Extraction of Alkalis from Silicate Materials PART 2—Crystalline Silicate Materials
Abstract
:1. Introduction
2. Materials and Methods
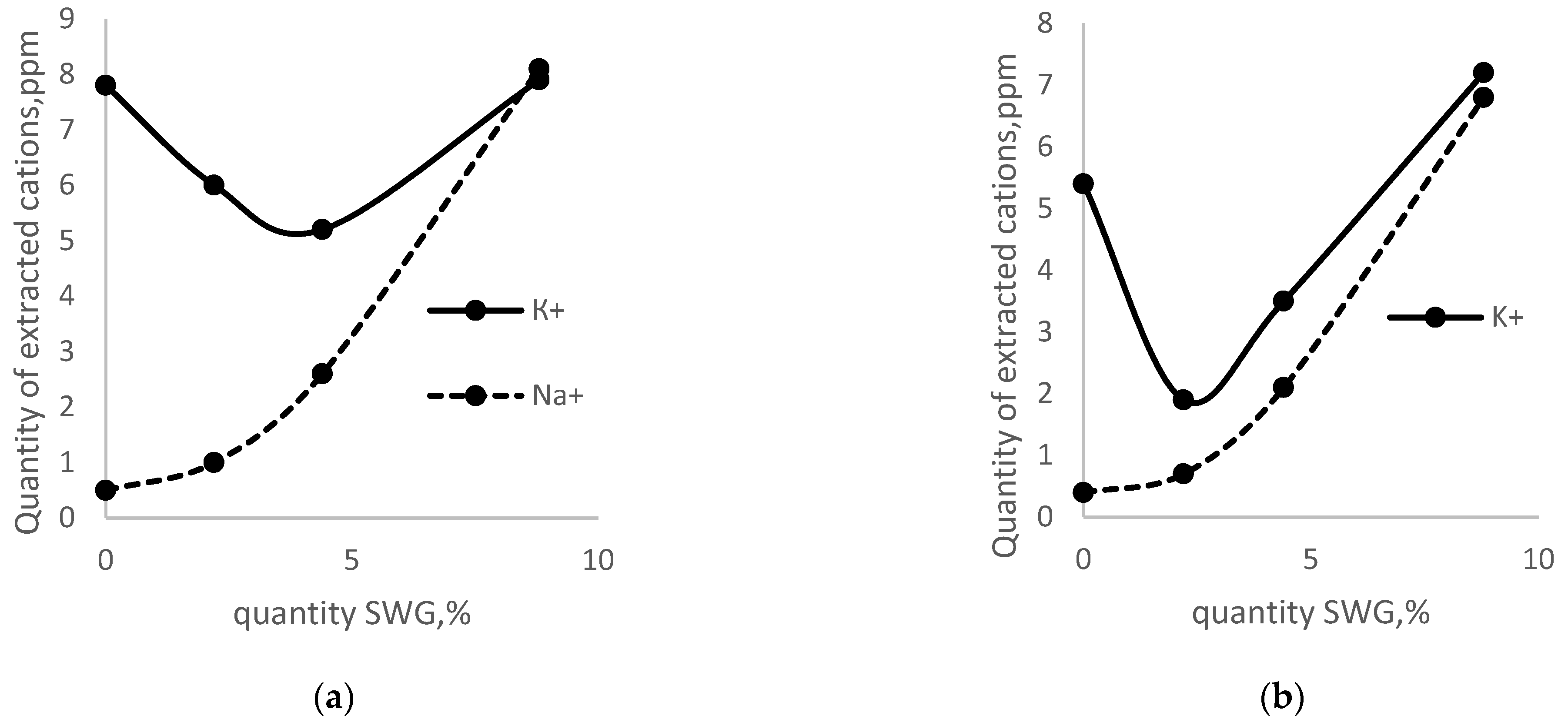
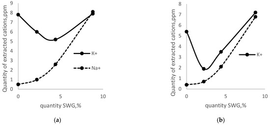
3. Results
4. Conclusions
Author Contributions
Funding
Institutional Review Board Statement
Informed Consent Statement
Data Availability Statement
Acknowledgments
Conflicts of Interest
References
- Szewczenko, W. Extraction of Alkalis from Silicate Materials Part 1—Amorphous Silicate Materials. Materials 2022, 15, 4056. [Google Scholar] [CrossRef] [PubMed]
- Kurdowski, W. Chemia Cementu i Betonu; Stowarzyszenie Producentów Cementu: Kraków, Poland, 2010. [Google Scholar]
- Pashchenko, A. Teoria Cementa; Bydivelnyk: Kiev, Ukraine, 1991. [Google Scholar]
- Roszczynialski, W. Rola Alkaliów w Cemencie z Uwzgłednieniem Związku Ich Ilością a Możliwością Zastosowania Do Produkcji Betonów Różnych Rodzajów Kruszyw Łamanych. Cz.1. Przegląd Geol. 1979, 27, 75–80. [Google Scholar]
- Kalinowski, W.; Janecka, L. Disturbancesof Clinker Burning Process with Incresed of Alternative Fuels. Pr. Inst. Ceram. Mater. Bud. 2013, 6, 30–44. [Google Scholar]
- Kurdowski, W. Podstawy Chemiczne Mineralnych Materiałów Budowlanych i Ich Właściwości; Stowarzyszenie Producentów Cementu: Kraków, Poland, 2018. [Google Scholar]
- PN-EN 197-1:2012. Cement-Part1: Composition, Specifications and Conformity Criteria for Commoncements. Polish Committee for Standardization: Warsaw, Poland, 2012; p. 38.
