Micro-Mechanism of Uniaxial Compression Damage of Layered Cemented Backfill in Underground Mine
Abstract
:1. Introduction
2. Materials and Methods
2.1. Material
2.2. Methods
2.2.1. Sample Preparation
2.2.2. Numerical Simulation
3. Results and Discussion
3.1. Analysis of Mechanical Properties of Layered Filling Body
3.1.1. Uniaxial Compressive Strength of Layered Backfill
3.1.2. Elastic Modulus of Layered Filling Body
3.2. Damage Constitutive Equation and Damage Evolution of Layered Cemented Filling Body
3.2.1. Establishment of Damage Constitutive Equation
3.2.2. Analysis of Damage Evolution Characteristics
3.3. Micro-Failure Mode Analysis of Layered Cemented Backfill
3.3.1. Failure Mode Analysis of Layered Cemented Filling Body
3.3.2. Analysis of Fracture Evolution Law of Layered Cemented Filling Body
3.3.3. Energy Conversion of Layered Cemented Backfill under Failure State
4. Conclusions
- (1)
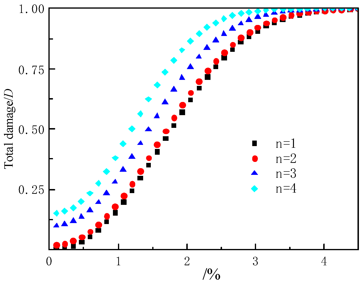
- The uniaxial compressive strength of layered backfill increases with the increase in slurry concentration. The increase in slurry concentration has the most obvious effect on the uniaxial compressive strength of the filling body, and the increase in the number of layers has a weakening effect on the strength of the filling body. Based on the damage theory, the constitutive damage model was constructed. It was found that the total damage of the filling body increases sharply with the increase in strain, and then increases slowly and finally gradually tends to one;
- (2)
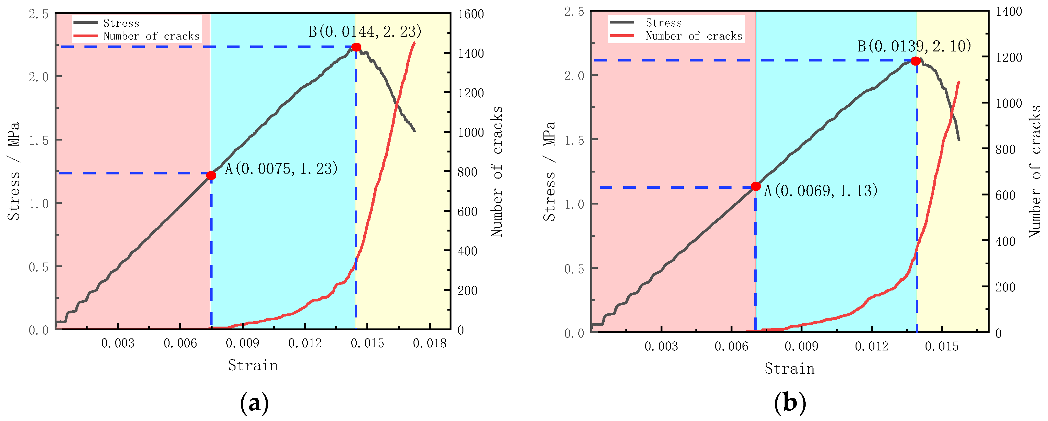
- By using PFC2D to analyze the fracture evolution law and failure mode of the filling body, it is found that when the stress of the filling body reaches about 55% of the peak stress, the cracks begin to appear and gradually develop; when the filling body stress reaches 90–100% of the peak stress, the number of cracks begins to rise sharply. The main failure modes of one layer and two layers backfills show obvious shear failure characteristics, and the failure modes of three layers and four layers backfills are closer to tensile failure;
- (3)
- The generation of cracks is accompanied by the mutual transformation of different energies. In the online elastic stage, the energy in the filling body begins to accumulate, and the strain energy and bond energy increase continuously; in the elastic–plastic stage, part of the strain energy begins to transform into dissipation energy, and the friction energy gradually increases and cracks begin to produce; in the plastic stage, the strain energy continues to transform into dissipated energy, and the bond energy begins to decline. The cracks gradually develop, and the number increases sharply until the specimen is destroyed.
