Thermomechanical Performance Analysis of Novel Cement-Based Building Envelopes with Enhanced Passive Insulation Properties
Abstract
:1. Introduction
2. Materials and Methods
2.1. Material Design
2.1.1. Unit Cell FEM Model
2.1.2. Upscaling Procedure
2.2. Component Design
2.2.1. Experimental Methods
2.2.2. Brick FEM Model
3. Results and Discussion
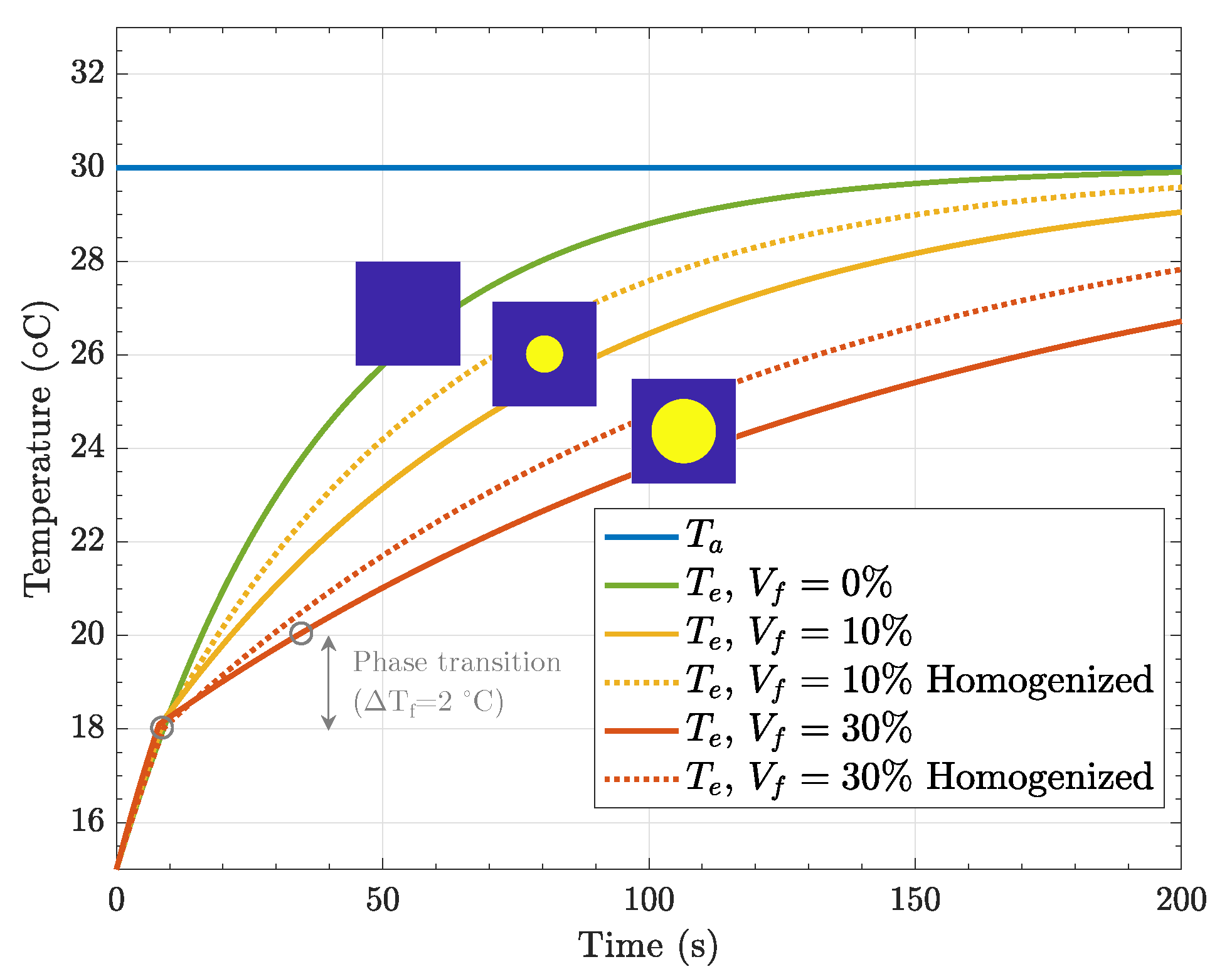
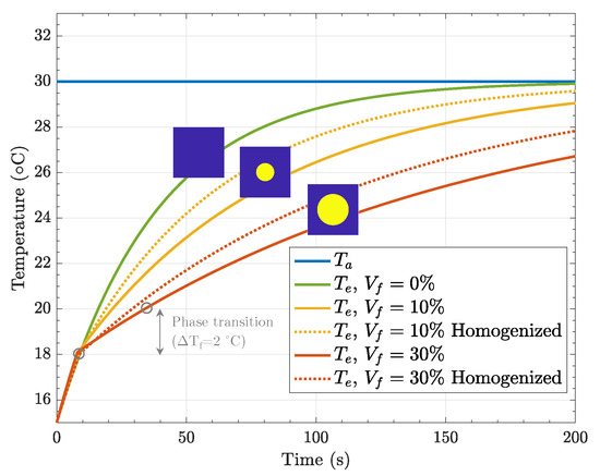
3.1. Material Thermal Characterization
3.2. Brick Characterization
3.2.1. Effect of Vf
3.2.2. Effect of Air Cells
3.2.3. Thermomechanical Assessment
4. Conclusions
Author Contributions
Funding
Institutional Review Board Statement
Informed Consent Statement
Data Availability Statement
Acknowledgments
Conflicts of Interest
References
- Agency, I.E. Energy Technology Perspectives 2016: Towards Sustainable Urban Energy Systems; IEA: Paris, France, 2016. [Google Scholar]
- Zhou, D.; Zhao, C.Y.; Tian, Y. Review on thermal energy storage with phase change materials (PCMs) in building applications. Appl. Energy 2012, 92, 593–605. [Google Scholar] [CrossRef] [Green Version]
- Mariano-Hernández, D.; Hernández-Callejo, L.; Zorita-Lamadrid, A.; Duque-Pérez, O.; Santos García, F. A review of strategies for building energy management system: Model predictive control, demand side management, optimization, and fault detect & diagnosis. J. Build. Eng. 2021, 33, 101692. [Google Scholar] [CrossRef]
- Sarakinioti, M.V.; Turrin, M.; Konstantinou, T.; Tenpierik, M.; Knaack, U. Developing an integrated 3D-printed façade with complex geometries for active temperature control. Mater. Today Commun. 2018, 15, 275–279. [Google Scholar] [CrossRef] [Green Version]
- Yang, L.; Yan, H.; Lam, J.C. Thermal comfort and building energy consumption implications–a review. Appl. Energy 2014, 115, 164–173. [Google Scholar] [CrossRef]
- Navarro, L.; De Gracia, A.; Colclough, S.; Browne, M.; McCormack, S.J.; Griffiths, P.; Cabeza, L.F. Thermal energy storage in building integrated thermal systems: A review. Part 1. Active storage systems. Renew. Energy 2016, 88, 526–547. [Google Scholar] [CrossRef] [Green Version]
- Navarro, L.; De Gracia, A.; Niall, D.; Castell, A.; Browne, M.; McCormack, S.J.; Griffiths, P.; Cabeza, L.F. Thermal energy storage in building integrated thermal systems: A review. Part 2. Integration as passive system. Renew. Energy 2016, 85, 1334–1356. [Google Scholar] [CrossRef] [Green Version]
- D’Agostino, D.; Mazzarella, L. What is a Nearly zero energy building? Overview, implementation and comparison of definitions. J. Build. Eng. 2019, 21, 200–212. [Google Scholar] [CrossRef]
- Berardi, U.; Soudian, S. Experimental investigation of latent heat thermal energy storage using PCMs with different melting temperatures for building retrofit. Energy Build. 2019, 185, 180–195. [Google Scholar] [CrossRef]
