Proton Conduction in Acceptor-Doped BaSnO3: The Impact of the Interaction between Ionic Defects and Acceptor Impurities
Abstract
:1. Introduction
2. Theory
2.1. Hydration
2.2. Proton Transport
3. Results and Discussion
3.1. Model Parameters for Barium Stannate
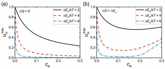
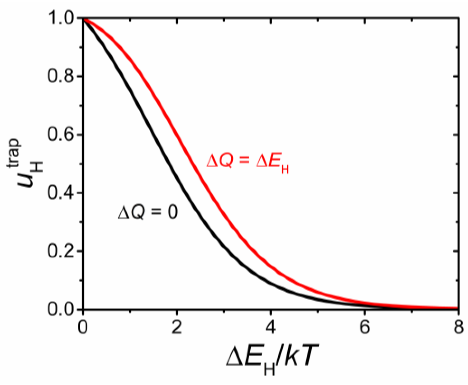
3.2. Dependence of the Proton Conductivity on the Trapping Energies of Ionic Defects
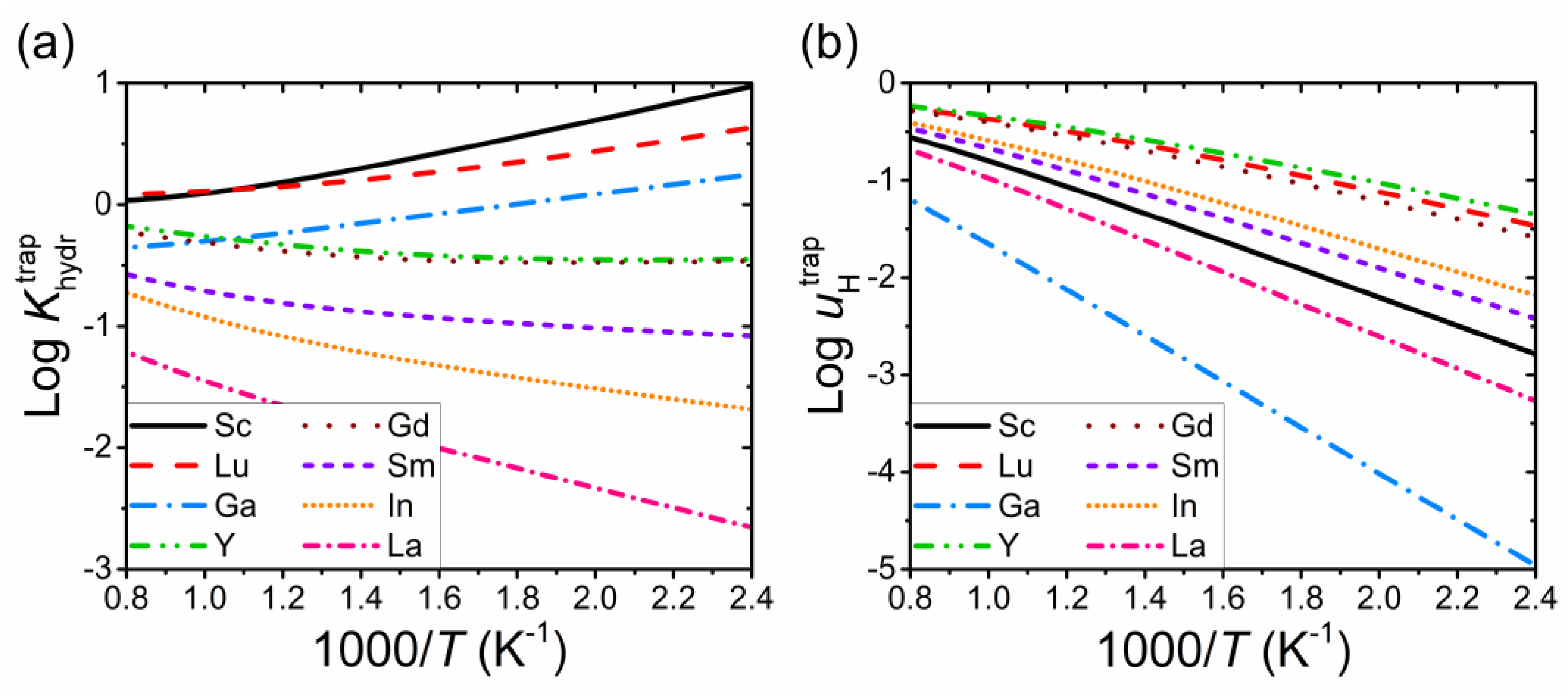
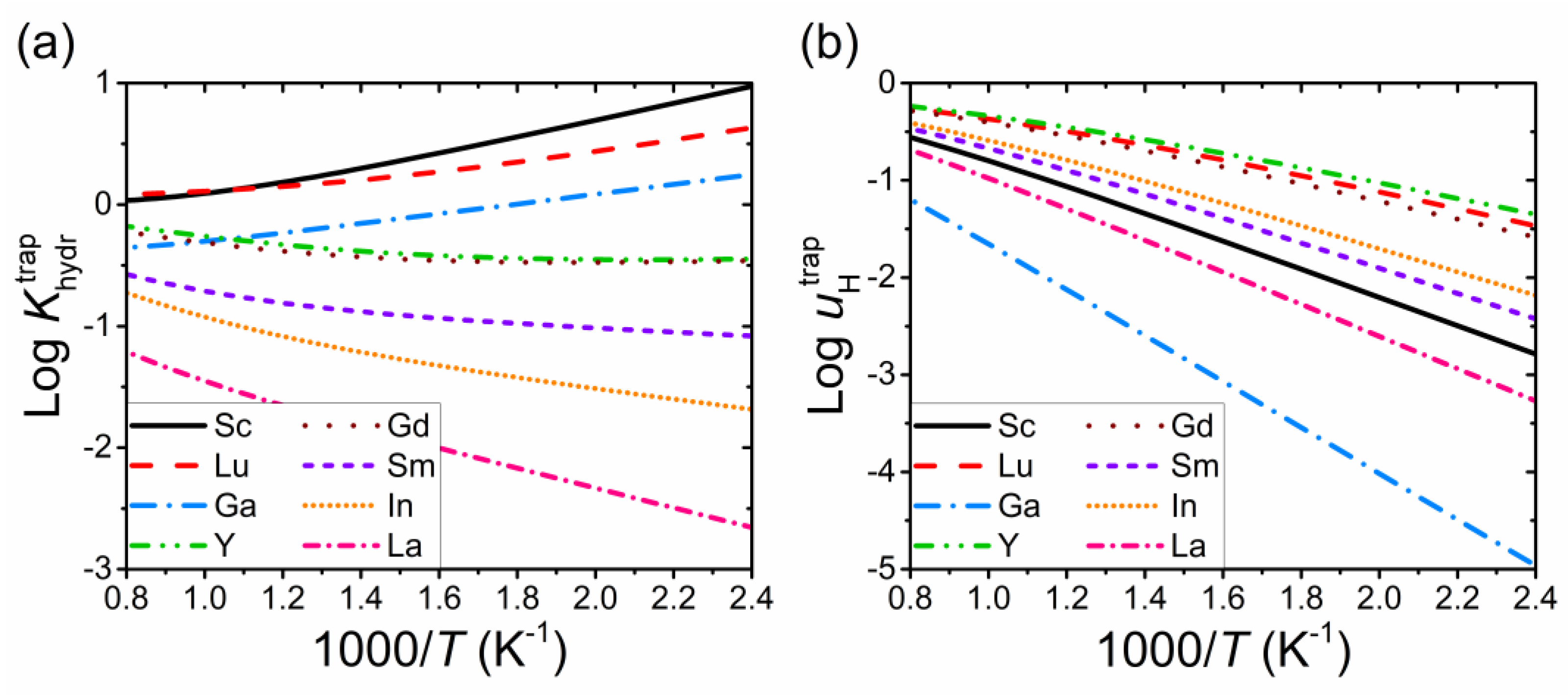
3.3. Proton Conductivity as a Function of the Ionic Radius of the Acceptor Dopant
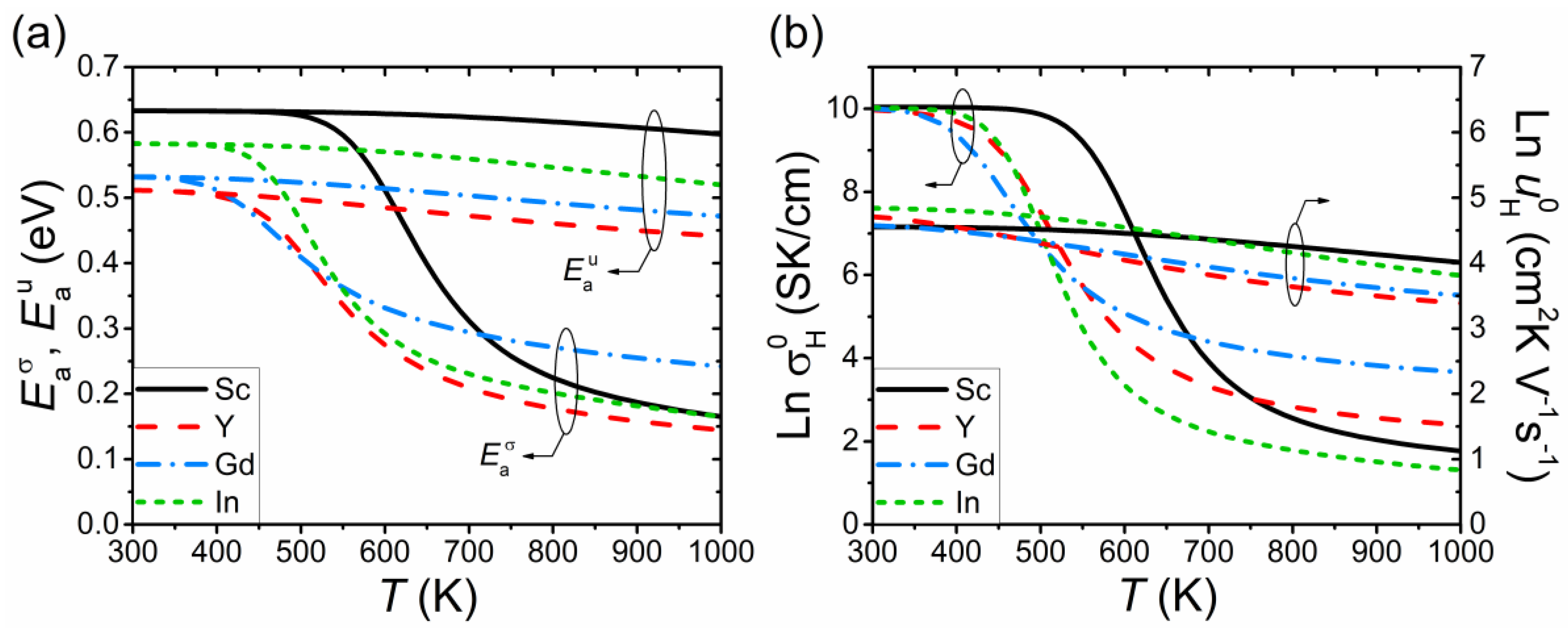
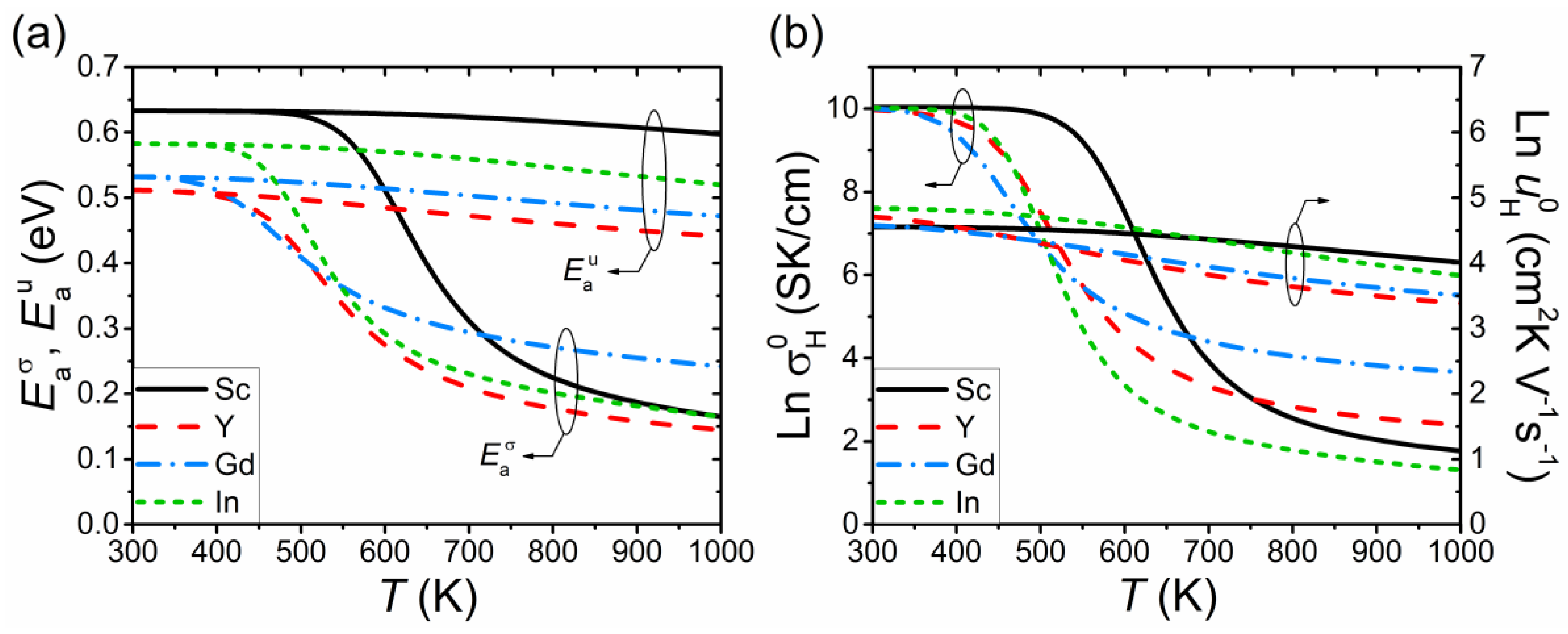
3.4. Effect of Temperature on the Activation Energies and Prefactors of Proton Conductivity and Mobility
3.5. Comparison with Experimental Data
4. Conclusions
Author Contributions
Funding
Institutional Review Board Statement
Informed Consent Statement
Data Availability Statement
Conflicts of Interest
References
- Duan, C.; Huang, J.; Sullivan, N.; O’Hayre, R. Proton-conducting oxides for energy conversion and storage. Appl. Phys. Rev. 2020, 7, 011314. [Google Scholar] [CrossRef]
- Zvonareva, I.; Fu, X.-Z.; Medvedev, D.; Shao, Z. Electrochemistry and energy conversion features of protonic ceramic cells with mixed ionic-electronic electrolytes. Energy Environ. Sci. 2022, 15, 439–465. [Google Scholar] [CrossRef]
