The Influence of the Accelerated Aging Process on the Compressive Strength of Wood Treated with Components of a Salt Fire Retardant
Abstract
:1. Introduction
2. Materials and Methods
- Heating (130 °C for 24 h)
- Freezing (−15 °C for 24 h)
- Heating (130 °C for 24 h)
- Maintaining over a supersaturated solution of KNO3 giving approx. 90% (temp. 40–45 °C for 24 h)
- Freezing (−15 °C for 24 h)
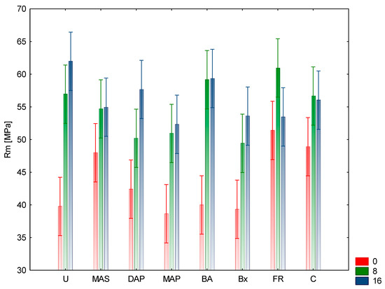
3. Results
4. Conclusions
Author Contributions
Funding
Informed Consent Statement
Data Availability Statement
Acknowledgments
Conflicts of Interest
References
- Kučerová, I.; Ohlídalová, M.; Frankl, J.; Kloiber, M.; Michalcova, A. Defibring of historical roof beam caused by ammonium sulphate and ammonium phosphates based fire retardants. In Proceedings of the International Conference on Wood Science for Preservation of Cultural Heritage: Mechanical and Biological Factors, Braga, Portugal, 5–7 November 2008. [Google Scholar]
- Le Van, S.L.; Ross, R.J.; Winandy, J.E. Effects of Fire Retardant Chemicals on the Bending Properties of Wood at Elevated Temperatures; USDA Service, Forest Products Laboratory: Madison, WI, USA, 1990. [Google Scholar]
- Drdácký, M.; Beran, P.; Slížková, Z.; Kucerová, I. Man made hazards in conservation practice-case studies. Conserv. News 2009, 26, 224–233. [Google Scholar]
- Winandy, J.E.; Lebow, P.K. Modelling strength loss in wood by chemical composition. Part I. An individual component model for southern pine. Wood Fiber Sci. 2001, 33, 239–254. [Google Scholar]
- Grześkowiak, W.; Mazela, B.; Cofta, G. The Influence of Salt Agents on the Strength Properties of Wood. GENERAL CONSTRUCTION-Construction, Material and Thermal-Humidity Issues in Construction. In Chapter I “Building Materials, Material Technologies; University Publishers of the University of Technology and Agriculture: Bydgoszcz, Poland, 2003; pp. 16–21. [Google Scholar]
- Lutomski, K.; Surmiński, J. Research on the Preparation of Fire Retardants for Wood; Poznań Society of Friends of Sciences, Faculty of Technical Sciences, Works of the Wood Technology Commission: Poznań, Poland, 1978; Volume VII. [Google Scholar]
- Wytwer, T. Fungitox NP.-wood flame retardant and bioprotective agent. In International Symposium “Advances in Fire Protection and Flammability Test Methods”; Institute of Natural Fibers: Poznań, Poland, 1995. [Google Scholar]
- Le Van, S.L.; Winandy, J.E. Effects of fire retardant treatments on wood strength: A review. Wood Fiber Sci. 1990, 22, 113–131. [Google Scholar]
- Sweet, M.S.; Winandy, J.E. Influence of Degree of Polymerization of Cellulose and Hemicellulose on Strength Loss in Fire-Retardant-Treated Southern Pine. Holzforschung 1999, 53, 311–317. [Google Scholar] [CrossRef]
- Kloiber, M.; Frankl, J.; Drdácký, M.; Bryscejn, J.; Tippner, J.; Kucerová, I. Change of mechanical properties of norway spruce wood due to degradation caused by fire retardants. Wood Res. 2010, 55, 23–38. [Google Scholar]
- Kojima, Y.; Suzuki, S. Evaluating the durability of wood-based panels using internal bond strength results from accelerated aging treatments. J. Wood Sci. 2011, 57, 7–13. [Google Scholar] [CrossRef] [Green Version]
- Follrich, J.; Teischinger, A.; Müller, U. Artificial ageing of softwood joints and its effect on internal bond strength with special consideration of flat-to-end grain joints. Eur. J. Wood Wood Prod. 2011, 69, 564–597. [Google Scholar] [CrossRef]
- Matsuo, M.; Yokoyama, M.; Umemura, K.; Gril, J.; Yano, K.; Kawai, S. Color changes in wood during heating: Kinetic analysis by applying a time temperature superposition method. Appl. Phys. A Mater. Sci. Processing 2010, 99, 47–52. [Google Scholar] [CrossRef] [Green Version]
- ASTM D 1037; Standard Test Methods for Evaluating Properties of Wood-Base Fiber and Particle Panel Materials. ASTM: West Conshohocken, PA, USA, 2020.
- Kajita, H.; Mukudai, J.; Yano, H. Durability evaluation of particleboards by accelerated aging tests. Wood Sci. Technol. 1991, 25, 239–249. [Google Scholar] [CrossRef]
- BS 5669-1:1989; Particleboard. Methods of Sampling, Conditioning and Test. British Standards Institution: London, UK, 1989.