Author Contributions
Funding
Institutional Review Board Statement
Informed Consent Statement
Data Availability Statement
Conflicts of Interest
References
- Cao, S.; Yilmaz, E.; Yin, Z. CT scanning of internal crack mechanism and strength behavior of cement-fiber-tailings matrix composites. Cem. Concr. Compos. 2021, 116, 103865. [Google Scholar] [CrossRef]
- Zheng, D.; Song, W.; Cao, S. Dynamical mechanical properties and microstructure characteristics of cemented tailings backfill considering coupled strain rates and confining pressures effects. Constr. Build. Mater. 2022, 320, 126321. [Google Scholar] [CrossRef]
- Xue, G.; Yilmaz, E.; Feng, G.; Cao, S. Bending behavior and failure mode of cemented tailings backfill composites incorporating different fibers for sustainable construction. Constr. Build. Mater. 2021, 289, 123163. [Google Scholar] [CrossRef]
- Cao, S.; Song, W. Effect of filling interval time on long-term mechanical strength of layered cemented tailing backfill. Adv. Mater. Sci. Eng. 2016, 2016, 9507852. [Google Scholar] [CrossRef] [Green Version]
- Zheng, D.; Song, W.; Cao, S. Investigation on dynamical mechanics, energy dissipation, and microstructural characteristics of cemented tailings backfill under SHPB tests. Minerals 2021, 11, 542. [Google Scholar] [CrossRef]
- Zhang, C.; Wang, J.; Song, W. Pore structure, mechanical behavior and damage evolution of cemented paste backfill. J. Mater. Res. Technol. 2022, 17, 2864–2874. [Google Scholar] [CrossRef]
- Cui, L.; Fall, M. An evolutive elasto-plastic model for cemented paste backfill. Comput. Geotech. 2016, 71, 19–29. [Google Scholar] [CrossRef]
- Cao, S.; Song, W.; Yilmaz, E. Influence of structural factors on uniaxial compressive strength of cemented tailings backfill. Constr. Build. Mater. 2018, 174, 190–201. [Google Scholar] [CrossRef]
- Cao, S.; Yilmaz, E.; Song, W. Loading rate effect on uniaxial compressive strength behavior and acoustic emission properties of cemented tailings backfill. Constr. Build. Mater. 2019, 213, 313–324. [Google Scholar] [CrossRef]
- Chen, F.; Xu, B.; Jiao, H.; Chen, X.; Shi, Y.; Wang, J.; Li, Z. Triaxial mechanical properties and microstructure visualization of BFRC. Constr. Build. Mater. 2021, 278, 122275. [Google Scholar] [CrossRef]
- Jiang, L.; Yang, C.; Jiao, H. Ultimately exposed roof area prediction of bauxite deposit goaf based on macro joint damage. Int. J. Min. Sci. Technol. 2020, 30, 699–704. [Google Scholar] [CrossRef]
- Zhou, Y.; Yan, Y.; Zhao, K. Study of the effect of loading modes on the acoustic emission fractal and damage characteristics of cemented paste backfill. Constr. Build. Mater. 2021, 277, 122311. [Google Scholar] [CrossRef]
- Yilmaz, E.; Belem, T.; Bussière, B. Curing time effect on consolidation behaviour of cemented paste backfill containing different cement types and contents. Constr. Build. Mater. 2015, 75, 99–111. [Google Scholar] [CrossRef]
- Jiao, H.Z.; Wu, Y.C.; Wang, H.; Chen, X.M.; Li, Z.; Wang, Y.F.; Zhang, B.Y.; Liu, J.H. Micro-scale mechanism of sealed water seepage and thickening from tailings bed in rake shearing thickener. Miner. Eng. 2021, 173, 107043. [Google Scholar] [CrossRef]
