Electrical and Magnetic Transport Properties of Co2VGa Half-Metallic Heusler Alloy
Abstract
:1. Introduction
2. Materials and Methods
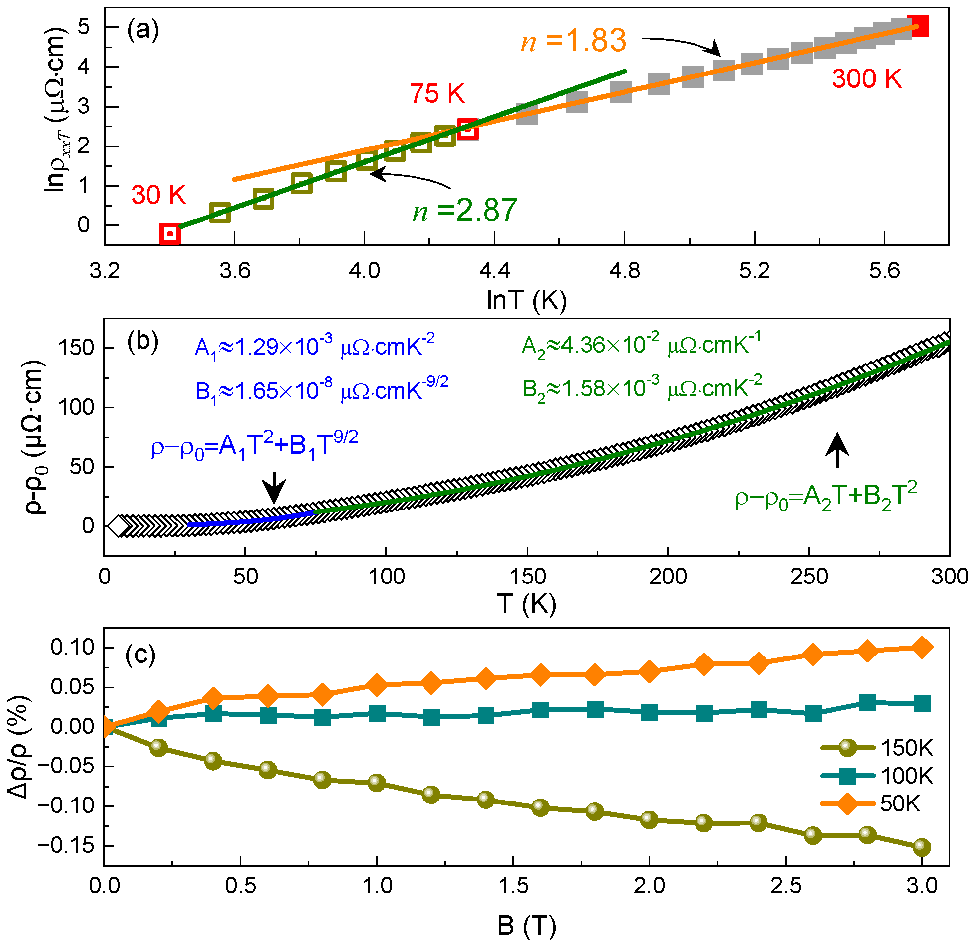
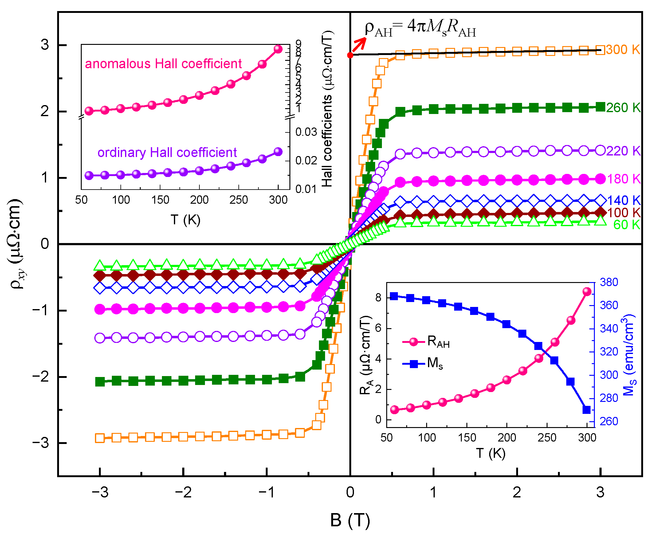
3. Results and Discussion
4. Conclusions
Author Contributions
Funding
Institutional Review Board Statement
Informed Consent Statement
Data Availability Statement
Conflicts of Interest
References
- de Groot, R.A.; Mueller, F.M.; van Engen, P.G.; Buschow, K.H.J. New Class of Materials: Half-Metallic Ferromagnets. Phys. Rev. Lett. 1983, 50, 2024. [Google Scholar] [CrossRef]
- Katsnelson, M.I.; Irkhin, V.Y.; Chioncel, L.; Lichtenstein, A.I.; de Groot, R.A. Half-metallic ferromagnets: From band structure to many-body effects. Rev. Mod. Phys. 2008, 80, 315–378. [Google Scholar] [CrossRef]
- Kübler, J.; William, A.R.; Sommers, C.B. Formation and coupling of magnetic moments in Heusler alloys. Phys. Rev. B 1983, 28, 1745–1755. [Google Scholar] [CrossRef]
- Schwarzt, K. CrO2 predicted as a half-metallic ferromagnet. J. Phys. F Met. Phys. 1986, 16, L211. [Google Scholar] [CrossRef]
- van Leuken, H.; de Groot, R.A. Half-Metallic Antiferromagnets. Phys. Rev. Lett. 1995, 74, 1171–1173. [Google Scholar] [CrossRef]
- Park, J.H.; Vescovo, E.; Kim, H.J.; Kwon, C.; Ramesh, R.; Venkatesan, T. Direct evidence for a half-metallic ferromagnet. Nature 1998, 392, 794–796. [Google Scholar] [CrossRef]
- Chen, P.; Xing, D.Y.; Du, Y.W.; Zhu, J.M.; Feng, D. Giant Room-Temperature Magnetoresistance in Polycrystalline Zn0.41Fe2.59O4 with α-Fe2O3 Grain Boundaries. Phys. Rev. Lett. 2001, 87, 107202. [Google Scholar] [CrossRef]
- Trudel, S.; Gaier, O.; Hamrle, J.; Hillebrands, B. Magnetic anisotropy, exchange and damping in cobalt-based full-Heusler compounds: An experimental review. J. Phys. D Appl. Phys. 2010, 43, 193001. [Google Scholar] [CrossRef]
- Kanomata, T.; Chieda, Y.; Endo, K.; Okada, H.; Nagasako, M.; Kobayashi, K.; Kainuma, R.; Umetsu, R.Y.; Takahashi, H.; Furutani, Y.; et al. Magnetic properties of the half-metallic Heusler alloys Co2VAl and Co2VGa under pressure. Phys. Rev. B 2010, 82, 144415. [Google Scholar] [CrossRef]
- Bentouaf, A.; Hassan, F.H.; Reshak, A.H.; Aïssa, B. First-Principles Study on the Structural, Electronic, Magnetic and Thermodynamic Properties of Full Heusler Alloys Co2VZ (Z =Al, Ga). J. Electron. Mater. 2017, 46, 130–142. [Google Scholar] [CrossRef]
- Han, J.J.; Wang, Z.W.; Xu, W.W.; Wang, C.P.; Liu, X.J. Investigation of half-metallic ferromagnetism in Heusler compounds Co2VZ (Z = Ga, Ge, As, Se). J. Magn. Magn. Mater. 2017, 442, 80–86. [Google Scholar] [CrossRef]
