Mechanical Properties of Lightweight Foamed Concrete Modified with Magnetite (Fe3O4) Nanoparticles
Abstract
1. Introduction
2. Materials
2.1. Ordinary Portland Cement (OPC)
2.2. Fine Sand
2.3. Surfactant
2.4. Water
2.5. Magnetite Nanoparticles
3. Mix Design and Specimen Preparation
4. Test Methods
4.1. Compression Test
- P = upper limit load incurred by the LFC sample (N)
- A = LFC sample cross-sectional area (mm2).
4.2. Flexural Test
- P = maximum load sustained by the LFC specimen (N)
- L = span length (mm)
- b = width of tested prism (mm)
- d = depth of tested prism (mm).
4.3. Splitting Tensile Test
- P = maximum load sustained by the LFC sample (N)
- D = diameter of test cylinder(mm)
- L = length of the test cylinder (mm).
5. Results and Discussion
5.1. Compressive Strength
5.2. Flexural Strength
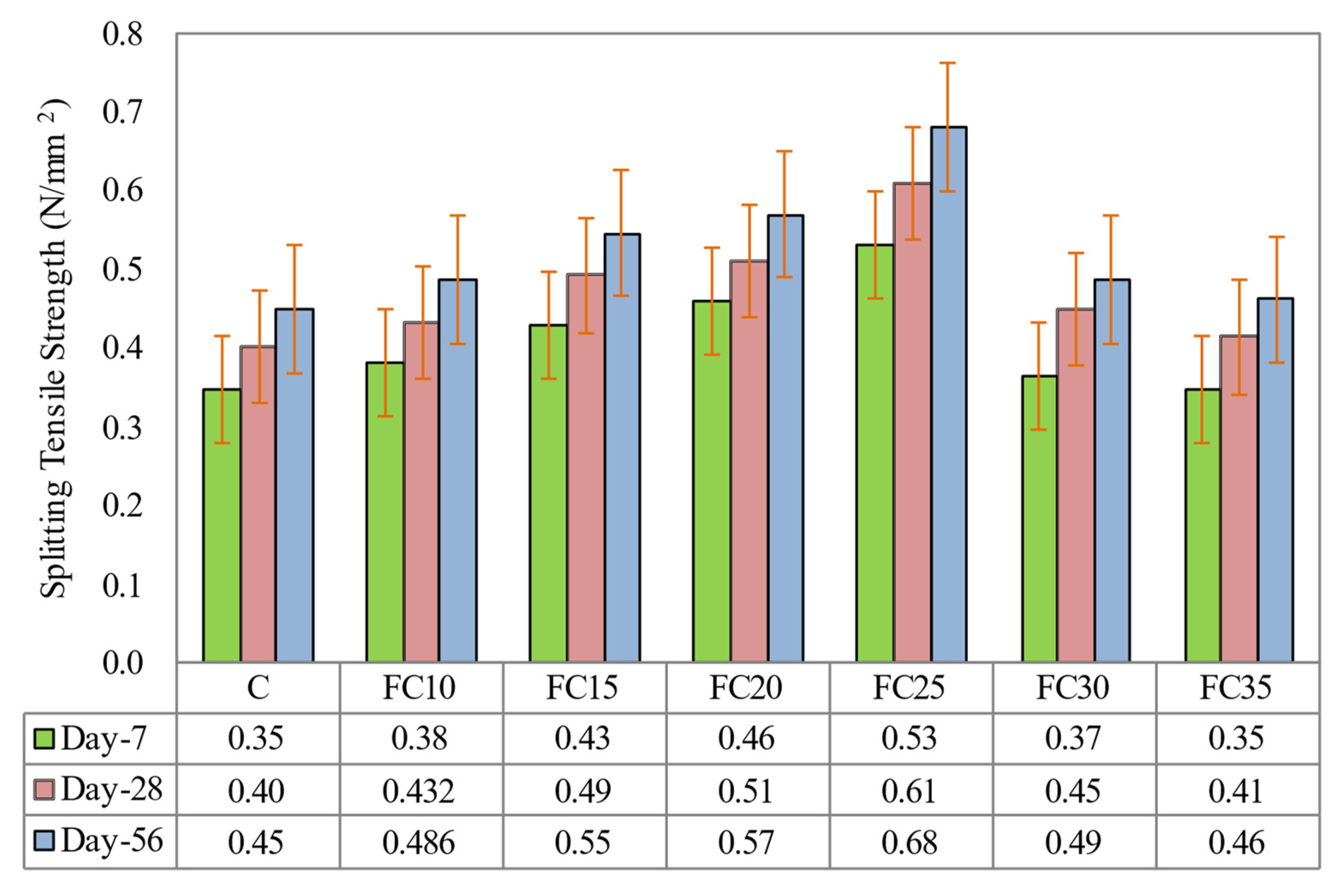
5.3. Splitting Tensile Strength
5.4. Performance Index (PI)
5.5. Relationship between Compressive and Flexural Strengths
5.6. Relationship between Compressive and Splitting Tensile Strengths
6. Conclusions
- MNP has an excellent potential to be incorporated with LFC for mechanical properties enhancement due to its distinctive properties, such as high ductileness and the ability to control crack growth. The inclusion of MNP in LFC enhanced the compressive, splitting tensile and flexural strengths significantly. The optimal results for these three mechanical properties were attained with specimen FC25.