- Xu, W.; Li, Q.; Liu, B. Coupled effect of curing temperature and age on compressive behavior, microstructure and ultrasonic properties of cemented tailings backfill. Constr. Build. Mater. 2020, 237, 117738. [Google Scholar] [CrossRef]
- Xue, G.; Yilmaz, E.; Feng, G.; Cao, S.; Sun, L. Reinforcement effect of polypropylene fiber on dynamic properties of cemented tailings backfill under SHPB impact loading. Constr. Build. Mater. 2021, 279, 122417. [Google Scholar] [CrossRef]
- Deng, H.; Liu, Y.; Zhang, W. Study on the Strength Evolution Characteristics of Cemented Tailings Backfill from the Perspective of Porosity. Minerals 2021, 11, 82. [Google Scholar] [CrossRef]
- Gao, T.; Sun, W.; Liu, Z.; Cheng, H. Investigation on fracture characteristics and failure pattern of inclined layered cemented tailings backfill. Constr. Build. Mater. 2022, 343, 128110. [Google Scholar] [CrossRef]
- Jiao, H.; Wang, S.; Yang, Y.; Chen, X. Water recovery improvement by shearing of gravity-thickened tailings for cemented paste backfill. J. Clean. Prod. 2020, 245, 118882. [Google Scholar] [CrossRef]
- Jiao, H.; Wang, S.; Wu, A.; Shen, H.-M.; Wang, J.-D. Cementitious property of NaAlO2-activated Ge slag as cement supplement. Int. J. Miner. Metall. Mater. 2019, 26, 1594–1603. [Google Scholar] [CrossRef]
- Chen, S.; Wu, A.; Wang, Y. Coupled effects of curing stress and curing temperature on mechanical and physical properties of cemented paste backfill. Constr. Build. Mater. 2021, 273, 121746. [Google Scholar] [CrossRef]
- Wu, A.; Ruan, Z.; Wang, J. Rheological behavior of paste in metal mines. Int. J. Miner. Metall. Mater. 2022, 29, 717–726. [Google Scholar] [CrossRef]
- Jiang, L.; Jiao, H.; Wang, Y.; Wang, G.-G. Comprehensive safety factor of roof in goaf underdeep high stress. J. Cent. South Univ. 2021, 28, 595–603. [Google Scholar] [CrossRef]
- Chen, X.; Jin, X.; Jiao, H.; Yang, L.; Liu, J. Pore connectivity and dewatering mechanism of tailings bed in raking deep-cone thickener process. Minerals 2020, 10, 375. [Google Scholar] [CrossRef]
- Belibi, T.; Yin, S.; Wang, L. Investigation on Mechanical Characteristics and Microstructure of Cemented Whole Tailings Backfill. Minerals 2021, 11, 592. [Google Scholar] [CrossRef]
- Aldhafeeri, Z.; Fall, M. Coupled effect of sulphate and temperature on the reactivity of cemented tailings backfill. Int. J. Min. Reclam. Environ. 2021, 35, 80–94. [Google Scholar] [CrossRef]
- Cao, S.; Xue, G.; Song, W. Strain rate effect on dynamic mechanical properties and microstructure of cemented tailings composites. Constr. Build. Mater. 2020, 247, 118537. [Google Scholar] [CrossRef]
- Xue, G.; Yilmaz, E.; Song, W. Mechanical, flexural and microstructural properties of cement-tailings matrix composites: Effects of fiber type and dosage. Compos. Part B 2019, 172, 131–142. [Google Scholar] [CrossRef]
- Wang, J.; Fu, J.; Song, W. Acoustic emission characteristics and damage evolution process of layered cemented tailings backfill under uniaxial compression. Constr. Build. Mater. 2021, 295, 123663. [Google Scholar] [CrossRef]
- Xue, G.; Yilmaz, E. Strength, acoustic, and fractal behavior of fiber reinforced cemented tailings backfill subjected to triaxial compression loads. Constr. Build. Mater. 2022, 338, 127667. [Google Scholar] [CrossRef]
