The Effect of Acidity Coefficient on the Crystallization Properties and Viscosity of Modified Blast Furnace Slag for Mineral Wool Production
Abstract
:1. Introduction
2. Methods
2.1. Experimental Materials
2.2. DSC
2.3. Microscopic Detection
2.4. Viscosity Methods
3. Results and Discussion
3.1. Cooling Process Characteristics
3.2. XRD
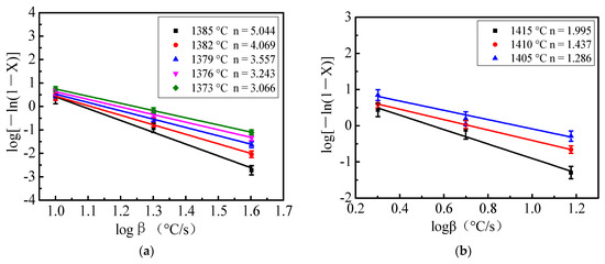
3.3. Crystallization Kinetics
3.4. Viscosity
4. Conclusions
- The slag was completely solidified into a glass state when the cooling rate of slag with acidity coefficients of 1.05 and 1.20 were 50 °C/s and 20 °C/s respectively.
 - The crystallization phases of the slag with acidity coefficients of 1.05 and 1.20 were Melilite and Anorthite, respectively. In addition, the critical precipitation rates of Melilite and Anorthite gradually decreased with increase of the acidity coefficient.
 - With the increase of acidity coefficient, the crystal growth mode of slag changed from two-dimensional and three-dimensional mixed crystallization to surface nucleation and one-dimensional crystallization. The activation energies of crystallization of slag with acidity coefficients of 1.05 and 1.20 were 698.14 kJ/mol and 1292.50 kJ/mol, respectively. The strength of crystallization ability could be reflected by the crystallization activation energy. The higher the activation energy, the greater the force required to overcome molecules during crystallization. Therefore, it was more difficult for the slag with acidity coefficient of 1.20 to crystallize.
 - The reasons for the differences in the viscosity change trends of slag with acidity coefficients of 1.05 and 1.20 lay in the crystal size and crystal content. In addition, the modified blast furnace slag with acidity coefficient of 1.20 was more difficult to crystallize and more suitable for fiber forming, than that with acidity coefficient of 1.05, and its fiber formation temperature range was wider at 1288–1397 °C. The wider temperature range could reduce the difficulties in technological operation in the production process of slag cotton and improve the output and stability of the fiber.
 
Author Contributions
Funding
Institutional Review Board Statement
Informed Consent Statement
Data Availability Statement
Conflicts of Interest
References
- Fabrice, P.; Olivier, M. Hydrogen Ironmaking: How It Works. Metals 2020, 10, 922–936. [Google Scholar]
 - Bhaskar, A.; Assadi, M.; Nikpey Somehsaraei, H. Decarbonization of the Iron and Steel Industry with Direct Reduction of Iron Ore with Green Hydrogen. Energies 2020, 13, 758. [Google Scholar] [CrossRef] [Green Version]
 - Feng, Y.H.; Zhang, Z.; Gao, J.; Feng, G.P.; Qiu, L.; Feng, D.L.; Zhang, X.X.; Zhu, X. Research status of centrifugal granulation, physical heat recovery and resource utilization of blast furnace slags. J. Anal. Appl. Pyrolysis 2021, 157, 105220–105242. [Google Scholar] [CrossRef]
 - Zhang, Q.; Li, Y.; Xu, J.; Jia, G. Carbon element flow analysis and CO2 emission reduction in iron and steel works. J. Clean. Prod. 2018, 172, 709–723. [Google Scholar] [CrossRef]
 - Tian, T.L.; Cai, S.; Zhang, Y.Z.; Xing, H.W. Crystallization behavior of blast-furnace slag by single hot thermocouple technique. J. Iron Steel Res. Int. 2020, 27, 259–265. [Google Scholar] [CrossRef]