- Mindess, S. Developments in the Formulation and Reinforcement of Concrete; Woodhead Publishing: Sawston, UK, 2019. [Google Scholar]
- Meyer, C. Concrete and sustainable development. ACI Spec. Publ. 2002, 206, 501–512. [Google Scholar]
- Chen, J.; Wang, H.; Xie, P.; Najm, H. Analysis of thermal conductivity of porous concrete using laboratory measurements and microstructure models. Constr. Build. Mater. 2019, 218, 90–98. [Google Scholar] [CrossRef]
- Al-Jabri, K.S.; Hago, A.; Al-Nuaimi, A.; Al-Saidy, A. Concrete blocks for thermal insulation in hot climate. Cem. Concr. Res. 2005, 35, 1472–1479. [Google Scholar] [CrossRef]
- Šavija, B. Smart crack control in concrete through use of phase change materials (PCMs): A review. Materials 2018, 11, 654. [Google Scholar] [CrossRef] [PubMed] [Green Version]
- Beltrán, J.I.; Wang, J.; Montero-Chacón, F.; Cui, Y. Thermodynamic modeling of nitrate materials for hybrid thermal energy storage: Using latent and sensible mechanisms. Sol. Energy 2017, 155, 154–166. [Google Scholar] [CrossRef]
- Šavija, B.; Schlangen, E. Use of phase change materials (PCMs) to mitigate early age thermal cracking in concrete: Theoretical considerations. Constr. Build. Mater. 2016, 126, 332–344. [Google Scholar] [CrossRef] [Green Version]
- Ling, T.C.; Poon, C.S. Use of phase change materials for thermal energy storage in concrete: An overview. Constr. Build. Mater. 2013, 46, 55–62. [Google Scholar] [CrossRef]
- Ricklefs, A.; Thiele, A.M.; Falzone, G.; Sant, G.; Pilon, L. Thermal conductivity of cementitious composites containing microencapsulated phase change materials. Int. J. Heat Mass Transf. 2017, 104, 71–82. [Google Scholar] [CrossRef] [Green Version]
- Drissi, S.; Ling, T.C.; Mo, K.H.; Eddhahak, A. A review of microencapsulated and composite phase change materials: Alteration of strength and thermal properties of cement-based materials. Renew. Sustain. Energy Rev. 2019, 110, 467–484. [Google Scholar] [CrossRef]
- Alkhazaleh, A.H.; Almanaseer, W.; Ismail, M.; Almashaqbeh, S.; Farid, M. Thermal and mechanical properties of cement based-composite phase change material of butyl stearate/isopropyl palmitate/expanded graphite for low temperature solar thermal applications. J. Energy Storage 2022, 50, 104547. [Google Scholar] [CrossRef]
- Royon, L.; Karim, L.; Bontemps, A. Thermal energy storage and release of a new component with PCM for integration in floors for thermal management of buildings. Energy Build. 2013, 63, 29–35. [Google Scholar] [CrossRef]
- Mankel, C.; Caggiano, A.; Koenders, E. Thermal energy storage characterization of cementitious composites made with recycled brick aggregates containing PCM. Energy Build. 2019, 202, 109395. [Google Scholar] [CrossRef]