- Choi, S.; Kucharczyk, C.J.; Liang, Y.; Zhang, X.; Takeuchi, I.; Ji, H.-I.; Haile, S.M. Exceptional power density and stability at intermediate temperatures in protonic ceramic fuel cells. Nat. Energy 2018, 3, 202–210. [Google Scholar] [CrossRef] [Green Version]
- Lei, L.; Zhang, J.; Yuan, Z.; Liu, J.; Ni, M.; Chen, F. Progress report on proton conducting solid oxide electrolysis cells. Adv. Funct. Mater. 2019, 29, 1903805. [Google Scholar] [CrossRef]
- Hempelmann, R. Hydrogen diffusion mechanism in proton conducting oxides. Phys. B 1996, 226, 72–77. [Google Scholar] [CrossRef]
- Kreuer, K.D.; Adams, S.; Münch, W.; Fuchs, A.; Klock, U.; Maier, J. Proton conducting alkaline earth zirconates and titanates for high drain electrochemical applications. Solid State Ionics 2001, 145, 295–306. [Google Scholar] [CrossRef]
- Wang, Y.; Chesnaud, A.; Bévillon, E.; Yang, J.; Dezanneau, G. Synthesis, structure and protonic conduction of BaSn0.875M0.125O3−δ (M = Sc, Y, In and Gd). Int. J. Hydrogen Energy 2011, 36, 7688–7695. [Google Scholar] [CrossRef]
- Putilov, L.P.; Shevyrev, N.A.; Mineev, A.M.; Farlenkov, A.S.; Medvedev, D.A.; Tsidilkovski, V.I. Hydration of acceptor-doped BaSnO3: Implications of the bound states of ionic defects. Acta Mater. 2020, 190, 70–80. [Google Scholar] [CrossRef]
- Yamazaki, Y.; Blanc, F.; Okuyama, Y.; Buannic, L.; Lucio-Vega, J.C.; Grey, C.P.; Haile, S.M. Proton trapping in yttrium-doped barium zirconate. Nat. Mater. 2013, 12, 647–651. [Google Scholar] [CrossRef] [Green Version]
