Cracking Resistance of Recycled Rubber Asphalt Binder Composed of Warm-Mix Additives
Abstract
:1. Introduction
1.1. Background
1.2. Research Objective
2. Materials and Experimental Methods
2.1. Materials and Sample Preparation
2.2. Preparation of the Composited Modified Asphalts
2.3. Test Method
3. Theoretical Basis
3.1. Superpave Protocol
3.2. Thermal Stress and Critical Cracking Temperature
3.2.1. Thermal Stress
- (a)
- The creep compliance was obtained from the BBR test results of , as given by Equation (1).
- (b)
- Then, was converted to the corresponding relaxation modulus by solving the convolution integral, as shown in Equation (3), after applying the Hopkins and Hamming algorithm, as given by Equation (4).
- (c)
- The master curve was drawn using the BBR experimental data obtained at four different temperatures and the Christensen–Anderson–Marasteanu (CAM) model, as shown in Equation (5).
- (d)
- Then, was calculated by solving the one-dimensional hereditary integral, as given by Equation (7).
3.2.2. Critical Cracking Temperature
3.2.3. Simple Fractional Viscoelastic Model
4. Results and Discussion
4.1. Thermal Stress and Critical Cracking Temperature
4.1.1. Relaxation Modulus E(t)
4.1.2. Master Curves for and
4.1.3. Thermal Stress
4.2. Simple Fractional Viscoelastic Model Analysis
4.2.1. Determination of -Value for the Simple Fractional Model
4.2.2. Creep Compliance and Derivation of Creep Compliance
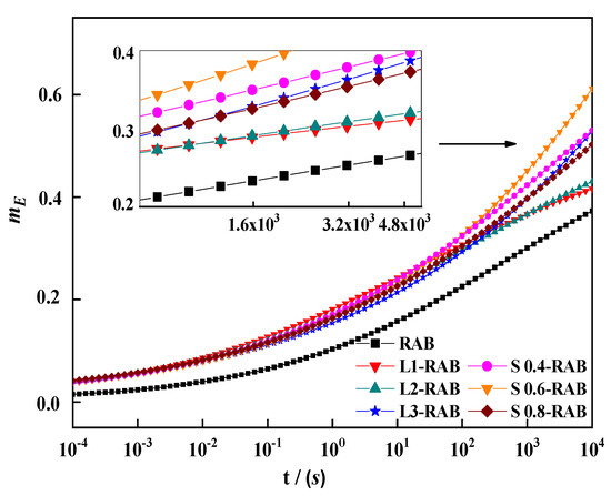
4.2.3. Damping Ratio of Asphalt Binders
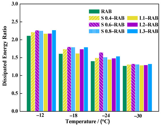
4.2.4. Dissipation Energy Ratio of Asphalt Binders
5. Conclusions
- Based on the BBR test results and the master curves of the relaxation modulus and , it was estimated that the surfactant (SK) and viscosity reducer (LP) exhibited a positive effect on the low-temperature cracking resistance of RAB and S-RAB, which was better than that of L-RAB.
- Results of , and the fractional model further proved that the content of WMA additives showed the decisive influence on the low-temperature properties of RAB. Two WMA additives led to a decrease in the critical cracking temperature and the thermal stress of RAB, which decreased linearly with the increase in JN content, but the intermediate dosage of SK was the largest. The simple fractional model could suitably predict the creep compliance of W-RABs over a wide temperature range with only two parameters by fitting the BBR test results. The WMA additives improved the damping ratio, DER, and of RAB, and the maximum improvement was observed for SK at dosage of 0.6%.
- The compound of RAB and SK (0.6 wt.%) modifier was recommended, which was found to be more suitable for use in asphalt pavements in extremely cold areas (such as northwest China). On the other hand, only a high dosage of LP (3 wt.%) could compensate for the weakness of L-RABs at low temperatures.