- Taylor, H.F.W. Cement Chemistry; Thomas Telford Publishing: London, UK, 1997; ISBN 0-7277-3945-X. [Google Scholar]
- Pawluk, J. Importance of Sodium and Potassium in Portland Clinkier. Cement-Wapno-Beton 2016, 1, 20–26. [Google Scholar]
- Handke, M. Krystalochemia Krzemianów; AGH, Uczelniane Wydawnictwa Naukowo-Dydaktyczne: Kraków, Poland, 2008. [Google Scholar]
- Shi, C.; Roy, D.; Krivenko, P. Alkali-Activated Cements and Concretes; CRC Press: Boca Raton, FL, USA, 2003; ISBN 9780429180712. [Google Scholar]
- Łukowski, P. Modyfikacja Materiałowa Betonu; Stowarzyszenie Producentów Cementu: Kraków, Poland, 2016. [Google Scholar]
- Palomo, A.; Maltseva, O.; Garcia-Lodeiro, I.; Fernández-Jiménez, A. Portland Versus Alkaline Cement: Continuity or Clean Break: “A Key Decision for Global Sustainability”. Front. Chem. 2021, 9, 705475. [Google Scholar] [CrossRef] [PubMed]
- Adesina, A. Performance and Sustainability Overview of Alkali-Activated Self-Compacting Concrete. Waste Dispos. Sustain. Energy 2020, 2, 165–175. [Google Scholar] [CrossRef]
- Fernández-Jiménez, A.; Cristelo, N.; Miranda, T.; Palomo, Á. Sustainable Alkali Activated Materials: Precursor and Activator Derived from Industrial Wastes. J. Clean. Prod. 2017, 162, 1200–1209. [Google Scholar] [CrossRef]
- Nehdi, M.L.; Yassine, A. Mitigating Portland Cement CO2 Emissions Using Alkali-Activated Materials: System Dynamics Model. Materials 2020, 13, 4685. [Google Scholar] [CrossRef] [PubMed]
- Palomo, A.; Krivenko, P.; Garcia-Lodeiro, I.; Kavalerova, E.; Maltseva, O.; Fernández-Jiménez, A. A Review on Alkaline Activation: New Analytical Perspectives. Mater. Construcción 2014, 64, e022. [Google Scholar] [CrossRef]
- Wang, J.; Lyu, X.; Wang, L.; Cao, X.; Liu, Q.; Zang, H. Influence of the Combination of Calcium Oxide and Sodium Carbonate on the Hydration Reactivity of Alkali-Activated Slag Binders. J. Clean. Prod. 2018, 171, 622–629. [Google Scholar] [CrossRef]
- Zdzisława, O. Korozja Wewnętrzna Betonu; Wydawnictwo Politechniki Świętokrzyskiej: Kielce, Poland, 2015; Available online: http://bc.tu.kielce.pl/96/1/M66.pdf (accessed on 1 December 2021).
- Szewczenko, W.; Kotsay, G. Influence of Water Glass Introduction Methods on Selected Properties of Portland Cement. Materials 2021, 14, 3257. [Google Scholar] [CrossRef] [PubMed]
- Cement Ożarów. Available online: http://ozarow.com.pl (accessed on 14 December 2021).
- Zakłady Chemiczne “RUDNIKI”, S.A. Available online: http://www.zchrudniki.Com.Pl (accessed on 14 December 2021).
- PN-EN, 196-6. Cement Testing Methods-Part 6: Determination of Grinding Degree. Polish Committee for Standardization: Warsaw, Poland, 2019.
