Mechanical Behavior of Human Cancellous Bone in Alveolar Bone under Uniaxial Compression and Creep Tests
Abstract
1. Introduction
2. Methods
2.1. Sample Preparation
2.2. Mechanical Testing
2.3. Hyperelastic Constitutive Formula
2.4. Viscoelastic Constitutive Formula
3. Result
3.1. Uniaxial Compression
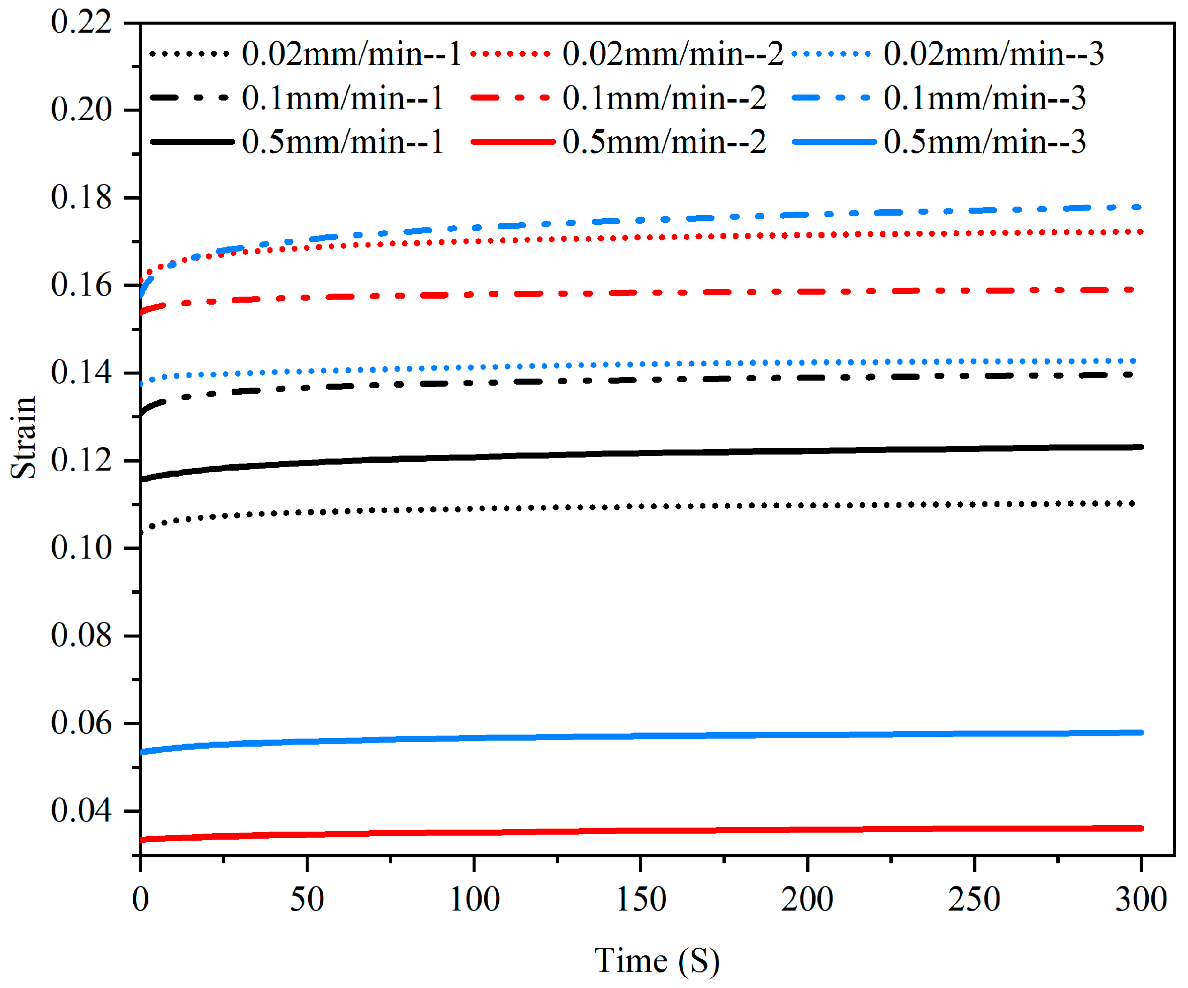
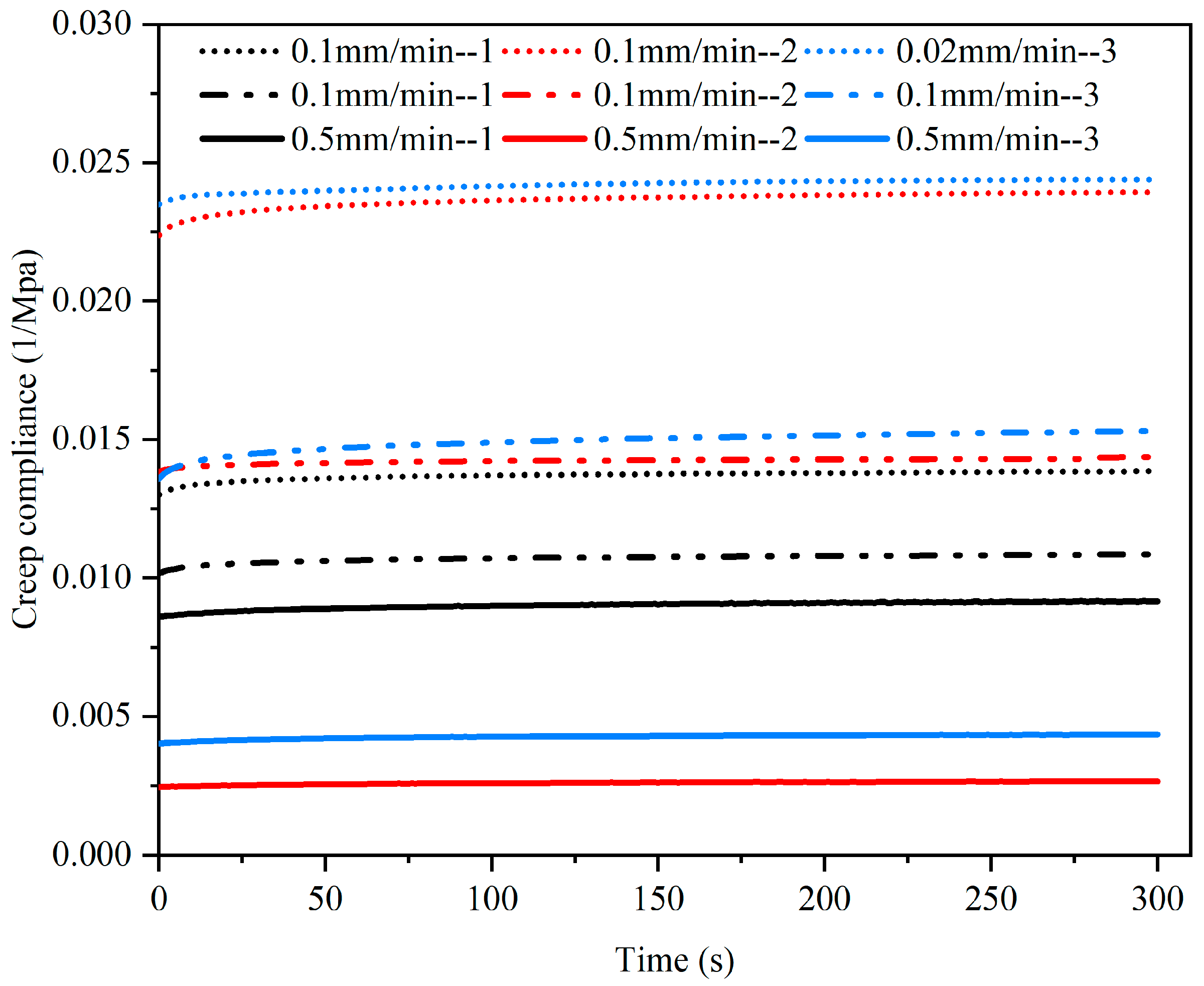
3.2. Compression Creep
4. Discussion
5. Conclusions
Supplementary Materials
Author Contributions
Funding
Institutional Review Board Statement
Informed Consent Statement
Data Availability Statement
Conflicts of Interest
References
- Draenert, F.G.; Kämmerer, P.W.; Berthold, M.; Neff, A. Complications with allogeneic, cancellous bone blocks in vertical alveolar ridge augmentation: Prospective clinical case study and review of the literature. Oral Surg. Oral Med. Oral Pathol. Oral Radiol. 2016, 122, e31–e43. [Google Scholar] [CrossRef] [PubMed]
- Lavagen, N.; Nokovitch, L.; Algrin, A.; Dakpe, S.; Testelin, S.; Devauchelle, B.; Gbaguidi, C. Efficiency of advanced-PRF usage in the treatment of alveolar cleft with iliac bone graft: A retrospective study. J. Cranio-Maxillofac. Surg. 2021, 49, 923–928. [Google Scholar] [CrossRef] [PubMed]
- Marcantonio, C.C.; Lopes, M.E.S.; Mofatto, L.S.; Salmon, C.R.; Deschner, J.; Nociti-Junior, F.H.; Cirelli, J.A.; Nogueira, A.V.B. Obesity affects the proteome profile of periodontal ligament submitted to mechanical forces induced by orthodontic tooth movement in rats. J. Proteom. 2022, 263, 104616. [Google Scholar] [CrossRef] [PubMed]
- Yoshimatsu, M.; Kitaura, H.; Morita, Y.; Nakamura, T.; Ukai, T. Effects of anti-mouse RANKL antibody on orthodontic tooth movement in mice. J. Dent. Sci. 2022, 17, 1087–1095. [Google Scholar] [CrossRef]
- Zargham, A.; Geramy, A.; Rouhi, G. Evaluation of long-term orthodontic tooth movement considering bone remodeling process and in the presence of alveolar bone loss using finite element method. Orthod. Waves 2016, 75, 85–96. [Google Scholar] [CrossRef]