 - Zhu, X.; Zhang, H.; Tan, Y.; Wang, H.; Liao, Q. Analogue experimental study on centrifugal-air blast granulation for molten slag. Appl. Therm. Eng. 2015, 88, 157–164. [Google Scholar] [CrossRef]
 - Cai, S.; Tian, T.L.; Guo, Z.H.; Zhang, Y.Z. Effect of acidity coefficient on crystallization behavior of modified blast furnace slag. Ironmak. Steelmak. 2021. [Google Scholar] [CrossRef]
 - Väntsi, O.; Kärki, T. Mineral wool waste in Europe: A review of mineral wool waste quantity, quality, and current recycling methods. J. Mater. Cycles Waste Manag. 2014, 16, 62–72. [Google Scholar] [CrossRef]
 - Ivanič, A.; Kravanja, G.; Kidess, W.; Rudolf, R.; Lubej, S. The Influences of Moisture on the Mechanical, Morphological and Thermogravimetric Properties of Mineral Wool Made from Basalt Glass Fibers. Materials 2020, 13, 2392. [Google Scholar] [CrossRef]
 - Tian, T.L.; Zhang, Y.Z.; Xing, H.W.; Li, J.; Zhang, Z.Q. The Effect of Acidity Coefficient on Crystallization Behavior of Blast Furnace Slag Fibers. High Temp. Mater. Processes 2018, 37, 33–37. [Google Scholar] [CrossRef]
 - Zhang, Z.Q.; Zhang, Y.Z.; Yang, A.M.; Xing, H.W.; Tian, T.L.; Li, Z.H. Preparation and Properties of Slag Wool Board using Modified Polyvinyl Alcohol as Binder. Mater. Manuf. Processes 2016, 31, 168–172. [Google Scholar] [CrossRef]
 - Sun, S.B.; Tian, Y.L.; Han, J.X. Review on Recent Development of Rock/Slag Wools and Their Carbon Reduction Approaches During Manufacturing in China. J. Beijing Univ. Technol. 2022, 48, 306–311. [Google Scholar]
 - Zhan, W.; Liu, Y.; Shao, T.; Han, X.; Pang, Q.; Zhang, J.; He, Z. Evaluating the Effect of MgO/Al2O3 Ratio on Thermal Behaviors and Structures of Blast Furnace Slag with Low Carbon Consumption. Crystals 2021, 11, 1386. [Google Scholar] [CrossRef]
 - Zhang, J.; Jiao, K.; Zhang, J.; Ma, H.; Zong, Y.; Guo, Z.; Wang, Z. Thermal Stability of Molten Slag in Blast Furnace Hearth. ISIJ Int. 2021, 61, 2227–2236. [Google Scholar] [CrossRef]
 - Wang, W.; Dai, S.; Zhang, T.; Zhang, H.; Li, Z.; Xie, Y. The effect of CaO on the crystallization properties and viscosity of synthetic silicomanganese waste slag for mineral wool production. J. Clean. Prod. 2021, 288, 125603–125610. [Google Scholar] [CrossRef]
 - Gan, L.; Zhang, C.; Zhou, J.; Shangguan, F. Continuous cooling crystallization kinetics of a molten blast furnace slag. J. Non-Cryst. Solids 2012, 358, 20–24. [Google Scholar] [CrossRef]
 - Xuan, W.; Wang, Q.; Zhang, J.; Xia, D. Influence of silica and alumina (SiO2+Al2O3) on crystallization characteristics of synthetic coal slags. Fuel 2017, 189, 39–45. [Google Scholar] [CrossRef]
 - Xuan, W.W.; Zhang, J.S.; Xia, D.H. Crystallization characteristics prediction of coal slags based on SiO2-Al2O3-CaO-Fe2O3-MgO components. J. Ind. Eng. Chem. 2018, 59, 341–349. [Google Scholar] [CrossRef]
 - Esfahani, S.; Barati, M. Effect of slag composition on the crystallization of synthetic CaO-SiO2-Al2O3-MgO slags: Part I-Crystallization behavior. J. Non-Cryst. Solids 2016, 436, 35–43. [Google Scholar] [CrossRef]
 - Esfahani, S.; Mostaghel, S.; Barati, M. Effect of slag composition on the crystallization of synthetic CaO-SiO2-Al2O3-MgO slags: Part II-Measurement and prediction of critical cooling rate. J. Non-Cryst. Solids 2016, 436, 29–34. [Google Scholar] [CrossRef]