Author Contributions
Funding
Institutional Review Board Statement
Informed Consent Statement
Data Availability Statement
Conflicts of Interest
References
- Ashish, P.K.; Singh, D.; Jain, R. Evaluating the Effect of Carbon Nanotube on Low Temperature Property of Asphalt Binder through Dissipated Energy–Based Approach. J. Mater. Civ. Eng. 2020, 32, 04019376. [Google Scholar] [CrossRef]
- Cannone Falchetto, A.; Ki Hoon, M. Comparisons of Analytical and Approximate Interconversion Methods for Thermal Stress Computation. Can. J. Civ. Eng. 2015, 42, 705–719. [Google Scholar] [CrossRef]
- ASTM. Standard Test Method for Ductility of Bituminous Materials, ASTM D113; ASTM International: West Conshohocken, PA, USA, 2007. [Google Scholar]
- Cong, P.; Xun, P.; Xing, M. Investigation of Asphalt Binder Containing Various Crumb Rubbers and Asphalts. Constr. Build. Maters. 2013, 40, 632–641. [Google Scholar] [CrossRef]
- Pouranian, M.R.; Notani, M.A.; Tabesh, M.T.; Nazeri, B.; Shishehbor, M. Rheological and Environmental Characteristics of Crumb Rubber Asphalt Binders Containing Non-Foaming Warm Mix Asphalt Additives. Constr. Build. Maters. 2020, 238, 117707. [Google Scholar] [CrossRef]
- Yang, X.; You, Z.; Perram, D.; Hand, D.; Ahmed, Z.; Wei, W.; Luo, S. Emission Analysis of Recycled Tire Rubber Modified Asphalt in Hot and Warm Mix Conditions. J. Hazard. Mater. 2019, 365, 942–951. [Google Scholar] [CrossRef] [PubMed]
- Akisetty, C.; Xiao, F.; Gandhi, T.; Amirkhanian, S. Estimating Correlations Between Rheological and Engineering Properties of Rubberized Asphalt Concrete Mixtures Containing Warm Mix Asphalt Additive. Constr. Build. Maters. 2011, 25, 950–956. [Google Scholar] [CrossRef]
- Capitão, S.D.; Picado-Santos, L.G.; Martinho, F. Pavement Engineering Materials: Rev-iew on the Use of Warm-mix Asphalt. Constr. Build. Maters. 2012, 36, 1016–1024. [Google Scholar] [CrossRef]
- Pouranian, M.R.; Shishehbor, M. Sustainability Assessment of Green Asphalt Mixtures: A Review. Environments 2019, 6, 73. [Google Scholar] [CrossRef] [Green Version]
- Xiao, F.; Punith, V.S.; Amirkhanian, S.N. Effects of Non-Foaming WMA Additives on Asphalt Binders at High Performance Temperatures. Fuel 2012, 94, 144–155. [Google Scholar] [CrossRef]
- Xiao, F.; Punith, V.S.; Amirkhanian, S.N.; Putman, B.J. Rheological and Chemical Characteristics of Warm Mix Asphalt Binders at Intermediate and Low Performance Temperatures. Can. J. Civ. Eng. 2013, 40, 861–868. [Google Scholar] [CrossRef]
- Ma, T.; Wang, H.; Zhao, Y.; Huang, X.; Wang, S. Laboratory Investigation of Crumb Rubber Modified Asphalt Binder and Mixtures with Warm-Mix Additives. Int. J. Civ. Eng. 2017, 15, 185–194. [Google Scholar] [CrossRef]
- Luo, H.; Leng, H.; Ding, H.; Xu, J.; Lin, H.; Ai, C.; Qui, Y. Low-Temperature Cracking Resistance, Fatigue Performance and Emission Reduction of a Novel Silica Gel Warm Mix Asphalt Binder. Constr. Build. Maters. 2020, 231, 117118. [Google Scholar] [CrossRef]
- ASTM. Standard Test Method for Determining the Flexural Creep Stiffness of Asphalt Binder Using the Bending Beam Rheometer (BBR) ASTM D6648; ASTM International: West Conshohocken, PA, USA, 2016. [Google Scholar]
- Wang, T.; Xiao, F.; Amirkhanian, S.; Huang, W.; Zheng, M. A Review on Low Temperature Performances of Rubberized Asphalt Materials. Constr. Build. Maters. 2017, 145, 483–505. [Google Scholar] [CrossRef]