- Gilardi, E.; Fabbri, E.; Bi, L.; Rupp, J.L.M.; Lippert, T.; Pergolesi, D.; Traversa, E. Effect of dopant–host ionic radii mismatch on acceptor-doped barium zirconate microstructure and proton conductivity. J. Phys. Chem. C 2017, 121, 9739−9747. [Google Scholar] [CrossRef]
- Han, D.; Shinoda, K.; Sato, S.; Majima, M.; Uda, T. Correlation between electroconductive and structural properties of proton conductive acceptor-doped barium zirconate. J. Mater. Chem. A 2015, 3, 1243–1250. [Google Scholar] [CrossRef] [Green Version]
- Björketun, M.E.; Sundell, P.G.; Wahnström, G. Effect of acceptor dopants on the proton mobility in BaZrO3: A density functional investigation. Phys. Rev. B 2007, 76, 054307. [Google Scholar] [CrossRef]
- Bevillon, E.; Hermet, J.; Dezanneau, G.; Geneste, G. How dopant size influences the protonic energy landscape in BaSn1−xMxO3−x/2 (M = Ga, Sc, In, Y, Gd, La). J. Mater. Chem. A 2014, 2, 460–471. [Google Scholar] [CrossRef]
- Løken, A.; Bjørheim, T.S.; Haugsrud, R. The pivotal role of the dopant choice on the thermodynamics of hydration and associations in proton conducting BaCe0.9X0.1O3−δ (X = Sc, Ga, Y, In, Gd and Er). J. Mater. Chem. A 2015, 3, 23289–23298. [Google Scholar] [CrossRef] [Green Version]
- Bjørheim, T.S.; Kotomin, E.; Maier, J. Hydration entropy of BaZrO3 from first principles phonon calculations. J. Mater. Chem. A 2015, 3, 7639–7648. [Google Scholar] [CrossRef]
