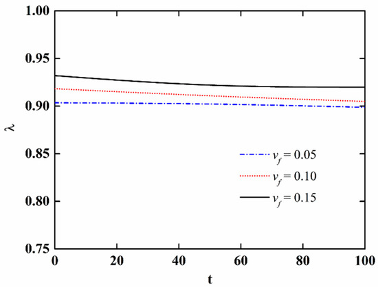
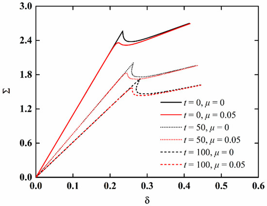
5.2. Parameter Study
6. Conclusions
Author Contributions
Funding
Institutional Review Board Statement
Informed Consent Statement
Data Availability Statement
Conflicts of Interest
References
- Kerni, L.; Singh, S.; Patnaik, A.; Kumar, N. A review on natural fiber reinforced composites. Mater. Today Proc. 2020, 28, 1616–1621. [Google Scholar] [CrossRef]
- Chichane, A.; Boujmal, R.; Barkany, A.E. Bio-composites and bio-hybrid composites reinforced with natural fibers: Review. Mater. Today Proc. 2022; in press. [Google Scholar] [CrossRef]
- Pan, Y.; Zhong, Z. A nonlinear constitutive model of unidirectional natural fiber reinforced composites considering moisture absorption. J. Mech. Phys. Solids 2014, 69, 132–142. [Google Scholar] [CrossRef]
- Rohit, K.; Dixit, S. A review—Future aspect of natural fiber reinforced composite. Polym. Renew. Resour. 2016, 7, 43–59. [Google Scholar] [CrossRef]
- Nayak, S.Y.; Sultan, M.T.H.; Shenoy, S.B.; Kini, C.R.; Samant, R.; Shah, A.U.M.; Amuthakkannan, P. Potential of natural fibers in composites for ballistic applications—A review. J. Nat. Fibers 2022, 19, 1648–1658. [Google Scholar] [CrossRef]
- Li, X.; Tabil, L.G.; Panigrahi, S. Chemical treatments of natural fiber for use in natural fiber-reinforced composites: A review. J. Polym. Environ. 2007, 15, 25–33. [Google Scholar] [CrossRef]
- Fuqua, M.A.; Huo, S.; Ulven, C.A. Natural fiber reinforced composites. Polym. Rev. 2012, 52, 259–320. [Google Scholar] [CrossRef]
- Lu, X.; Zhang, M.; Rong, M.; Shi, G.; Yang, G. All-plant fiber composites. II: Water absorption behavior and biodegradability of unidirectional sisal fiber reinforced benzylated wood. Polym. Compos. 2003, 24, 367–379. [Google Scholar] [CrossRef]
- Espert, A.; Vilaplana, F.; Karlsson, S. Comparison of water absorption in natural cellulosic fibres from wood and one-year crops in polypropylene composites and its influence on their mechanical properties. Compos. Part A 2004, 35, 1267–1276. [Google Scholar] [CrossRef]
- Khakpour, H.; Ayatollahi, M.R.; Akhavan-Safar, A.; da Silva, L.F.M. Mechanical properties of structural adhesives enhanced with natural date palm tree fibers: Effects of length, density and fiber type. Compos. Struct. 2020, 237, 111950. [Google Scholar] [CrossRef]
- Akhavan-Safar, A.; Salamat-Talab, M.; Delzendehrooy, F.; Zeinolabedin-Beygi, A.; da Silva, L.F.M. Effects of natural date palm tree fibers on mode II fracture energy of E-glass/epoxy plain-woven laminated composites. J. Braz. Soc. Mech. Sci. Eng. 2022, 44, 457. [Google Scholar] [CrossRef]
- Dalla Libera, V.; Teixeira, L.A.; Amico, S.C.; da Luz, S.M. Processing, thermal and mechanical properties of composite laminates with natural fibers prepregs. Polym. Polym. Compos. 2022, 30, 09673911221087591. [Google Scholar] [CrossRef]
- Ramaswamy, S.; Shariff, Z.A.; Munaf, A.A.; Leno, I.J.; Gnanaraj, S.J.P.; Jeshurun, S.B. Study on application of higher order lamination plate theory over various applications of natural fiber cross-ply composites. Mater. Today Proc. 2022, 60, 822–826. [Google Scholar] [CrossRef]