- Cannone Falchetto, A.; Moon, K.H. Comparison of Thermal Stress Calculation: Hopkins and Hamming’s Algorithm and Laplace Transformation Approach. J. Mater. Civ. Eng. 2016, 28, 04016076. [Google Scholar] [CrossRef]
- Shenoy, A. Single-Event Cracking Temperature of Asphalt Pavements Directly from Bending Beam Rheometer Data. Transp. Eng. J. 2002, 128, 465–471. [Google Scholar] [CrossRef]
- Xu, J.; Yang, E.; Luo, H.; Ding, H. Effects of Warm Mix Additives on the Thermal Stress and Ductile Resistance of Asphalt Binders. Constr. Build. Mater. 2019, 238, 117746. [Google Scholar] [CrossRef]
- Fini, E.H.; Khodaii, A.; Hajikarimi, P. Fractional Viscoelastic Study of Low-Temperature Characteristics of Biomodified Asphalt Binders. J. Mater. Civ. Eng. 2016, 28, 04016078. [Google Scholar] [CrossRef]
- Xu, Y.; Zhang, E.; Shan, L. Effect of SARA on Rheological Properties of Asphalt Binders. J. Mater. Civ. Eng. 2019, 31, 04019086.1–04019086.7. [Google Scholar] [CrossRef]
- Zhou, J.; Chen, X.; Xu, G.; Fu, Q. Evaluation of Low Temperature Performance for SBS/CR Compound Modified Asphalt Binders Based on Fractional Viscoelastic Model. Constr. Build. Mater. 2019, 214, 326–336. [Google Scholar] [CrossRef]
- Hajikarimi, P.; Aflaki, S.; Hoseini, A.S. Implementing Fractional Viscoelastic Model to Evaluate Low Temperature Characteristics of Crumb Rubber and Gilsonite Modified Asphalt Binders. Constr. Build. Mater. 2013, 49, 682–687. [Google Scholar] [CrossRef]
- Hajikarimi, P.; Fakhari Tehrani, F.; Moghadas Nejad, F.; Absi, J. Generalized Fractional Viscoelastic Modeling of Low Temperature Characteristics of Asphalt Binders Modified with Polyphosphoric Acid and Distillate Aromatic Extracts Oil. J. Mater. Civ. Eng. 2018, 30, 04018147. [Google Scholar] [CrossRef]
- Kristjánsdóttir, Ó.; Muench, S.T.; Michael, L.; Burke, G. Assessing Potential for Warm-Mix Asphalt Technology Adoption. Transp. Res. Rec. 2008, 2040, 91–99. [Google Scholar] [CrossRef]
- Oliveira, J.R.M.; Silva, H.M.R.D.; Abreu, L.P.F.; Fernandes, S.R.M. Use of a Warm Mix Asphalt Additive to Reduce the Production Temperatures and to Improve the Performance of Asphalt Rubber Mixtures. J. Clean. Prod. 2013, 41, 15–22. [Google Scholar] [CrossRef]
- Rubio, M.C.; Martínez, G.; Baena, L.; Moreno, F. Warm Mix Asphalt: An Overview. J. Clean. Prod. 2012, 24, 76–84. [Google Scholar] [CrossRef]
- Wu, S.; Wen, H.; Zhang, W.; Shen, S.; Mohammad, L.N.; Faheem, A.; Muhunthan, B. Field Performance of Top-Down Fatigue Cracking for Warm Mix Asphalt Pavements. Int. J. Pavement Eng. 2016, 20, 33–43. [Google Scholar] [CrossRef]
- ASTM. Standard Practice for Accelerated Aging of Asphalt Binder Using a Pressurized Aging Vessel (PAV), ASTM D6521; ASTM International: West Conshohocken, PA, USA, 2013. [Google Scholar]
- AASHTO. Mechanistic-Empirical Pavement Design Guide, Interim Edition: A Manual of Practice; AASHTO: Washington, DC, USA, 2008. [Google Scholar]
- Koeller, R.C. Applications of Fractional Calculus to the Theory of Viscoelasticity. J. Appl. Mech. 1984, 51, 299–307. [Google Scholar] [CrossRef]
- Aflaki, S.; Hajikarimi, P. Implementing Viscoelastic Rheological Methods to Evaluate Low Temperature Performance of Modified Asphalt Binders. Constr. Build. Maters. 2012, 36, 110–118. [Google Scholar] [CrossRef]
- Treviso, A.; Van Genechten, B.; Mundo, D.; Tournour, M. Damping in Composite Materials: Properties and Models. Compos. Part B Eng. 2015, 78, 144–152. [Google Scholar] [CrossRef]