 - Wang, Z.; Sohn, I. Effect of the Al2O3/SiO2 mass ratio on the crystallization behavior of CaO-SiO2-MgO-Al2O3 slags using confocal laser scanning microscopy. Ceram. Int. 2018, 44, 19268–19277. [Google Scholar] [CrossRef]
 - Zhang, T.; Zhang, H.; Dai, S.; Huang, D.; Wang, W. Variation of viscosity and crystallization properties of synthetic ferronickel waste slag with Al2O3 content. Ceram. Int. 2021, 47, 22918–22923. [Google Scholar] [CrossRef]
 - Kong, L.X.; Bai, J.; Li, W. The internal and external factor on coal ash slag viscosity at high temperatures, Part 1: Effect of cooling rate on slag viscosity, measured continuously. Fuel 2015, 158, 968–975. [Google Scholar] [CrossRef]
 - Kong, L.X.; Bai, J.; Li, W. The internal and external factor on coal ash slag viscosity at high temperatures, Part 3: Effect of CaO on the pattern of viscosity-temperature curves of slag. Fuel 2016, 179, 10–16. [Google Scholar] [CrossRef]
 - Ozawa, T. kinetics of non-isothermal crystallization. Polymer 1971, 12, 150. [Google Scholar] [CrossRef]
 - Kissinger, H.E. Reaction Kinetics in Differential Thermal Analysis. Anal. Chem. 1957, 29, 1702–1706. [Google Scholar] [CrossRef]
 






| Sample | SiO2 | CaO | MgO | Al2O3 | K2O | Na2O | Fe2O3 | FeO | 
|---|---|---|---|---|---|---|---|---|
| BF slag | 33.16 | 37.12 | 7.96 | 14.18 | 0.72 | 0.45 | 1.21 | 0.59 | 
| Iron tailings | 68.22 | 8.55 | 2.20 | 2.70 | 3.86 | 2.28 | 3.49 | 4.57 | 
| Sample | SiO2 | CaO | MgO | Al2O3 | K2O | Na2O | Fe2O3 | FeO | 
|---|---|---|---|---|---|---|---|---|
| Mk = 1.05 | 33.16 | 37.12 | 7.96 | 14.18 | 0.72 | 0.45 | 1.21 | 0.59 | 
| Mk = 1.20 | 36.82 | 34.14 | 7.36 | 12.98 | 1.05 | 0.64 | 1.45 | 1.01 | 
Publisher’s Note: MDPI stays neutral with regard to jurisdictional claims in published maps and institutional affiliations.  | 
© 2022 by the authors. Licensee MDPI, Basel, Switzerland. This article is an open access article distributed under the terms and conditions of the Creative Commons Attribution (CC BY) license (https://creativecommons.org/licenses/by/4.0/).
Share and Cite
Tian, T.; Jin, X.; Zhang, Y.; Long, Y.; Kou, X.; Yang, J. The Effect of Acidity Coefficient on the Crystallization Properties and Viscosity of Modified Blast Furnace Slag for Mineral Wool Production. Materials 2022, 15, 4606. https://doi.org/10.3390/ma15134606
Tian T, Jin X, Zhang Y, Long Y, Kou X, Yang J. The Effect of Acidity Coefficient on the Crystallization Properties and Viscosity of Modified Blast Furnace Slag for Mineral Wool Production. Materials. 2022; 15(13):4606. https://doi.org/10.3390/ma15134606
Chicago/Turabian StyleTian, Tielei, Xinyu Jin, Yuzhu Zhang, Yue Long, Xinlin Kou, and Jiayi Yang. 2022. "The Effect of Acidity Coefficient on the Crystallization Properties and Viscosity of Modified Blast Furnace Slag for Mineral Wool Production" Materials 15, no. 13: 4606. https://doi.org/10.3390/ma15134606
APA StyleTian, T., Jin, X., Zhang, Y., Long, Y., Kou, X., & Yang, J. (2022). The Effect of Acidity Coefficient on the Crystallization Properties and Viscosity of Modified Blast Furnace Slag for Mineral Wool Production. Materials, 15(13), 4606. https://doi.org/10.3390/ma15134606
        
                                                