- Pereira, L.J.; Macari, S.; Coimbra, C.C.; Pereira, T.d.S.F.; Barrioni, B.R.; Gomez, R.S.; Silva, T.A.; Paiva, S.M. Aerobic and resistance training improve alveolar bone quality and interferes with bone-remodeling during orthodontic tooth movement in mice. Bone 2020, 138, 115496. [Google Scholar] [CrossRef]
- Bennardo, F.; Barone, S.; Vocaturo, C.; Nucci, L.; Antonelli, A.; Giudice, A. Usefulness of Magnetic Mallet in Oral Surgery and Implantology: A Systematic Review. J. Pers. Med. 2022, 12, 108. [Google Scholar] [CrossRef]
- Hosseinzadeh, M.; Ghoreishi, M.; Narooei, K. Investigation of hyperelastic models for nonlinear elastic behavior of demineralized and deproteinized bovine cortical femur bone. J. Mech. Behav. Biomed. Mater. 2016, 59, 393–403. [Google Scholar] [CrossRef]
- Pawlikowski, M.; Jankowski, K.; Skalski, K. New microscale constitutive model of human trabecular bone based on depth sensing indentation technique. J. Mech. Behav. Biomed. Mater. 2018, 85, 162–169. [Google Scholar] [CrossRef]
- Li, Z.; Wang, J.; Song, G.; Ji, C.; Han, X. Anisotropic and strain rate-dependent mechanical properties and constitutive modeling of the cancellous bone from piglet cervical vertebrae. Comput. Methods Programs Biomed. 2019, 188, 105279. [Google Scholar] [CrossRef]
- Megías, R.; Vercher-Martínez, A.; Belda, R.; Peris, J.L.; Larrainzar-Garijo, R.; Giner, E.; Fuenmayor, F.J. Numerical modelling of cancellous bone damage using an orthotropic failure criterion and tissue elastic properties as a function of the mineral content and microporosity. Comput. Methods Programs Biomed. 2022, 219, 106764. [Google Scholar] [CrossRef] [PubMed]
- Belda, R.; Palomar, M.; Peris-Serra, J.L.; Vercher-Martínez, A.; Giner, E. Compression failure characterization of cancellous bone combining experimental testing, digital image correlation and finite element modeling. Int. J. Mech. Sci. 2020, 165, 105213. [Google Scholar] [CrossRef]
- Gilbert, R.P.; Guyenne, P.; Li, J. A viscoelastic model for random ultrasound propagation in cancellous bone. Comput. Math. Appl. 2013, 66, 943–964. [Google Scholar] [CrossRef]