- Yaschyshyn, J. Technologia Skla Fizyka i Khimia Skla; Politechnika Lvivska: Lviv, Ukraine, 2008. [Google Scholar]
- Paul, A. Chemistry of Glasses; Springer: Dordrecht, The Netherlands, 1982; ISBN 978-94-009-5920-0. [Google Scholar]



| Phase (Shortened Cement Chemical Notion 1) | Mineralogical Term | Contents of Admixtures [wt.%] | ||||||
|---|---|---|---|---|---|---|---|---|
| Al2O3 | Fe2O3 | MgO | SiO2 | Na2O | K2O | TiO2 | ||
| Tricalcium silicate (C3S) | Alite | 0.7–1.7 | 0.4–1.6 | 0.3–1.0 | - | 0.1–0.3 | 0.1–0.3 | 0.1–0.4 |
| Dicalcium silicate (C2S) | Belite | 1.1–2.6 | 0.7–2.2 | 0.2–0.6 | - | 0.2–1.0 | 0.3–1.0 | 0.1–0.3 |
| Tricalcium aluminate (C3A) | Aluminate | - | 4.4–6.0 | 0.4–1.0 | 2.1–4.2 | 0.3–1.7 | 0.4–1.1 | 0.1–0.6 |
| Tetracalcium aluminoferrite (C4AF) | Brownmillerite | - | - | 0.4–3.8 | 1.2–6.0 | 0.0–0.5 | 0.0–0.1 | 0.9–2.6 |
| Hydration Time | Compressive Strength [MPa] | |
|---|---|---|
| Content in Cement 1 0.6% Na2O+K2O | Content in Cement 2 1.6% Na2O+K2O | |
| 12 h | 5.9 | 6.3 |
| 1 day | 21.7 | 22.9 |
| 3 days | 52.8 | 54.2 |
| 7 days | 67.1 | 67.1 |
| 14 days | 83.8 | 83.2 |
| 28 days | 85.7 | 84.8 |
| Materials | Oxides (wt%) | ||||||||
|---|---|---|---|---|---|---|---|---|---|
| SiO2 | Al2O3 | Fe2O3 | CaO | MgO | Na2O | K2O | SO3 | H2O | |
| CEM I 42.5N | 21.26 | 4.13 | 5.40 | 64.21 | 1.88 | 0.13 | 0.47 | 2.52 | - |
| Sodium water glass (SWG) | 26.14 | - | - | - | - | 7.86 | - | - | 66.00 |
| Potassium water glass (PWG) | 23.56 | - | - | - | - | - | 6.58 | - | 69.86 |
| The Composition | Two Days in Air | 28 Days in Air | 28 Days in Water | Density, g/cm3 | |||
|---|---|---|---|---|---|---|---|
| R*, MPa | R**, MPa | R*, MPa | R**, MPa | R*, MPa | R**, MPa | ||
| CEM I 42.5N-100% | 5.4 | 23.1 | 8.9 | 46.5 | 9.0 | 47.5 | 2.306 |
| CEM I 42.5N +SWG-2.2% | 5.3 | 20.7 | 8.2 | 38.3 | 8.7 | 36.7 | 2.316 |
| CEM I 42.5N +SWG-4.4% | 5.1 | 17.0 | 7.2 | 31.4 | 7.8 | 30.9 | 2.256 |
| CEM I 42.5N +SWG-8.8% | 3.2 | 11.5 | 4.6 | 24.2 | 0.8 | 12.5 | 1.723 |
| CEM I 42.5N +PWG-2.2% | 5.5 | 24.5 | 8.6 | 50.0 | 8.5 | 52.0 | 2.267 |
| CEM I 42.5N +PWG-4.4% | 5.2 | 21.4 | 8.2 | 40.2 | 8.1 | 41.0 | 2.278 |
| CEM I 42.5N +PWG-8.8% | 1.5 | 15.8 | 1.7 | 14.6 | 0.7 | 8.3 | 1.949 |
Publisher’s Note: MDPI stays neutral with regard to jurisdictional claims in published maps and institutional affiliations. |
© 2022 by the authors. Licensee MDPI, Basel, Switzerland. This article is an open access article distributed under the terms and conditions of the Creative Commons Attribution (CC BY) license (https://creativecommons.org/licenses/by/4.0/).
Share and Cite
Kotsay, G.; Szewczenko, W. Extraction of Alkalis from Silicate Materials PART 2—Crystalline Silicate Materials. Materials 2022, 15, 6059. https://doi.org/10.3390/ma15176059
Kotsay G, Szewczenko W. Extraction of Alkalis from Silicate Materials PART 2—Crystalline Silicate Materials. Materials. 2022; 15(17):6059. https://doi.org/10.3390/ma15176059
Chicago/Turabian StyleKotsay, Galyna, and Wiktor Szewczenko. 2022. "Extraction of Alkalis from Silicate Materials PART 2—Crystalline Silicate Materials" Materials 15, no. 17: 6059. https://doi.org/10.3390/ma15176059
APA StyleKotsay, G., & Szewczenko, W. (2022). Extraction of Alkalis from Silicate Materials PART 2—Crystalline Silicate Materials. Materials, 15(17), 6059. https://doi.org/10.3390/ma15176059