- Pawar, K.S.; Bagha, A.K.; Bahl, S.; Agrawal, M.K. Experimental investigation for the dynamic characteristics of short natural fiber reinforced composite materials. Indian J. Eng. Mat. Sci. 2022, 29, 366–377. [Google Scholar]
- Nandhakumar, S.; Mithresh Kanna, K.; Mohammed Riyas, A.; Nathin Bharath, M. Experimental investigations on natural fiber reinforced composites. Mater. Today Proc. 2021, 37, 2905–2908. [Google Scholar] [CrossRef]
- Patel, N.; Jain, P. An investigation on mechanical properties in randomly oriented short natural fiber reinforced composites. Mater. Today Proc. 2021, 37, 469–479. [Google Scholar] [CrossRef]
- Gupta, U.S.; Dharkar, A.; Dhamarikar, M.; Choudhary, A.; Wasnik, D.; Chouhan, P.; Tiwari, S.; Namdeo, R. Study on the effects of fiber orientation on the mechanical properties of natural fiber reinforced epoxy composite by finite element method. Mater. Today Proc. 2021, 45, 7885–7893. [Google Scholar] [CrossRef]
- Lim, J.H.; Ratnam, M.M.; Abdul Khalil, H.P.S. An experimental and finite element analysis of the static deformation of natural fiber-reinforced composite beam. Polym. Test. 2003, 22, 169–177. [Google Scholar] [CrossRef]
- Bavan, D.S.; Kumar, G.C.M. Finite Element analysis of a natural fiber (maize) composite beam. J. Eng. 2013, 2013, 450381. [Google Scholar] [CrossRef]
- Jirawattanasomkul, T.; Likitlersuang, S.; Wuttiwannasak, N.; Ueda, T.; Zhang, D.; Shono, M. Structural behaviour of pre-damaged reinforced concrete beams strengthened with natural fibre reinforced polymer composites. Compos. Struct. 2020, 244, 112309. [Google Scholar] [CrossRef]
- Rajeshkumar, G.; Hariharan, V. Free vibration characteristics of phoenix Sp fiber reinforced polymer matrix composite beams. Procedia Eng. 2014, 97, 687–693. [Google Scholar] [CrossRef]
- Rajesh, M.; Pitchaimani, J.; Rajini, N. Free vibration characteristics of banana/sisal natural fibers reinforced hybrid polymer composite beam. Procedia Eng. 2016, 144, 1055–1059. [Google Scholar] [CrossRef]
- Senthil Kumar, K.; Siva, I.; Jeyaraj, P.; Winowlin Jappes, J.T.; Amico, S.C.; Rajini, N. Synergy of fiber length and content on free vibration and damping behavior of natural fiber reinforced polyester composite beams. Mater. Des. 2014, 56, 379–386. [Google Scholar] [CrossRef]
- Kuriakose, V.M.; Rohith Sai, P.; Sanjaay Kumar, M.; Sreehari, V.M. Influence of CNT fillers in the vibration characteristics of natural fiber reinforced composite plates. Compos. Struct. 2022, 282, 115012. [Google Scholar] [CrossRef]
- Selvaraj, R.; Maneengam, A.; Sathiyamoorthy, M. Characterization of mechanical and dynamic properties of natural fiber reinforced laminated composite multiple-core sandwich plates. Compos. Struct. 2022, 284, 115141. [Google Scholar] [CrossRef]
- Wang, K.F.; Wang, B.L. A mechanical degradation model for bidirectional natural fiber reinforced composites under hydrothermal aging and applying in buckling and vibration analysis. Compos. Struct. 2018, 206, 594–600. [Google Scholar] [CrossRef]