- Putilov, L.P.; Tsidilkovski, V.I. Impact of bound ionic defects on the hydration of acceptor-doped proton-conducting perovskites. Phys. Chem. Chem. Phys. 2019, 21, 6391–6406. [Google Scholar] [CrossRef]
- Yamazaki, Y.; Kuwabara, A.; Hyodo, J.; Okuyama, Y.; Fisher, C.A.J.; Haile, S.M. Oxygen affinity: The missing link enabling prediction of proton conductivities in doped barium zirconates. Chem. Mater. 2020, 32, 7292−7300. [Google Scholar] [CrossRef]
- Björketun, M.E.; Sundell, P.G.; Wahnström, G.; Engberg, D. A kinetic Monte Carlo study of proton diffusion in disordered perovskite structured lattices based on first-principles calculations. Solid State Ionics 2005, 176, 3035–3040. [Google Scholar] [CrossRef]
- Tsidilkovski, V.I.; Uritsky, M.Z.; Varaksin, A.N.; Fishman, A.Y. The Influence of defects on proton diffusion in perovskites AIIBIV1−xRIIIxO3−δ: Monte Carlo study. Defect Diffus. Forum 2006, 258–260, 124–129. [Google Scholar]
- Uritsky, M.Z.; Tsidilkovski, V.I. Role of an acceptor impurity in the proton transfer in proton-conducting oxides. Phys. Solid State 2014, 56, 2173–2180. [Google Scholar] [CrossRef]
- Draber, F.M.; Ader, C.; Arnold, J.P.; Eisele, S.; Grieshammer, S.; Yamaguchi, S.; Martin, M. Nanoscale percolation in doped BaZrO3 for high proton mobility. Nat. Mater. 2020, 19, 338–346. [Google Scholar] [CrossRef] [PubMed]
- Putilov, L.P.; Tsidilkovski, V.I. Improving the performance of protonic ceramic fuel cells and electrolyzers: The role of acceptor impurities in oxide membranes. Energy Convers. Manag. 2022, 267, 115826. [Google Scholar] [CrossRef]