- River, B.H. Outdoor aging of wood-based materials and correlation with laboratory aging. For. Prod. J. 1994, 44, 55–65. [Google Scholar]
- Grześkowiak, W.Ł.; Moliński, K.; Molińska-Glura, M.; Cofta, G. Assessment of the impact of the storage time of fire retardant and heating of the protected wood on the effectiveness of fireproofing. Drewno 2021, 64, 207. [Google Scholar] [CrossRef]
- Grześkowiak, W.Ł.; Moliński, K. Methodological improvement of testing of selected parameters for fire resistance of wood and wood-based materials using the MFT. Biom. Lett. 2020, 57, 53–62. [Google Scholar] [CrossRef]
- Zeinali, D.; Koalitis, D.; Schmid, J. (Eds.) Guide for Obtaining Data from Reaction to Fire Tests; ETH: Zürich, Switzerland, 2018. [Google Scholar] [CrossRef]
- Grześkowiak, W.; Cofta, G.; Mazela, B. Fire retardant efficacy of selected chemical compounds. Ann. Wars. Univ. Life Sci.–SGGW For. Wood Technol. 2008, 65, 98–102. [Google Scholar]
- Crespo, J.; Majano-Majano, A.; Lara-Bocanegra, A.J.; Guaita, M. Mechanical Properties of Small Clear Specimens of Eucalyptus globulus Labill. Materials 2020, 13, 906. [Google Scholar] [CrossRef] [PubMed] [Green Version]
- Roszyk, E.; Stachowska, E.; Majka, J.; Mania, P.; Broda, M. Moisture-Dependent Strength Properties of Thermally-Modified Fraxinus excelsior Wood in Compression. Materials 2020, 13, 1647. [Google Scholar] [CrossRef] [PubMed] [Green Version]
- ISO 13061-1:2014; Physical and Mechanical Properties of Wood—Test Methods for Small Clear Wood Specimens—Part 1: Determination of Moisture Content for Physical and Mechanical Tests. International Organization for Standardization: Geneva, Switzerland, 2014.
- ISO 13061-5:2020; Physical and Mechanical Properties of Wood—Test Methods for Small Clear Wood Specimens—Part 5: Determination of Strength in Compression Perpendicular to Grain. International Organization for Standardization: Geneva, Switzerland, 2020.
- ISO 13061-17:2017; Physical and Mechanical Properties of Wood—Test Methods for Small Clear Wood Specimens—Part 17: Determination of Ultimate Stress in Compression Parallel to Grain. International Organization for Standardization: Geneva, Switzerland, 2017.
- Roszyk, E.; Mania, P.; Iwańska, E.; Kusiak, W.; Broda, M. Mechanical performance of Scots pine wood from northwestern Poland–A case study. BioResources 2020, 15, 6781–6794. [Google Scholar] [CrossRef]
- Słonina, M.; Dziurka, D.; Molińska-Glura, M.; Smardzewski, J. Influence of Impregnation with Modified Starch of a Paper Core on Bending of Wood-Based Honeycomb Panels in Changing Climatic Conditions. Materials 2022, 15, 395. [Google Scholar] [CrossRef] [PubMed]
- Ozcifci, A.; Okcu, O. The influence of the impregnating chemicals on the bonding strength of impregnated wood materials. J. Appl. Polym. Sci. 2008, 107, 2871–2876. [Google Scholar] [CrossRef]
- Larson, M.G. Analysis of Variance. Circulation 2008, 117, 115–121. [Google Scholar] [CrossRef] [PubMed] [Green Version]



| Solution | E-Mean | 1 | 2 | 3 | 4 | Rm [MPa] Mean | 1 | 2 |
|---|---|---|---|---|---|---|---|---|
| MAP | 3953.00 | * | 47.30 | * | ||||
| Bx | 4298.67 | * | * | 47.45 | * | |||
| U | 4361.33 | * | * | 50.09 | * | * | ||
| C | 4406.33 | * | * | 52.54 | * | * | ||
| BA | 4733.33 | * | * | 52.84 | * | * | ||
| DAP | 5185.67 | * | * | 52.89 | * | * | ||
| FR | 6019.67 | * | * | 53.86 | * | |||
| MAS | 6228.33 | * | 55.28 | * |
Publisher’s Note: MDPI stays neutral with regard to jurisdictional claims in published maps and institutional affiliations. |
© 2022 by the authors. Licensee MDPI, Basel, Switzerland. This article is an open access article distributed under the terms and conditions of the Creative Commons Attribution (CC BY) license (https://creativecommons.org/licenses/by/4.0/).
Share and Cite
Grześkowiak, W.Ł.; Molińska-Glura, M.; Przybylska, M. The Influence of the Accelerated Aging Process on the Compressive Strength of Wood Treated with Components of a Salt Fire Retardant. Materials 2022, 15, 4931. https://doi.org/10.3390/ma15144931
Grześkowiak WŁ, Molińska-Glura M, Przybylska M. The Influence of the Accelerated Aging Process on the Compressive Strength of Wood Treated with Components of a Salt Fire Retardant. Materials. 2022; 15(14):4931. https://doi.org/10.3390/ma15144931
Chicago/Turabian StyleGrześkowiak, Wojciech Łukasz, Marta Molińska-Glura, and Marcelina Przybylska. 2022. "The Influence of the Accelerated Aging Process on the Compressive Strength of Wood Treated with Components of a Salt Fire Retardant" Materials 15, no. 14: 4931. https://doi.org/10.3390/ma15144931
APA StyleGrześkowiak, W. Ł., Molińska-Glura, M., & Przybylska, M. (2022). The Influence of the Accelerated Aging Process on the Compressive Strength of Wood Treated with Components of a Salt Fire Retardant. Materials, 15(14), 4931. https://doi.org/10.3390/ma15144931