- The optimal compressive strength was obtained with specimen FC25, which gave an improvement of 64.0%, 57.7%, and 54.6% at curing ages 7, 28, and 56 days, respectively, compared to the control specimen. The inclusion of MNP had an effective role in creating additional interlocked CSHs needles, which strengthened the microstructure of LFC.
- The highest flexural strength was accomplished with specimen FC25, which gave an enhancement of 60.3%, 55.2%, and 53.3% at curing ages 7, 28, and 56 days, respectively, in comparison to the control sample. The greater flexural strength attained with the inclusion of MNP was due to the prompt utilization of crystalline calcium hydroxide, which immediately arises throughout the hydration of cement, specifically at an early age because of the high reactivity of MNP.
- The ideal flexural strength was achieved with specimen FC25 which gave an improvement of 51.4%, 52.5%, and 51.1% at curing ages 7, 28, and 56 days, respectively, in comparison to the control specimen. The remarkably small surface area of MNP permeates the cavities in the hydrated cementitious matrix, which amasses to a greater density and consequently results in greater splitting tensile strength.
- The reduction of compressive, flexural, and splitting tensile strengths with a further rise in the MNP weight fractions from 0.30% to 0.35% was attributed to the accretion of MNP at higher weight fractions, which had an inauspicious result on the hydration process and the LFC bonding strength.
- Owing to MNP’s fine size, the MNP fills the cavities, leading to the additional packing of the LFC microstructure. When the volume fraction of the MNP added into LFC mixes is ideal, the crystallization will be synchronized, and the growth of calcium hydroxide crystals will be impeded by the MNP.
Author Contributions
Funding
Institutional Review Board Statement
Informed Consent Statement
Data Availability Statement
Acknowledgments
Conflicts of Interest
References
- Ghaffar, S.H.; Burman, M.; Braimah, N. Pathways to circular construction: An integrated management of construction and demolition waste for resource recovery. J. Clean. Prod. 2020, 244, 118710. [Google Scholar] [CrossRef]
- Arrigoni, A.; Panesar, D.K.; Duhamel, M.; Opher, T.; Saxe, S.; Posen, I.D.; MacLean, H.L. Life cycle greenhouse gas emissions of concrete containing supplementary cementitious materials: Cut-off vs. substitution. J. Clean. Prod. 2020, 263, 121465. [Google Scholar] [CrossRef]
- Zhao, X.; Hwang, B.G.; Lim, J. Job satisfaction of project managers in green construction projects: Constituents, barriers, and improvement strategies. J. Clean. Prod. 2020, 246, 118968. [Google Scholar] [CrossRef]
- Mohamad, N.; Iman, M.A.; Mydin, M.A.O.; Samad, A.A.A.; Rosli, J.A.; Noorwirdawati, A. Mechanical properties and flexure behaviour of lightweight foamed concrete incorporating coir fibre. IOP Conf. Ser. Earth Environ. Sci. 2018, 140, 012140. [Google Scholar] [CrossRef]