- Li, C.M.; Zhang, Y.; Feng, W.J.; Huang, R.Z.; Gao, M. Correlation between the composition-dependent properties and phase stability of Co2YGa (Y = Cr, V) shape-memory alloys from first-principles study. Phys. Rev. B 2020, 101, 054106. [Google Scholar] [CrossRef]
- Otto, M.J.; van Woerden, R.A.M.; van der Valk, P.J.; Wijngaard, J.; van Bruggen, C.F.; Haas, C. Half-metallic ferromagnets. II. Transport properties of NiMnSb and related inter-metallic compounds. J. Phys. Condens. Matter 1989, 1, 2351–2360. [Google Scholar] [CrossRef]
- Akimoto, T.; Moritomo, Y.; Nakamura, A.; Furukawa, N. Observation of Anomalous Single-Magnon Scattering in Half-Metallic Ferromagnets by Chemical Pressure Control. Phys. Rev. Lett. 2000, 85, 3914–3917. [Google Scholar] [CrossRef] [PubMed]
- Srinivas, K.; Prasanna Kumari, T.; Manivel Raja, M.; Kamat, S.V. Effect of Fe substitution for Co on structure, electrical resistivity, and magnetic properties of Heusler type Co2−xFe1+xSi alloys. J. Appl. Phys. 2013, 114, 033911. [Google Scholar] [CrossRef]
- Rani, D.; Kangsabanik, J.; Suresh, K.G.; Patra, N.; Bhattacharyya, D.; Jha, S.N.; Alam, A. Origin of Local Atomic Order and Disorder in Co2Fe1-xCrxSi Heusler Alloys: Theory and Experiment. Phys. Rev. Appl. 2018, 10, 054022. [Google Scholar] [CrossRef]
- Li, P.G.; Koo, J.; Ning, W.; Li, J.G.; Miao, L.X.; Min, L.J.; Zhu, Y.L.; Wang, Y.; Alem, N.; Liu, C.X.; et al. Giant room temperature anomalous Hall effect and tunable topology in a ferromagnetic topological semimetal Co2MnAl. Nat. Commun. 2020, 11, 3476. [Google Scholar] [CrossRef]
- Belopolski, I.; Manna, K.; Sanchez, D.S.; Chang, G.; Ernst, B.; Yin, J.; Zhang, S.S.; Cochran, T.; Shumiya, N.; Zheng, H.; et al. Discovery of topological Weyl fermion lines and drumhead surface states in a room temperature magnet. Science 2019, 365, 1278–1281. [Google Scholar] [CrossRef]
- Luttinger, J.M.; Kohn, W. Motion of Electrons and Holes in Perturbed Periodic Fields. Phys. Rev. 1955, 97, 869–883. [Google Scholar] [CrossRef]
- Berger, L. Side-Jump Mechanism for the Hall Effect of Ferromagnets. Phys. Rev. B 1970, 2, 4559–4566. [Google Scholar] [CrossRef]
- Karplus, R.; Luttinger, J.M. Hall Effect in Ferromagnetics. Phys. Rev. 1954, 95, 1154–1160. [Google Scholar] [CrossRef]
- Shukla, G.K.; Sau, J.; Shahi, N.; Singh, A.K.; Kumar, M.; Singh, S. Anomalous Hall Effect from gapped nodal line in the Co2FeGe Heusler compound. Phys. Rev. B 2021, 104, 195108. [Google Scholar] [CrossRef]