- Khan, Z.; Khan, Z.; Ghafoor, A. A review of performance enhancement of PCM based latent heat storage system within the context of materials, thermal stability and compatibility. Energy Convers. Manag. 2016, 115, 132–158. [Google Scholar] [CrossRef]
- Lecompte, T.; Le Bideau, P.; Glouannec, P.; Nortershauser, D.; Le Masson, S. Mechanical and thermo-physical behaviour of concretes and mortars containing phase change material. Energy Build. 2015, 94, 52–60. [Google Scholar] [CrossRef]
- Kuznik, F.; David, D.; Johannes, K.; Roux, J.J. A review on phase change materials integrated in building walls. Renew. Sustain. Energy Rev. 2011, 15, 379–391. [Google Scholar] [CrossRef] [Green Version]
- Ying Kong, S.; Yang, X.; Chandra Paul, S.; Sing Wong, L.; Šavija, B. Thermal response of mortar panels with different forms of macro-encapsulated phase change materials: A finite element study. Energies 2019, 12, 2636. [Google Scholar] [CrossRef] [Green Version]
- Mankel, C.; Caggiano, A.; Ukrainczyk, N.; Koenders, E. Thermal energy storage characterization of cement-based systems containing microencapsulated-PCMs. Constr. Build. Mater. 2019, 199, 307–320. [Google Scholar] [CrossRef]
- Khudhair, A.M.; Farid, M.M. A review on energy conservation in building applications with thermal storage by latent heat using phase change materials. Energy Convers. Manag. 2004, 45, 263–275. [Google Scholar] [CrossRef]
- Cabeza, L.F.; Castell, A.; Barreneche, C.D.; De Gracia, A.; Fernández, A. Materials used as PCM in thermal energy storage in buildings: A review. Renew. Sustain. Energy Rev. 2011, 15, 1675–1695. [Google Scholar] [CrossRef]
- Bao, X.; Tian, Y.; Yuan, L.; Cui, H.; Tang, W.; Fung, W.; Qi, H. Development of high performance PCM cement composites for passive solar buildings. Energy Build. 2019, 194, 33–45. [Google Scholar] [CrossRef]
- Essid, N.; Eddhahak-Ouni, A.; Neji, J. Experimental and numerical thermal properties investigation of cement-based materials modified with PCM for building construction use. J. Archit. Eng. 2020, 26, 04020018. [Google Scholar] [CrossRef]
- Li, M.; Ma, T.; Liu, J.; Li, H.; Xu, Y.; Gu, W.; Shen, L. Numerical and experimental investigation of precast concrete facade integrated with solar photovoltaic panels. Appl. Energy 2019, 253, 113509. [Google Scholar] [CrossRef]
- Castell, A.; Martorell, I.; Medrano, M.; Pérez, G.; Cabeza, L.F. Experimental study of using PCM in brick constructive solutions for passive cooling. Energy Build. 2010, 42, 534–540. [Google Scholar] [CrossRef]
- Lagou, A.; Kylili, A.; Šadauskienė, J.; Fokaides, P.A. Numerical investigation of phase change materials (PCM) optimal melting properties and position in building elements under diverse conditions. Constr. Build. Mater. 2019, 225, 452–464. [Google Scholar] [CrossRef]