- Fu, J.; Wang, J.; Song, W. Damage constitutive model and strength criterion of cemented paste backfill based on layered effect considerations. J. Mater. Res. Technol. 2020, 9, 6073–6084. [Google Scholar] [CrossRef]
- Liu, Z.; Ming, L.; Xiao, S. Damage failure of cemented backfill and its reasonable match with rock mass. Trans. Nonferrous Met. Soc. China 2015, 25, 954–959. [Google Scholar] [CrossRef]
- Zhang, C.; Fu, J.; Song, W.; Kang, K.; Li, T.; Wang, N. Analysis on mechanical behavior and failure characteristics of layered cemented paste backfill (LCPB) under triaxial compression. Constr. Build. Mater. 2022, 324, 126631. [Google Scholar] [CrossRef]
- Zhou, Y.; Yu, X.; Guo, Z.; Yan, Y.; Zhao, K.; Wang, J.; Zhu, S. On acoustic emission characteristics, initiation crack intensity, and damage evolution of cement-paste backfill under uniaxial compression. Constr. Build. Mater. 2021, 269, 121261. [Google Scholar] [CrossRef]
- Tu, B.; Liu, L.; Cheng, K.; Zhang, B.; Zhao, Y.; Yang, Q.; Song, K. A constitutive model for cemented tailings backfill under uniaxial compression. Front. Phys. 2020, 8, 173. [Google Scholar] [CrossRef]
- Cui, L.; Wang, Y.; Yu, Z.; Zhang, Y. The Compressive Behavior of Cemented Tailings Backfill under the Action of Different Curing Temperature and Age. J. Min. Sci. 2021, 57, 581–594. [Google Scholar] [CrossRef]
- Jiao, H.Z.; Chen, W.L.; Wu, A.X.; Yu, Y.; Ruan, Z.; Honaker, R.; Chen, X.; Yu, J. Flocculated unclassified tailings settling efficiency improvement by particle collision optimization in the feedwell. Int. J. Miner. Metall. Mater. 2021. [Google Scholar] [CrossRef]
- Gao, R.; Zhou, K.; Yang, C. Damage mechanism of composite cemented backfill based on complex defects influence: Schädigungsmechanismus zusammengesetzter zementierter Verfüllmaterialen in Abhängigkeit komplexer Fehlereinflüsse. Mater. Werkst. 2017, 48, 893–904. [Google Scholar] [CrossRef]
- Xu, W.; Cao, Y.; Liu, B. Strength efficiency evaluation of cemented tailings backfill with different stratified structures. Eng. Struct. 2019, 180, 18–28. [Google Scholar] [CrossRef]
- Wang, J.; Song, W.; Cao, S.; Tan, Y. Mechanical properties and failure modes of stratified backfill under triaxial cyclic loading and unloading. Int. J. Min. Sci. Technol. 2019, 29, 809–814. [Google Scholar] [CrossRef]
- Wang, J.; Fu, J.; Song, W. Mechanical properties and microstructure of layered cemented paste backfill under triaxial cyclic loading and unloading. Constr. Build. Mater. 2020, 257, 119540. [Google Scholar] [CrossRef]
- Liu, Q.; Liu, D.; Tian, Y.; Liu, X. Numerical simulation of stress-strain behaviour of cemented paste backfill in triaxial compression. Eng. Geol. 2017, 231, 165–175. [Google Scholar] [CrossRef]
- Hou, Y.; Yin, S.; Chen, X.; Zhang, M.; Yang, S. Study on characteristic stress and energy damage evolution mechanism of cemented tailings backfill under uniaxial compression. Constr. Build. Mater. 2021, 301, 124333. [Google Scholar] [CrossRef]
- Yin, S.; Hou, Y.; Chen, X.; Zhang, M.; Du, H.; Gao, C. Mechanical behavior, failure pattern and damage evolution of fiber-reinforced cemented sulfur tailings backfill under uniaxial loading. Constr. Build. Mater. 2022, 332, 127248. [Google Scholar] [CrossRef]










| Class | SiO2 | Al2O3 | CaO | MgO | P | S | Fe | Au |
|---|---|---|---|---|---|---|---|---|