- Wang, Y.; Chesnaud, A.; Bevillon, E.; Dezanneau, G. Properties of Y-doped BaSnO3 proton conductors. Solid State Ionics 2012, 214, 45–55. [Google Scholar] [CrossRef]
- Mineev, A.M.; Zvonareva, I.A.; Medvedev, D.A.; Shao, Z. Maintaining pronounced proton transportation of solid oxides prepared with a sintering additive. J. Mater. Chem. A 2021, 9, 14553–14565. [Google Scholar] [CrossRef]
- Prakash, A.; Xu, P.; Faghaninia, A.; Shukla, S.; Ager, J.W.; Lo, C.S.; Jalan, B. Wide bandgap BaSnO3 films with room temperature conductivity exceeding 104 S cm−1. Nat. Commun. 2017, 8, 15167–15175. [Google Scholar] [CrossRef] [Green Version]
- Prakash, A.; Jalan, B. Wide bandgap perovskite oxides with high room-temperature electron mobility. Adv. Mater. Interfaces 2019, 6, 1900479. [Google Scholar] [CrossRef]
- Shin, S.S.; Suk, J.H.; Kang, B.J.; Yin, W.; Lee, S.J.; Noh, J.H.; Ahn, T.K.; Rotermund, F.; Cho, I.S.; Seok, S.I. Energy-level engineering of the electron transporting layer for improving open-circuit voltage in dye and perovskite-based solar cells. Energy Environ. Sci. 2019, 12, 958–964. [Google Scholar] [CrossRef]
- Geneste, G.; Dezanneau, G. Competition between elastic and chemical effects in the doping, defect association, and hydration of barium stannate. Solid State Ionics 2017, 308, 121–132. [Google Scholar] [CrossRef]