- Blanco, J.M.; Frómeta, Y.G.; Madrid, M.; Cuadrado, J. Thermal performance assessment of walls made of three types of sustainable concrete blocks by means of fem and validated through an extensive measurement campaign. Sustainability 2021, 13, 386. [Google Scholar] [CrossRef]
- Jayalath, A.; Aye, L.; Ngo, T.; Mendis, P. Multi-scale analysis on thermal properties of cement-based materials containing micro-encapsulated phase change materials. Constr. Build. Mater. 2020, 254, 119221. [Google Scholar] [CrossRef]
- Fachinotti, V.D.; Bre, F.; Mankel, C.; Koenders, E.A.; Caggiano, A. Optimization of multilayered walls for building envelopes including PCM-based composites. Materials 2020, 13, 2787. [Google Scholar] [CrossRef]
- Cifuentes, H.; Montero-Chacón, F.; Galán, J.; Cabezas, J.; Martinez-De la Concha, A. A finite element-based methodology for the thermo-mechanical analysis of early age behavior in concrete structures. Int. J. Concr. Struct. Mater. 2019, 13, 41. [Google Scholar] [CrossRef]
- Aguayo, M.; Das, S.; Maroli, A.; Kabay, N.; Mertens, J.C.; Rajan, S.D.; Sant, G.; Chawla, N.; Neithalath, N. The influence of microencapsulated phase change material (PCM) characteristics on the microstructure and strength of cementitious composites: Experiments and finite element simulations. Cem. Concr. Compos. 2016, 73, 29–41. [Google Scholar] [CrossRef] [Green Version]
- Wu, Z.; Xu, Y.; Šavija, B. Mechanical Properties of Lightweight Cementitious Cellular Composites Incorporating Micro-Encapsulated Phase Change Material. Materials 2021, 14, 7586. [Google Scholar] [CrossRef]
- Montero-Chacón, F.; Sanz-Herrera, J.A.; Doblaré, M. Computational multiscale solvers for continuum approaches. Materials 2019, 12, 691. [Google Scholar] [CrossRef] [Green Version]
- Eddhahak-Ouni, A.; Drissi, S.; Colin, J.; Neji, J.; Care, S. Experimental and multi-scale analysis of the thermal properties of Portland cement concretes embedded with microencapsulated Phase Change Materials (PCMs). Appl. Therm. Eng. 2014, 64, 32–39. [Google Scholar] [CrossRef]
- Özdemir, I.; Brekelmans, W.; Geers, M. Computational homogenization for heat conduction in heterogeneous solids. Int. J. Numer. Methods Eng. 2008, 73, 185–204. [Google Scholar] [CrossRef] [Green Version]
- Kodjo, K.M.; Yvonnet, J.; Karkri, M.; Sab, K. Multiscale modeling of the thermomechanical behavior in heterogeneous media embedding phase change materials particles. J. Comput. Phys. 2019, 378, 303–323. [Google Scholar] [CrossRef] [Green Version]
- Zhi, J.; Raju, K.; Tay, T.E.; Tan, V.B.C. Multiscale analysis of thermal problems in heterogeneous materials with Direct FE2 method. Int. J. Numer. Methods Eng. 2021, 122, 7482–7503. [Google Scholar] [CrossRef]
- Vigneshwaran, K.; Sodhi, G.S.; Muthukumar, P.; Subbiah, S. Concrete based high temperature thermal energy storage system: Experimental and numerical studies. Energy Convers. Manag. 2019, 198, 111905. [Google Scholar] [CrossRef]