| Contents(%) | 65.7 | 14.3 | 1.88 | 0.49 | 0.08 | 0.13 | 3.05 | <0.01 |
| Slurry Concentration | One Filling | Two Filling | Three Filling | Four Filling |
|---|---|---|---|---|
| 68% | 1.04 | 0.84 | 0.72 | 0.35 |
| 70% | 1.32 | 0.89 | 0.77 | 0.55 |
| 72% | 1.82 | 1.65 | 1.36 | 1.26 |
| 74% | 2.24 | 2.13 | 1.76 | 1.44 |
| Source | SS | DF | MS | F | P |
|---|---|---|---|---|---|
| Correction model | 23.573 a | 15 | 1.572 | 151.731 | <0.001 |
| Intercept | 126.479 | 1 | 126.479 | 12,211.378 | <0.001 |
| Slurry concentration | 17.805 | 3 | 5.935 | 572.999 | <0.001 |
| Filling times | 5.404 | 3 | 1.801 | 173.913 | <0.001 |
| Slurry concentration ∗ Filling times | 0.365 | 9 | 0.041 | 3.914 | <0.001 |
| Error | 0.663 | 64 | 0.010 | ||
| Total | 150.715 | 80 | |||
| Revised total | 24.236 | 79 |
| Slurry Concentration/% | Case | Subset | |||
|---|---|---|---|---|---|
| 1 | 2 | 3 | 4 | ||
| 68 | 20 | 0.7320 | |||
| 70 | 20 | 0.8825 | |||
| 72 | 20 | 1.5225 | |||
| 74 | 20 | 1.8925 | |||
| P | 1.000 | 1.000 | 1.000 | 1.000 | |
| Filling Times | Case | Subset | |||
|---|---|---|---|---|---|
| 1 | 2 | 3 | 4 | ||
| 4 | 20 | 0.9000 | |||
| 3 | 20 | 1.1525 | |||
| 2 | 20 | 1.3775 | |||
| 1 | 20 | 1.5995 | |||
| P | 1.000 | 1.000 | 1.000 | 1.000 | |
| Layer Number | Peak Stress/MPa | Peak Strain/% | Elastic Modulus/GPa |
|---|---|---|---|
| 1 | 2.24 | 1.45 | 0.154 |
| 2 | 2.13 | 1.41 | 0.151 |
| 3 | 1.76 | 1.27 | 0.139 |
| 4 | 1.44 | 1.10 | 0.131 |
| Layer Number | m | |
|---|---|---|
| 1 | 2.306 | 2.083 |
| 2 | 2.303 | 2.026 |
| 3 | 2.299 | 1.824 |
| 4 | 2.302 | 1.580 |
| Number of Layers | Cracks Begin to Appear | Inflection Point of Crack Number Growth | ||
|---|---|---|---|---|
| Stress/MPa | Strain | Stress/MPa | Strain | |
| One layer | 1.23 | 0.0075 | 2.23 | 0.0144 |
| Two layers | 1.13 | 0.0069 | 2.10 | 0.0139 |
| Three layers | 0.99 | 0.0067 | 1.75 | 0.0127 |
| Four layers | 0.75 | 0.0051 | 1.40 | 0.0106 |
Publisher’s Note: MDPI stays neutral with regard to jurisdictional claims in published maps and institutional affiliations. |
© 2022 by the authors. Licensee MDPI, Basel, Switzerland. This article is an open access article distributed under the terms and conditions of the Creative Commons Attribution (CC BY) license (https://creativecommons.org/licenses/by/4.0/).
Share and Cite
Chen, X.; Zhang, H.; Wu, Y.; Jiao, H.; Yang, L.; Wang, Q.; Zhang, W. Micro-Mechanism of Uniaxial Compression Damage of Layered Cemented Backfill in Underground Mine. Materials 2022, 15, 4846. https://doi.org/10.3390/ma15144846
Chen X, Zhang H, Wu Y, Jiao H, Yang L, Wang Q, Zhang W. Micro-Mechanism of Uniaxial Compression Damage of Layered Cemented Backfill in Underground Mine. Materials. 2022; 15(14):4846. https://doi.org/10.3390/ma15144846
Chicago/Turabian StyleChen, Xinming, Haowen Zhang, Yuping Wu, Huazhe Jiao, Liuhua Yang, Qinting Wang, and Wenxiang Zhang. 2022. "Micro-Mechanism of Uniaxial Compression Damage of Layered Cemented Backfill in Underground Mine" Materials 15, no. 14: 4846. https://doi.org/10.3390/ma15144846
APA StyleChen, X., Zhang, H., Wu, Y., Jiao, H., Yang, L., Wang, Q., & Zhang, W. (2022). Micro-Mechanism of Uniaxial Compression Damage of Layered Cemented Backfill in Underground Mine. Materials, 15(14), 4846. https://doi.org/10.3390/ma15144846