- Xu, C.H.; Rong, D.L.; Zhou, Z.H.; Deng, Z.C.; Lim, C.W. Vibration and buckling characteristics of cracked natural fiber reinforced composite plates with corner point-supports. Eng. Struct. 2020, 214, 110614. [Google Scholar] [CrossRef]
- Zhang, J.L.; Ni, Y.W.; Li, Q.D.; Tong, Z.Z.; Zhou, Z.H.; Xu, X.S. A symplectic approach for buckling analysis of natural fiber reinforced composite shells under hygrothermal aging. Appl. Math. Mech. 2021, 42, 1238–1247. [Google Scholar]
- Meng, Z.; Luo, X.; Zhou, H. Lightweight design of arcuately stiffened cylindrical shells based on smeared stiffener method and active learning strategy. Thin-Walled Struct. 2022, 174, 109167. [Google Scholar] [CrossRef]
- Wagner, H.N.R.; Hühne, C. Robust knockdown factors for the design of cylindrical shells under axial compression: Potentials, practical application and reliability analysis. Int. J. Mech. Sci. 2018, 135, 410–430. [Google Scholar] [CrossRef]
- Koiter, W.T. On the Stability of Elastic Equilibrium; National Aeronautics and Space Administration: Washington, DC, USA, 1967. [Google Scholar]
- Narayana, Y.V.; Gunda, J.B.; Reddy, P.R.; Markandeya, R. Non-linear buckling and post-buckling analysis of cylindrical shells subjected to axial compressive loads: A study on imperfection sensitivity. Nonlinear Eng. 2013, 2, 83–95. [Google Scholar] [CrossRef]
- Sun, Y.; Tian, K.; Li, R.; Wang, B. Accelerated Koiter method for post-buckling analysis of thin-walled shells under axial compression. Thin-Walled Struct. 2020, 155, 106962. [Google Scholar] [CrossRef]
- Shairyat, M.; Eslami, M.R. Dynamic buckling and post-buckling of imperfect cylindrical shells under mechanical and thermal loads, based on the three-dimensional theory of elasticity. J. Appl. Mech. 1999, 66, 476–484. [Google Scholar] [CrossRef]
- Eslami, M.R.; Shariyat, M.; Shakeri, M. Layerwise Theory for dynamic buckling and postbuckling of laminated composite cylindrical shells. AIAA J. 1998, 36, 1874–1882. [Google Scholar] [CrossRef]
- Shen, H.S. Buckling and Postbuckling of anisotropic laminated cylindrical shells with piezoelectric fiber reinforced composite actuators. Mech. Adv. Mater. Struct. 2010, 17, 268–279. [Google Scholar] [CrossRef]
- Shen, H.S. Postbuckling of functionally graded fiber reinforced composite laminated cylindrical shells, Part I: Theory and solutions. Compos. Struct. 2012, 94, 1305–1321. [Google Scholar] [CrossRef]
- Shen, H.S. Postbuckling of functionally graded fiber reinforced composite laminated cylindrical shells, Part II: Numerical results. Compos. Struct. 2012, 94, 1322–1332. [Google Scholar] [CrossRef]
- Shen, H.S.; Xiang, Y. Postbuckling behavior of functionally graded graphene-reinforced composite laminated cylindrical shells under axial compression in thermal environments. Comput. Methods Appl. Mech. Eng. 2018, 330, 64–82. [Google Scholar] [CrossRef]
- Shen, H.S.; Xiang, Y. Effect of negative Poisson’s ratio on the postbuckling behavior of axially compressed FG-GRMMC laminated cylindrical shells surrounded by an elastic medium. Eur. J. Mech. A Solids 2021, 88, 104231. [Google Scholar] [CrossRef]