- Santamouris, M.; Kolokotsa, D. Passive cooling dissipation techniques for buildings and other structures: The state of the art. Energy Build. 2013, 57, 74–94. [Google Scholar] [CrossRef]
- Rodríguez, C.R.; de Mendonça Filho, F.F.; Figueiredo, S.C.; Schlangen, E.; Šavija, B. Fundamental investigation on the frost resistance of mortar with microencapsulated phase change materials. Cem. Concr. Compos. 2020, 113, 103705. [Google Scholar] [CrossRef]
- Šavija, B.; Zhang, H.; Schlangen, E. Influence of microencapsulated phase change material (PCM) addition on (micro) mechanical properties of cement paste. Materials 2017, 10, 863. [Google Scholar] [CrossRef] [Green Version]
- Šavija, B.; Luković, M.; Kotteman, G.M.; Figuieredo, S.C.; Schlangen, E. Development of ductile cementitious composites incorporating microencapsulated phase change materials. Int. J. Adv. Eng. Sci. Appl. Math. 2017, 9, 169–180. [Google Scholar] [CrossRef] [Green Version]
- Lamberg, P.; Lehtiniemi, R.; Henell, A.M. Numerical and experimental investigation of melting and freezing processes in phase change material storage. Int. J. Therm. Sci. 2004, 43, 277–287. [Google Scholar] [CrossRef]
- Thiele, A.M.; Sant, G.; Pilon, L. Diurnal thermal analysis of microencapsulated PCM-concrete composite walls. Energy Convers. Manag. 2015, 93, 215–227. [Google Scholar] [CrossRef]
- Bergheau, J.M.; Fortunier, R. Finite Element Simulation of Heat Transfer; John Wiley & Sons: Hoboken, NJ, USA, 2013. [Google Scholar]
- Montero-Chacón, F.; Zaghi, S.; Rossi, R.; García-Pérez, E.; Heras-Pérez, I.; Martínez, X.; Oller, S.; Doblaré, M. Multiscale thermo-mechanical analysis of multi-layered coatings in solar thermal applications. Finite Elem. Anal. Des. 2017, 127, 31–43. [Google Scholar] [CrossRef] [Green Version]
- Felske, J. Effective thermal conductivity of composite spheres in a continuous medium with contact resistance. Int. J. Heat Mass Transf. 2004, 47, 3453–3461. [Google Scholar] [CrossRef]
- Attaran, M. The rise of 3-D printing: The advantages of additive manufacturing over traditional manufacturing. Bus. Horizons 2017, 60, 677–688. [Google Scholar] [CrossRef]
- Kumar, R.; Singh, R.; Farina, I. On the 3D printing of recycled ABS, PLA and HIPS thermoplastics for structural applications. PSU Res. Rev. 2018, 2, 115–137. [Google Scholar] [CrossRef]
- Kazemian, A.; Yuan, X.; Cochran, E.; Khoshnevis, B. Cementitious materials for construction-scale 3D printing: Laboratory testing of fresh printing mixture. Constr. Build. Mater. 2017, 145, 639–647. [Google Scholar] [CrossRef]
- Shah, K.W. A review on enhancement of phase change materials-A nanomaterials perspective. Energy Build. 2018, 175, 57–68. [Google Scholar] [CrossRef]