- Burgers, T.A.; Lakes, R.S.; García-Rodríguez, S.; Piller, G.R.; Ploeg, H.-L. Post-yield relaxation behavior of bovine can-cellous bone. J. Biomech. 2009, 42, 2728–2733. [Google Scholar] [CrossRef] [PubMed]
- Ayers, M.; Clift, S.; Gheduzzi, S. Morsellised sawbones is an acceptable experimental substitute for the in vitro elastic and viscoelastic mechanical characterisation of morsellised cancellous bone undergoing impaction grafting. Med. Eng. Phys. 2014, 36, 26–31. [Google Scholar] [CrossRef][Green Version]
- Khaniki, H.B.; Ghayesh, M.H.; Chin, R.; Amabili, M. Large amplitude vibrations of imperfect porous-hyperelastic beams via a modified strain energy. J. Sound Vib. 2021, 513, 116416. [Google Scholar] [CrossRef]
- Bei, G.; Ma, C.; Sun, J.; Ni, X.; Ma, Y. A Porous Media Leakage Model of Contact Mechanical Seals Considering Surface Wettability. Coatings 2021, 11, 1338. [Google Scholar] [CrossRef]
- Jiang, D.; Nie, W.; Fei, Q.; Wu, S. Free vibration analysis of composite panels considering correlations of spatially distributed uncertain parameters. Appl. Math. Model. 2021, 98, 747–757. [Google Scholar] [CrossRef]
- Darijani, H.; Naghdabadi, R. Hyperelastic materials behavior modeling using consistent strain energy density functions. Acta Mech. 2010, 213, 235–254. [Google Scholar] [CrossRef]
- Mansouri, M.R.; Darijani, H. Constitutive modeling of isotropic hyperelastic materials in an exponential framework using a self-contained approach. Int. J. Solids Struct. 2014, 51, 4316–4326. [Google Scholar] [CrossRef]
- Ritchie, R.O.; Buehler, M.J.; Hansma, P. Plasticity and toughness in bone. Phys. Today 2009, 62, 41–47. [Google Scholar] [CrossRef]
- Wehrli, F.W.; Song, H.K.; Saha, P.K.; Wright, A.C. Quantitative MRI for the assessment of bone structure and function. NMR Biomed. 2010, 19, 731–764. [Google Scholar] [CrossRef] [PubMed]