- Du, J.; Ai, C.; An, S.; Qui, Y. Rheological Properties at Low Temperatures and Chemical Analysis of a Composite Asphalt Modified with Polyphosphoric Acid. J. Mater. Civ. Eng. 2020, 32, 04020075. [Google Scholar] [CrossRef]
















| Index | 60 Mesh | Technical Index |
|---|---|---|
| Density/(g cm−3) | 1.10 | 1.1–1.3 |
| Heating loss/% | 0.6 | ≤1 |
| Ash content/% | 6.0 | ≤8 |
| Iron content/% | 0.021 | ≤0.3 |
| Fiber content/% | 0.4 | <1 |
| Samples | Definition |
|---|---|
| RAB | Recycled crumb rubber-modified asphalt binder |
| W-RAB | Warm-mixed crumb rubber-modified asphalt binder |
| L-RAB | RAB with viscosity reducer additive (LP) |
| S-RAB | RAB with surfactant additive (SK) |
| L1-RAB | RAB with 1% LP |
| L2-RAB | RAB with 2% LP |
| L3-RAB | RAB with 3% LP |
| S0.4-RAB | RAB with 0.4% SK |
| S0.6-RAB | RAB with 0.6% SK |
| S0.8-RAB | RAB with 0.8% SK |
| RAB | S0.4-RAB | S0.6-RAB | S0.8-RAB | L1-RAB | L2-RAB | L3-RAB | |
|---|---|---|---|---|---|---|---|
| 0.2 | −27.4653 | −29.1739 | −29.3569 | −29.221 | −28.6015 | −29.1372 | −29.3123 |
| 1 | −27.2784 | −27.9725 | −28.1871 | −28.0457 | −27.7018 | −27.9540 | −28.1432 |
| 5 | −25.4904 | −26.4228 | −26.5978 | −25.4904 | −26.2628 | −26.3585 | −26.5086 |
| 20 | −23.4429 | −24.3760 | −24.7374 | −24.6937 | −24.1650 | −24.3600 | −24.7122 |
| Samples | −12 °C | −18 °C | −24 °C | −30 °C | ||||
|---|---|---|---|---|---|---|---|---|
| RAB | 2.56 × 10−3 | 0.4417 | 0.25 × 10−3 | 0.3038 | 9.23 × 10−4 | 0.225 | 6.18 × 10−4 | 0.1641 |
| L1-RAB | 3.18 × 10−3 | 0.4540 | 1.43 × 10−3 | 0.3072 | 9.23 × 10−4 | 0.2448 | 6.99 × 10−4 | 0.1717 |
| L2-RAB | 3.51 × 10−3 | 0.4545 | 1.46 × 10−3 | 0.3450 | 9.72 × 10−4 | 0.2573 | 7.29 × 10−4 | 0.1758 |
| L3-RAB | 3.57 × 10−3 | 0.4739 | 1.77 × 10−3 | 0.3613 | 1.09 × 10−3 | 0.2783 | 7.66 × 10−4 | 0.1902 |
| S0.4-CRAB | 3.51 × 10−3 | 0.4625 | 1.65 × 10−3 | 0.3450 | 1.01 × 10−3 | 0.2615 | 7.54 × 10−4 | 0.1828 |
| S0.6-CRAB | 3.60 × 10−3 | 0.4730 | 1.86 × 10−3 | 0.3636 | 1.10 × 10−3 | 0.3157 | 7.68 × 10−4 | 0.1919 |
| S0.8-CRAB | 3.54 × 10−3 | 0.4702 | 1.67 × 10−3 | 0.3613 | 1.06 × 10−3 | 0.2693 | 7.56 × 10−4 | 0.1847 |
Publisher’s Note: MDPI stays neutral with regard to jurisdictional claims in published maps and institutional affiliations. |
© 2022 by the authors. Licensee MDPI, Basel, Switzerland. This article is an open access article distributed under the terms and conditions of the Creative Commons Attribution (CC BY) license (https://creativecommons.org/licenses/by/4.0/).
Share and Cite
Gui, W.; Liang, L.; Wang, L.; Zhang, F. Cracking Resistance of Recycled Rubber Asphalt Binder Composed of Warm-Mix Additives. Materials 2022, 15, 4389. https://doi.org/10.3390/ma15134389
Gui W, Liang L, Wang L, Zhang F. Cracking Resistance of Recycled Rubber Asphalt Binder Composed of Warm-Mix Additives. Materials. 2022; 15(13):4389. https://doi.org/10.3390/ma15134389
Chicago/Turabian StyleGui, Wanmei, Li Liang, Lan Wang, and Fei Zhang. 2022. "Cracking Resistance of Recycled Rubber Asphalt Binder Composed of Warm-Mix Additives" Materials 15, no. 13: 4389. https://doi.org/10.3390/ma15134389
APA StyleGui, W., Liang, L., Wang, L., & Zhang, F. (2022). Cracking Resistance of Recycled Rubber Asphalt Binder Composed of Warm-Mix Additives. Materials, 15(13), 4389. https://doi.org/10.3390/ma15134389