- Babaei, H.; Kiani, Y.; Eslami, M.R. Buckling and post-buckling analysis of geometrically imperfect FGM pin-ended tubes surrounded by nonlinear elastic medium under compressive and thermal loads. Int. J. Struct. Stab. Dyn. 2019, 19, 1950089. [Google Scholar] [CrossRef]
- Li, Z.M.; Liu, T.; Yang, D.Q. Postbuckling behavior of shear deformable anisotropic laminated cylindrical shell under combined external pressure and axial compression. Compos. Struct. 2018, 198, 84–108. [Google Scholar] [CrossRef]
- Foroutan, K.; Shaterzadeh, A.; Ahmadi, H. Static and dynamic postbuckling analysis of imperfect SSFG cylindrical shells surrounded by nonlinear elastic foundation subjected to an axial compression. Mech. Adv. Mater. Struct. 2022, 29, 1769–1781. [Google Scholar] [CrossRef]
- Reddy, J.N.; Liu, C.F. A higher-order shear deformation theory of laminated elastic shells. Int. J. Eng. Sci. 1985, 23, 319–330. [Google Scholar] [CrossRef]
- Amabili, M. Nonlinear Vibrations and Stability of Shells and Plates; Cambridge University Press: Cambridge, UK, 2008. [Google Scholar]
- Yamaki, N. Elastic Stability of Circular Cylindrical Shells; Elsevier: Amsterdam, The Netherlands, 1984. [Google Scholar]
- Sun, J.B.; Zhu, S.B.; Tong, Z.Z.; Zhou, Z.H.; Xu, X.S. Post-buckling analysis of functionally graded multilayer graphene platelet reinforced composite cylindrical shells under axial compression. Proc. R. Soc. A Math. Phys. Eng. Sci. 2020, 476, 20200506. [Google Scholar] [CrossRef]
- Bisagni, C.; Cordisco, P. An experimental investigation into the buckling and post-buckling of CFRP shells under combined axial and torsion loading. Compos. Struct. 2003, 60, 391–402. [Google Scholar] [CrossRef]












Publisher’s Note: MDPI stays neutral with regard to jurisdictional claims in published maps and institutional affiliations. |
© 2022 by the authors. Licensee MDPI, Basel, Switzerland. This article is an open access article distributed under the terms and conditions of the Creative Commons Attribution (CC BY) license (https://creativecommons.org/licenses/by/4.0/).
Share and Cite
Zhang, H.; Bai, H.; Zuo, Z. Nonlinear Stability of Natural-Fiber-Reinforced Composite Cylindrical Shells with Initial Geometric Imperfection Considering Moisture Absorption and Hygrothermal Aging. Materials 2022, 15, 6917. https://doi.org/10.3390/ma15196917
Zhang H, Bai H, Zuo Z. Nonlinear Stability of Natural-Fiber-Reinforced Composite Cylindrical Shells with Initial Geometric Imperfection Considering Moisture Absorption and Hygrothermal Aging. Materials. 2022; 15(19):6917. https://doi.org/10.3390/ma15196917
Chicago/Turabian StyleZhang, Hongyu, Haifeng Bai, and Zhongyi Zuo. 2022. "Nonlinear Stability of Natural-Fiber-Reinforced Composite Cylindrical Shells with Initial Geometric Imperfection Considering Moisture Absorption and Hygrothermal Aging" Materials 15, no. 19: 6917. https://doi.org/10.3390/ma15196917
APA StyleZhang, H., Bai, H., & Zuo, Z. (2022). Nonlinear Stability of Natural-Fiber-Reinforced Composite Cylindrical Shells with Initial Geometric Imperfection Considering Moisture Absorption and Hygrothermal Aging. Materials, 15(19), 6917. https://doi.org/10.3390/ma15196917