- Wang, Y.; Chesnaud, A.; Bévillon, E.; Xiong, J.; Yang, J. Effects of Sn substitution on structural and electrical properties of BaSn0.75M0.25O3−δ (M = Sc, In, Y, Gd, Nd…). J. Alloys Compd. 2013, 555, 395–401. [Google Scholar] [CrossRef]
- Miller, A.; Abrahams, E. Impurity conduction at low concentrations. Phys. Rev. 1960, 120, 745–755. [Google Scholar] [CrossRef]
- Kirkpatrick, S. Percolation and conduction. Rev. Mod. Phys. 1973, 45, 574–588. [Google Scholar] [CrossRef]
- Han, D.; Hatada, N.; Uda, T. Microstructure, proton concentration and proton conductivity of barium zirconate doped with Ho, Er, Tm and Yb. J. Electrochem. Soc. 2016, 163, F470–F476. [Google Scholar] [CrossRef] [Green Version]
- Li, L.; Nino, J.C. Proton-conducting barium stannates: Doping strategies and transport properties. Int. J. Hydrogen Energy 2013, 38, 1598–1606. [Google Scholar] [CrossRef]
- Amsif, M.; Marrero-Lopez, D.; Ruiz-Morales, J.C.; Savvin, S.N.; Gabás, M.; Nunez, P. Influence of rare-earth doping on the microstructure and conductivity of BaCe0.9Ln0.1O3−δ proton conductors. J. Power Sources 2011, 196, 3461–3469. [Google Scholar] [CrossRef]










| Trapping energies of protons and oxygen vacancies for BaSnO3 doped with different acceptor impurities [28] | = 0.86 eV |
| = 0.44 eV | |
| = 0.56 eV | |
| = 0.25 eV | |
| = 0.32 eV | |
| = 0.36 eV | |
| = 0.55 eV | |
| = 0.82 eV | |
| Effective dopant content for barium stannate with nominal composition BaSn0.875R0.125O3–δ [7] | = 0.0836 |
| = 0.0769 | |
| Enthalpy and entropy of hydration in the absence of trapping | = –73 kJ mol−1 |