- Mydin, M.A.O. The effect of raw mesocarp fibre inclusion on the durability properties of lightweight foamed concrete. ASEAN J. Sci. Technol. Dev. 2021, 38, 59–66. [Google Scholar]
- Raj, A.; Sathyan, D.; Mini, K.M. Mini. Physical and functional characteristics of foam concrete: A review. Constr. Build. Mater. 2019, 221, 787–799. [Google Scholar] [CrossRef]
- Mydin, M.A.O.; Musa, M.; Ghani, A.N.A. Fiber glass strip laminates strengthened lightweight foamed concrete: Performance index, failure modes and microscopy analysis. AIP Conf. Proc. 2018, 2016, 020111. [Google Scholar]
- Serri, E.; Othuman Mydin, M.A.; Suleiman, M.Z. Thermal properties of Oil Palm Shell lightweight concrete with different mix designs. J. Teknol. 2014, 70, 155–159. [Google Scholar] [CrossRef]
- Mohd Zamzani, N.; Othuman Mydin, M.A.; Abdul Ghani, A.N. Mathematical regression models for prediction of durability properties of foamed concrete with the inclusion of coir fibre. Int. J. Eng. Adv. 2019, 8, 3353–3358. [Google Scholar] [CrossRef]
- Jones, M.R.; Zheng, L.; Ozlutas, K. Stability and instability of foamed concrete. Mag. Concr. Res. 2016, 68, 542–549. [Google Scholar] [CrossRef]
- Mydin, M.A.O. Preliminary studies on the development of lime-based mortar with added egg white. Int. J. Technol. 2017, 8, 800–810. [Google Scholar] [CrossRef]
- Nensok, M.H.; Mydin, M.A.O.; Awang, H. Investigation of Thermal, Mechanical and Transport Properties of Ultra Lightweight Foamed Concrete (ULFC) Strengthened with Alkali Treated Banana Fibre. J. Adv. Res. Fluid Mech. Therm. Sci. 2021, 86, 123–139. [Google Scholar] [CrossRef]
- Serudin, A.M.; Othuman, M.A.M.; Ghani, A.N.A. Effect of lightweight foamed concrete confinement with woven fiberglass mesh on its drying shrinkage. Rev. Ing. Construccion. 2021, 36, 21–28. [Google Scholar] [CrossRef]
- Serudin, A.M.; Mydin, M.A.O.; Ghani, A.N.A. Influence of Fibreglass Mesh on Physical Properties of Lightweight Foamcrete. IIUM Eng. J. 2021, 22, 23–34. [Google Scholar] [CrossRef]
- Mydin, M.A.O.; Nawi, M.N.M.; Munaaim, M.A.C.; Mohamed, O. A Study on the Influence of Oil Palm Trunk Fiber on Ultrasonic Pulse Velocity (UPV) and Shrinkage of Foamcrete. J. Adv. Res. Fluid Mech. Therm. Sci. 2020, 76, 111–117. [Google Scholar] [CrossRef]
- Mohd Zamzani, N.; Othuman Mydin, M.A.; Abdul Ghani, A.N. Influence of ‘Cocos Nucifera Linn’ fiber volume fraction on water absorption and porosity of foamed concrete. Int. J. Eng. Adv. Technol. 2019, 8, 3428–3435. [Google Scholar] [CrossRef]
- Musa, M.; Othuman Mydin, M.A.; Abdul Ghani, A.N. Influence of oil palm empty fruit bunch (EFB) fibre on drying shrinkage in restrained lightweight foamed mortar. Int. J. Innov. Technol. Exp. Eng. 2019, 8, 4533–4538. [Google Scholar]
- Norgaard, J.; Othuman Mydin, M.A. Drywall thermal properties exposed to high temperatures and fire condition. J. Teknol. 2013, 62, 63–68. [Google Scholar]