- Shukla, G.K.; Jena, A.K.; Shahi, N.; Dubey, K.K.; Rajput, I.; Baral, S.; Yadav, K.; Mukherjee, K.; Lakhani, A.; Carva, K.; et al. Atomic disorder and Berry phase driven anomalous Hall effect in a Co2FeAl Heusler Compound. Phys. Rev. B 2022, 105, 03512. [Google Scholar] [CrossRef]
- Rodríguez-Carvajal, J. Recent advances in magnetic structure determination by neutron powder diffraction. Physica B 1993, 192, 55–69. [Google Scholar] [CrossRef]
- Liu, C.; Li, D.; Li, Z.B.; Yang, B.; Yan, H.L.; Li, J.R.; Li, Z.; Zhao, X.; Zuo, L. Large elastocaloric effect in a Heusler-type Co50V35Ga14Ni1 polycrystalline alloy. Appl. Phys. Lett. 2021, 118, 103904. [Google Scholar] [CrossRef]
- Umetsu, R.Y.; Kobayashi, K.; Kainuma, R.; Yamaguchi, Y.; Ohoyama, K.; Sakuma, A.; Ishida, K. Powder neutron diffraction studies for the L21 phase of Co2YGa (Y =Ti, V, Cr, Mn and Fe) Heusler alloys. J. Alloys Compd. 2010, 499, 1–6. [Google Scholar] [CrossRef]
- Buschow, K.H.J.; van Engen, P.G. Magnetic and Magneto-Optical Properties of Heusler Alloys Based on Aluminium and Gallium. J. Magn. Magn. Mater. 1981, 25, 90–96. [Google Scholar] [CrossRef]
- Galanakis, I.; Dederichs, P.H.; Papanikolaou, N. Slater-Pauling behavior and origin of the falf-metallicity of the full-Heusler alloys. Phys. Rev. B 2002, 66, 174429. [Google Scholar] [CrossRef]
- Prestigiacomo, J.C.; Young, D.P.; Adams, P.W.; Stadler, S. Hall effect and the magnetotransport properties of Co2MnSi1-xAlx Heusler alloys. J. Appl. Phys. 2014, 115, 043712. [Google Scholar] [CrossRef]
- Rath, J.; Freeman, A.J. Generalized magnetic susceptibilities in metals: Application of the analytic tetrahedron linear energy method to Sc. Phys. Rev. B 1975, 11, 2109–2117. [Google Scholar] [CrossRef]
- Kubo, K.; Ohata, N. A Quantum Theory of Double Exchange. Ⅰ*. J. Phys. Soc. Jpn. 1972, 33, 21–32. [Google Scholar] [CrossRef]
- Irkhin, V.Y.; Katsnelson, M.I. Temperature dependences of resistivity and magnetoresistivity for half-metallic ferromagnets. Eur. Phys. J. B 2002, 30, 481–486. [Google Scholar] [CrossRef]
- Bombor, D.; Blum, C.G.F.; Volkonskiy, O.; Rodan, S.; Wurmehl, S.; Hess, C.; Büchner, B. Half-Metallic Ferromagnetism with Unexpectedly Small Spin Splitting in the Heusler Compound Co2FeSi. Phys. Rev. Lett. 2013, 110, 066601. [Google Scholar] [CrossRef]
- Blinov, M.; Aryal, A.; Pandey, S.; Dubenko, I.; Talapatra, S.; Prudnikov, V.; Lähderanta, E.; Stadler, S.; Buchelnikov, V.; Sokolovskiy, V.; et al. Effects of magnetic and structural phase transitions on the normal and anomalous Hall effects in Ni-Mn-In-B Heusler alloys. Phys. Rev. B 2020, 101, 094423. [Google Scholar] [CrossRef]
- Nagaosa, N.; Sinova, J.; Onoda, S.; MacDonald, A.H.; Ong, N.P. Anomalous Hall Effect. Rev. Mod. Phys. 2010, 82, 1539–1592. [Google Scholar] [CrossRef]