| = –110 J mol−1K−1 | |
| Activation energy and prefactor of the proton mobility in the absence of the interaction with acceptor impurities | Q = 0.34 eV |
| Au = 19 cm2K V−1s−1 |
Publisher’s Note: MDPI stays neutral with regard to jurisdictional claims in published maps and institutional affiliations. |
© 2022 by the authors. Licensee MDPI, Basel, Switzerland. This article is an open access article distributed under the terms and conditions of the Creative Commons Attribution (CC BY) license (https://creativecommons.org/licenses/by/4.0/).
Share and Cite
Putilov, L.; Tsidilkovski, V. Proton Conduction in Acceptor-Doped BaSnO3: The Impact of the Interaction between Ionic Defects and Acceptor Impurities. Materials 2022, 15, 4795. https://doi.org/10.3390/ma15144795
Putilov L, Tsidilkovski V. Proton Conduction in Acceptor-Doped BaSnO3: The Impact of the Interaction between Ionic Defects and Acceptor Impurities. Materials. 2022; 15(14):4795. https://doi.org/10.3390/ma15144795
Chicago/Turabian StylePutilov, Lev, and Vladislav Tsidilkovski. 2022. "Proton Conduction in Acceptor-Doped BaSnO3: The Impact of the Interaction between Ionic Defects and Acceptor Impurities" Materials 15, no. 14: 4795. https://doi.org/10.3390/ma15144795
APA StylePutilov, L., & Tsidilkovski, V. (2022). Proton Conduction in Acceptor-Doped BaSnO3: The Impact of the Interaction between Ionic Defects and Acceptor Impurities. Materials, 15(14), 4795. https://doi.org/10.3390/ma15144795