- Hou, L.; Li, J.; Lu, Z.; Niu, Y.; Jiang, J.; Li, T. Effect of nanoparticles on foaming agent and the foamed concrete. Constr. Build. Mater. 2019, 227, 116698. [Google Scholar] [CrossRef]
- Huang, Z.; Zhang, T.; Wen, Z. Proportioning and characterization of Portland cement-based ultra-lightweight foam concretes. Constr. Build. Mater. 2015, 79, 390–396. [Google Scholar] [CrossRef]
- Mounanga, P.; Gbongbon, W.; Poullain, P.; Turcry, P. Proportioning and characterization of lightweight concrete mixtures made with rigid polyurethane foam wastes. Cem. Concr. Compos. 2008, 30, 806–814. [Google Scholar] [CrossRef]
- Wee, T.H.; Daneti, S.B.; Tamilselvan, T. Effect of w/c ratio on air-void system of foamed concrete and their influence on mechanical properties. Mag. Concr. Res. 2011, 63, 583–595. [Google Scholar] [CrossRef]
- Kudyakov, A.I.; Steshenko, A.B. Cement foamed with low shrinkage. Adv. Mat. Res. 2015, 1085, 245–249. [Google Scholar]
- Du, H.J.; Du, S.H.; Liu, X.M. Durability performances of concrete with nano-silica. Constr. Build. Mater. 2014, 73, 705–712. [Google Scholar] [CrossRef]
- Rong, Z.; Sun, W.; Xiao, H.; Jiang, G. Effects of nano-SiO2 particles on the mechanical and microstructural properties of ultra-high performance cementitious composites. Cem. Concr. Compos. 2015, 56, 25–31. [Google Scholar] [CrossRef]
- Norhasri, M.M.; Hamidah, M.; Fadzil, A.M. Applications of using nano material in concrete: A review. Constr. Build. Mater. 2017, 133, 91–97. [Google Scholar] [CrossRef]
- Gokçe, H.S.; Hatungimana, D.; Ramyar, K. Effect of fly ash and silica fume on hardened properties of foamed concrete. Constr. Build. Mater. 2019, 194, 1–11. [Google Scholar] [CrossRef]
- Zhang, Y.Q.; Chang, Z.D.; Luo, W.L.; Gu, S.N.; Li, W.J.; An, J.B. An effect of starch particles on foam stability and dilational viscoelasticity of aqueous-foam. Chin. J. Chem. Eng. 2015, 23, 276–280. [Google Scholar] [CrossRef]
- Liu, X.; Chen, L.; Liu, A.; Wang, X. Effect of Nano-CaCO3 on Properties of Cement Paste. Energy Procedia 2012, 16, 991–996. [Google Scholar] [CrossRef]
- BS 12; Specification for Portland Cement. British Standards Institute: London, UK, 1996.
- BS12620; Aggregates for Concrete. British Standards Institute: London, UK, 2013.
- Wang, W.; Zheng, L.L.; Lu, F.H.; Hong, R.J.; Chen, M.Z.Q.; Zhuang, L. Facile synthesis and characterization of magnetochromatic Fe3O4 nanoparticles. AIP Adv. 2017, 7, 056317. [Google Scholar] [CrossRef]
- BS 12390-3; Testing Hardened Concrete. Compressive Strength of Test Specimens. British Standards Institute: London, UK, 2011.
- BS EN 12390-5; Testing Hardened Concrete. Flexural Strength of Test Specimens. British Standards Institute: London, UK, 2019.
- BS EN 12390-6; Testing Hardened Concrete. Tensile Splitting Strength of Test Specimens. British Standards Institute: London, UK, 2009.