- Liang, H.; Chao, L.; Xie, D.; Yang, Y.; Shi, J.; Zhang, Y.; Xue, B.; Shen, L.; Tian, Z.; Li, L.; et al. Trabecular-like Ti–6Al–4V scaffold for bone repair: A diversified mechanical stimulation environment for bone regeneration. Compos. Part B Eng. 2022, 241, 110057. [Google Scholar] [CrossRef]















| Sample of CBAB | Sample 1 | Sample 2 | Sample 3 |
|---|---|---|---|
| Thickness (mm) | 1.45 | 1.44 | 1.45 |
| compression area (mm2) | 3.73 | 3.66 | 3.76 |
| Test | Loading Rate (mm/min) | Maximum Strain (%) |
|---|---|---|
| Uniaxial compression | 0.02 0.1 0.5 | 6 6 6 |
| Test | Loading Rate (mm/min) | Hold Load (N) | Hold Time (s) |
|---|---|---|---|
| Compression creep | 0.02 0.1 0.5 | 50 50 50 | 300 300 300 |
Publisher’s Note: MDPI stays neutral with regard to jurisdictional claims in published maps and institutional affiliations. |
© 2022 by the authors. Licensee MDPI, Basel, Switzerland. This article is an open access article distributed under the terms and conditions of the Creative Commons Attribution (CC BY) license (https://creativecommons.org/licenses/by/4.0/).
Share and Cite
Wu, B.; Wu, Y.; Liu, M.; Liu, J.; Jiang, D.; Ma, S.; Yan, B.; Lu, Y. Mechanical Behavior of Human Cancellous Bone in Alveolar Bone under Uniaxial Compression and Creep Tests. Materials 2022, 15, 5912. https://doi.org/10.3390/ma15175912
Wu B, Wu Y, Liu M, Liu J, Jiang D, Ma S, Yan B, Lu Y. Mechanical Behavior of Human Cancellous Bone in Alveolar Bone under Uniaxial Compression and Creep Tests. Materials. 2022; 15(17):5912. https://doi.org/10.3390/ma15175912
Chicago/Turabian StyleWu, Bin, Yang Wu, Mao Liu, Jingjing Liu, Di Jiang, Songyun Ma, Bin Yan, and Yi Lu. 2022. "Mechanical Behavior of Human Cancellous Bone in Alveolar Bone under Uniaxial Compression and Creep Tests" Materials 15, no. 17: 5912. https://doi.org/10.3390/ma15175912
APA StyleWu, B., Wu, Y., Liu, M., Liu, J., Jiang, D., Ma, S., Yan, B., & Lu, Y. (2022). Mechanical Behavior of Human Cancellous Bone in Alveolar Bone under Uniaxial Compression and Creep Tests. Materials, 15(17), 5912. https://doi.org/10.3390/ma15175912