- Inaba, H.; Kim, M.J.; Horibe, A. Melting heat transfer characteristics of microencapsulated phase change material slurries with plural microcapsules having different diameters. J. Heat Transf. 2004, 126, 558–565. [Google Scholar] [CrossRef]
- Wang, X.; Niu, J.; Li, Y.; Zhang, Y.; Wang, X.; Chen, B.; Zeng, R.; Song, Q. Heat transfer of microencapsulated PCM slurry flow in a circular tube. AIChE J. 2008, 54, 1110–1120. [Google Scholar] [CrossRef]
- Tao, Z.; Ghannam, M. Heat transfer in concrete-filled carbon and stainless steel tubes exposed to fire. Fire Saf. J. 2013, 61, 1–11. [Google Scholar] [CrossRef]















| Constituent | = 0% | = 10% | = 30% |
|---|---|---|---|
| CEM I 42.5 | 1354.8 | 1219.8 | 948.6 |
| water | 610.2 | 548.8 | 426.9 |
| PCM | 0 | 90 | 270 |
| Material Property | Cement | Paraffin Wax |
|---|---|---|
| Density, (kg/m3) | 1965 | 900 |
| Conductivity, k (W/mK) | 1.00 | 0.42 |
| Specific heat, cp (J/kgK) | 1530 | 1900 |
| Enthalpy of fusion, hf (J/kg) | n/a | 143,500 |
| Melting point, (°C) | n/a | 19 |
| Reference | Size (mm) | Curing Time (Days) | ||
|---|---|---|---|---|
| Large (L) | 0.44 | 0.0, 0.1, 0.3 | 21, 21, 28 | |
| Medium (M) | 0.24 | 0.0 | 21 | |
| Small (S) | 0.30 | 0.0 | 21 |
Publisher’s Note: MDPI stays neutral with regard to jurisdictional claims in published maps and institutional affiliations. |
© 2022 by the authors. Licensee MDPI, Basel, Switzerland. This article is an open access article distributed under the terms and conditions of the Creative Commons Attribution (CC BY) license (https://creativecommons.org/licenses/by/4.0/).
Share and Cite
Marin-Montin, J.; Roque, E.; Xu, Y.; Šavija, B.; Serrano-Ruiz, J.C.; Montero-Chacón, F. Thermomechanical Performance Analysis of Novel Cement-Based Building Envelopes with Enhanced Passive Insulation Properties. Materials 2022, 15, 4925. https://doi.org/10.3390/ma15144925
Marin-Montin J, Roque E, Xu Y, Šavija B, Serrano-Ruiz JC, Montero-Chacón F. Thermomechanical Performance Analysis of Novel Cement-Based Building Envelopes with Enhanced Passive Insulation Properties. Materials. 2022; 15(14):4925. https://doi.org/10.3390/ma15144925
Chicago/Turabian StyleMarin-Montin, Jorge, Eduardo Roque, Yading Xu, Branko Šavija, Juan Carlos Serrano-Ruiz, and Francisco Montero-Chacón. 2022. "Thermomechanical Performance Analysis of Novel Cement-Based Building Envelopes with Enhanced Passive Insulation Properties" Materials 15, no. 14: 4925. https://doi.org/10.3390/ma15144925
APA StyleMarin-Montin, J., Roque, E., Xu, Y., Šavija, B., Serrano-Ruiz, J. C., & Montero-Chacón, F. (2022). Thermomechanical Performance Analysis of Novel Cement-Based Building Envelopes with Enhanced Passive Insulation Properties. Materials, 15(14), 4925. https://doi.org/10.3390/ma15144925