- Amer, A.A.; El-Sokkary, T.M.; Abdullah, N.I. Thermal durability of OPC pastes admixed with nano iron oxide. HBRC J. 2015, 11, 299–305. [Google Scholar] [CrossRef]
- Amin, M.S.; El-Gamal, S.M.A.; Hashem, F.S. Effect of addition of nano-magnetite on the hydration characteristics of hardened Portland cement and high slag cement pastes. J. Therm. Anal. Calorim. 2013, 112, 1253–1259. [Google Scholar] [CrossRef]
- Shekari, A.H.; Razzaghi, M.S. Influence of nano particles on durability and mechanical properties of high-performance concrete. Proc. Eng. 2001, 14, 3036–3041. [Google Scholar] [CrossRef]
- Khoshakhlagh, A.; Nazari, A.; Khalaj, G. Effects of incorporation Fe2O3 nano particles on water permeability and strength assessments of high strength self-compacting concrete. J. Mater. Sci. Technol. 2012, 28, 73–82. [Google Scholar] [CrossRef]
- Nazari, A.; Riahi, S. Computer-aided design of the effects of Fe2O3 nanoparticles on split tensile strength and water permeability of high strength concrete. Mater. Des. 2011, 32, 3966–3979. [Google Scholar] [CrossRef]
- Evangelista, A.C.J.; de Morais, J.F.; Tam, V.; Soomro, M.; Di Gregorio, L.T.; Haddad, A.N. Evaluation of Carbon Nanotube Incorporation in Cementitious Composite Materials. Materials 2019, 12, 1504. [Google Scholar] [CrossRef]
- Mahdikhani, M.; Bamshad, O.; Shirvani, M.F. Mechanical properties and durability of concrete specimens containing nano silica in sulfuric acid rain condition. Constr. Build. Mater. 2018, 167, 929–935. [Google Scholar] [CrossRef]
- Nazari, A.; Riahi, S.; Shirin, R.; Seyedeh, F.S.; Khademno, A. The effects of incorporation Fe2O3 nano particles on tensile and flexural strength of concrete. J. Am. Sci. 2010, 6, 90–93. [Google Scholar]
- Zabihi, N.; Ozkul, M.H. The fresh properties of nano silica incorporating polymer-modified cement pastes. Constr. Build. Mater. 2018, 168, 570–579. [Google Scholar] [CrossRef]
- Luo, Z.; Li, W.; Wang, K.; Shah, S.P. Research progress in advanced nanomechanical characterization of cement-based materials. Cem. Concr. Compos. 2018, 94, 277–295. [Google Scholar] [CrossRef]
- Li, L.G.; Huang, Z.H.; Zhu, J.; Kwan, A.K.H.; Chen, H.Y. Synergistic effects of micro-silica and nano-silica on strength and microstructure of mortar. Constr. Build. Mater. 2017, 140, 229–238. [Google Scholar] [CrossRef]
- Braz de Abreu, G.B.; Marques-Costa, S.M.; Gumieri, A.G.; Fonseca-Calixto, J.M.; França, F.C.; Silva, C.; Delgado-Quinõnes, A. Mechanical properties and microstructure of high-performance concrete containing stabilized nano-silica. Matéria 2017, 22, e11824. [Google Scholar]
- Silvestre, J.; Silvestre, N.; de Brito, J. Review on concrete nanotechnology. Eur. J. Environ. Civ. Eng. 2016, 20, 455–485. [Google Scholar] [CrossRef]
- Huseien, G.F.; Shah, K.W.; Sam, A.R.M. Sustainability of nanomaterials based self-healing concrete: An all-inclusive insight. J. Build. Eng. 2019, 23, 155–171. [Google Scholar] [CrossRef]
- Sikora, P.; Horszczaruk, E.; Cendrowski, K.; Mijowska, E. The influence of nano-Fe3O4 on the microstructure and mechanical properties of cementitious composites. Nanoscale Res. Lett. 2016, 11, 182. [Google Scholar] [CrossRef]
- Nensok Hassan, M.; Othuman Mydin, M.A.; Awang, H. Fresh state and mechanical properties of ultra-lightweight foamed concrete incorporating alkali treated banana fibre. J. Teknol. 2022, 84, 117–128. [Google Scholar] [CrossRef]
- Zamzani, N.M.; Mydin, M.A.O.; Ghani, A.N.A. Effectiveness of ‘cocos nucifera linn’ fibre reinforcement on the drying shrinkage of lightweight foamed concrete. ARPN J. Eng. Appl. Sci. 2019, 14, 3932–3937. [Google Scholar]