- Gerber, A.; Milner, A.; Finkler, A.; Karpovski, M.; Goldsmith, L.; Tuaillon-Combes, J.; Boisron, O.; Mélinon, P.; Perez, A. Correlation between the extraordinary Hall effect and resistivity. Phys. Rev. B 2004, 69, 224403. [Google Scholar] [CrossRef]
- Tian, Y.; Ye, L.; Jin, X. Proper Scaling of the Anomalous Hall Effect. Phys. Rev. Lett. 2009, 103, 087206. [Google Scholar] [CrossRef]
- Kübler, J.; Felser, C. Berry curvature and the anomalous Hall effect in Heusler compounds. Phys. Rev. B 2012, 85, 012405. [Google Scholar] [CrossRef]
- Nozières, P.; Lewiner, C. A Simple Theory of the Anomalous Hall Effect in Semiconductors. J. Phys. Fr. 1973, 34, 901–915. [Google Scholar] [CrossRef]
- Wang, Q.; Sun, S.S.; Zhang, X.; Pang, F.; Lei, H.C. Anomalous Hall effect in a ferromagnetic Fe3Sn2 single crystal with a geometrically frustrated Fe bilayer Kagome lattice. Phys. Rev. B 2016, 94, 075135. [Google Scholar] [CrossRef] [Green Version]
- Kim, K.; Seo, J.; Lee, E.; Ko, K.-T.; Kim, B.S.; Jang, B.G.; Ok, J.M.; Lee, J.; Jo, Y.J.; Kang, W.; et al. Large anomalous Hall current induced by topological nodal lines in a ferromagnetic van der Waals semimetal. Nat. Mater. 2018, 17, 794–799. [Google Scholar] [CrossRef] [PubMed]




Publisher’s Note: MDPI stays neutral with regard to jurisdictional claims in published maps and institutional affiliations. |
© 2022 by the authors. Licensee MDPI, Basel, Switzerland. This article is an open access article distributed under the terms and conditions of the Creative Commons Attribution (CC BY) license (https://creativecommons.org/licenses/by/4.0/).
Share and Cite
Yu, L.; Li, Z.; Zhu, J.; Liu, H.; Zhang, Y.; Cao, Y.; Xu, K.; Liu, Y. Electrical and Magnetic Transport Properties of Co2VGa Half-Metallic Heusler Alloy. Materials 2022, 15, 6138. https://doi.org/10.3390/ma15176138
Yu L, Li Z, Zhu J, Liu H, Zhang Y, Cao Y, Xu K, Liu Y. Electrical and Magnetic Transport Properties of Co2VGa Half-Metallic Heusler Alloy. Materials. 2022; 15(17):6138. https://doi.org/10.3390/ma15176138
Chicago/Turabian StyleYu, Litao, Zhe Li, Jiajun Zhu, Hongwei Liu, Yuanlei Zhang, Yiming Cao, Kun Xu, and Yongsheng Liu. 2022. "Electrical and Magnetic Transport Properties of Co2VGa Half-Metallic Heusler Alloy" Materials 15, no. 17: 6138. https://doi.org/10.3390/ma15176138
APA StyleYu, L., Li, Z., Zhu, J., Liu, H., Zhang, Y., Cao, Y., Xu, K., & Liu, Y. (2022). Electrical and Magnetic Transport Properties of Co2VGa Half-Metallic Heusler Alloy. Materials, 15(17), 6138. https://doi.org/10.3390/ma15176138