- Suhaili, S.S.; Mydin, M.A.O.; Awang, H. Influence of Mesocarp Fibre Inclusion on Thermal Properties of Foamed Concrete. J. Adv. Res. Fluid Mech. Therm. Sci. 2021, 87, 1–11. [Google Scholar] [CrossRef]
- Mydin, M.A.O.; Ganesan, S.; Yunos, M.Y.M.; Utaberta, N.; Ismail, N.A. Structural behaviour of coir fibre-reinforced foamed concrete wall panel system. J. Teknol. 2016, 78, 169–177. [Google Scholar] [CrossRef][Green Version]
- Xiao, H.; Zhang, F.; Liu, R.; Zhang, R.; Liu, Z.; Liu, H. Effects of pozzolanic and non-pozzolanic nanomaterials on cement-based materials. Constr. Build. Mater. 2019, 213, 1–9. [Google Scholar] [CrossRef]














| Elements | Percentage (%) |
|---|---|
| CaO | 65.15 |
| SiO2 | 15.81 |
| Al2O3 | 4.03 |
| MgO | 1.23 |
| SO3 | 3.85 |
| Fe2O3 | 6.87 |
| Na2O | 0.49 |
| Insoluble residue | 1.22 |
| LOI | 1.35 |
| Setting time (Initial/Final) | 170/215 |
| Specific surface area (cm2/g) | 3325 |
| Specific gravity | 3.09 |
| 28 days Compressive Strength (N/mm2) | 51.8 |
| Elements | Properties |
|---|---|
| Density (g/cm3) | 1.18 |
| Appearance | Light brown |
| pH | 6.2 |
| Specific gravity | 1.09 |
| Dilution ratio | 1:34 |
| Molar mass | 265 g/mol |
| Elements | MNP Weight (%) |
|---|---|
| Iron | 65.85 |
| Carbon | 28.22 |
| Oxygen | 5.93 |
| Types of Bond | Wavenumber (cm−1) | Remarks |
|---|---|---|
| OH stretching | 3389 | The presence of hydroxyls (OH) in water and polysaccharides shell |
| –CH2 stretching and vibration | 2897 | The presence of oleic acid |
| H–C=O stretching and vibration | 1591 | Extending of H–C=O backbone |
| Fe-O stretching | 498 | Ferrous oxide bond absorption |
| Sample Code | Dry Density (kg/m3) | MNP Weight Fraction (%) | MNP (kg) | Cement (kg) | Fine Sand (kg) | Water (kg) |
|---|---|---|---|---|---|---|
| C | 1000 | 0.00 | 0.000 | 37.47 | 56.20 | 16.86 |
| FC10 | 1000 | 0.10 | 0.114 | 37.47 | 56.20 | 16.86 |
| FC15 | 1000 | 0.15 | 0.170 | 37.47 | 56.20 | 16.86 |
| FC20 | 1000 | 0.20 | 0.227 | 37.47 | 56.20 | 16.86 |
| FC25 | 1000 | 0.25 | 0.284 | 37.47 | 56.20 | 16.86 |
| FC30 | 1000 | 0.30 | 0.341 | 37.47 | 56.20 | 16.86 |
| FC35 | 1000 | 0.35 | 0.398 | 37.47 | 56.20 | 16.86 |
Publisher’s Note: MDPI stays neutral with regard to jurisdictional claims in published maps and institutional affiliations. |
© 2022 by the authors. Licensee MDPI, Basel, Switzerland. This article is an open access article distributed under the terms and conditions of the Creative Commons Attribution (CC BY) license (https://creativecommons.org/licenses/by/4.0/).
Share and Cite
Othuman Mydin, M.A.; Mohd Nawi, M.N.; Mohamed, O.; Sari, M.W. Mechanical Properties of Lightweight Foamed Concrete Modified with Magnetite (Fe3O4) Nanoparticles. Materials 2022, 15, 5911. https://doi.org/10.3390/ma15175911
Othuman Mydin MA, Mohd Nawi MN, Mohamed O, Sari MW. Mechanical Properties of Lightweight Foamed Concrete Modified with Magnetite (Fe3O4) Nanoparticles. Materials. 2022; 15(17):5911. https://doi.org/10.3390/ma15175911
Chicago/Turabian StyleOthuman Mydin, Md Azree, Mohd Nasrun Mohd Nawi, Othman Mohamed, and Marti Widya Sari. 2022. "Mechanical Properties of Lightweight Foamed Concrete Modified with Magnetite (Fe3O4) Nanoparticles" Materials 15, no. 17: 5911. https://doi.org/10.3390/ma15175911
APA StyleOthuman Mydin, M. A., Mohd Nawi, M. N., Mohamed, O., & Sari, M. W. (2022). Mechanical Properties of Lightweight Foamed Concrete Modified with Magnetite (Fe3O4) Nanoparticles. Materials, 15(17), 5911. https://doi.org/10.3390/ma15175911

