Design for Additive Manufacturing and Investigation of Surface-Based Lattice Structures for Buckling Properties Using Experimental and Finite Element Methods
Abstract
1. Introduction
2. Material and Methodology
2.1. Design of Unit Cell and Samples
2.2. Additive Manufacturing of Samples
2.3. Mechanical Testing
2.4. Simulation Framework
3. Results and Discussion
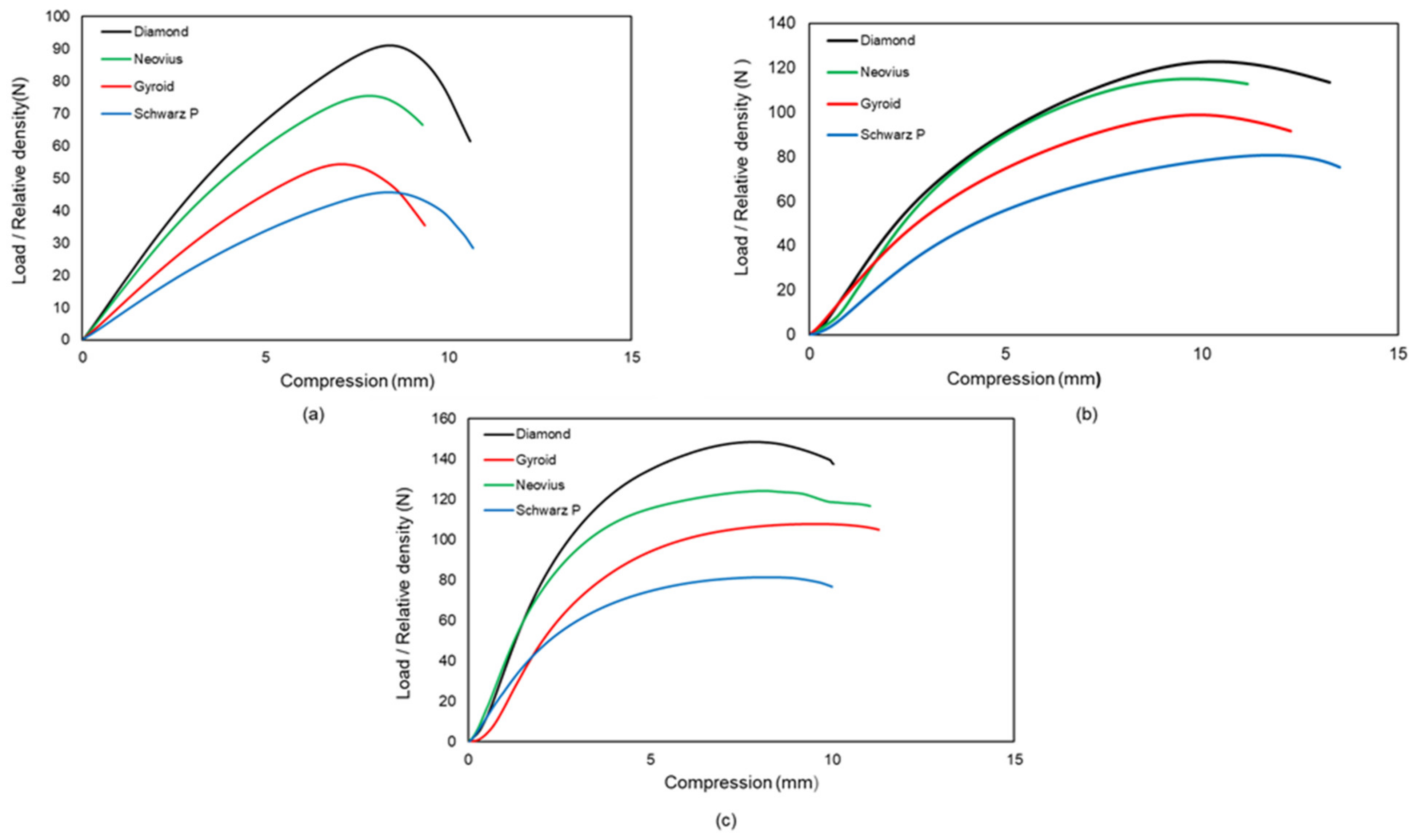
3.1. Buckling of 2 × 2 × 4 Samples
3.2. Buckling of 2 × 2 × 8 and 2 × 2 × 16 Samples
3.3. Comparison of Critical Buckling Load
3.3.1. Effect of Lattice Morphologies
3.3.2. Effect of Column Height
3.4. Validation Using Simulation Results
4. Conclusions
Author Contributions
Funding
Institutional Review Board Statement
Informed Consent Statement
Data Availability Statement
Conflicts of Interest
References
- Weeger, O.; Boddeti, N.; Yeung, S.K.; Kaijima, S.; Dunn, M.L. Digital Design and Nonlinear Simulation for Additive Manufacturing of Soft Lattice Structures. Addit. Manuf. 2019, 25, 39–49. [Google Scholar] [CrossRef]
- Nazir, A.; Jeng, J.Y. A High-Speed Additive Manufacturing Approach for Achieving High Printing Speed and Accuracy. Proc. Inst. Mech. Eng. Part C: J. Mech. Eng. Sci. 2019, 234, 2741–2749. [Google Scholar] [CrossRef]
- Gao, W.; Zhang, Y.; Ramanujan, D.; Ramani, K.; Chen, Y.; Williams, C.B.; Wang, C.C.L.; Shin, Y.C.; Zhang, S.; Zavattieri, P.D. The Status, Challenges, and Future of Additive Manufacturing in Engineering. Comput. Des. 2015, 69, 65–89. [Google Scholar] [CrossRef]
- Nazir, A.; Abate, K.M.; Kumar, A.; Jeng, J.Y. A State-of-the-Art Review on Types, Design, Optimization, and Additive Manufacturing of Cellular Structures. Int. J. Adv. Manuf. Technol. 2019, 104, 3489–3510. [Google Scholar] [CrossRef]
- Nazir, A.; Arshad, A.B.; Jeng, J.Y. Buckling and Post-Buckling Behavior of Uniform and Variable-Density Lattice Columns Fabricated Using Additive Manufacturing. Materials 2019, 12, 3539. [Google Scholar] [CrossRef] [PubMed]
- Nazir, A.; Jeng, J.Y. Buckling Behavior of Additively Manufactured Cellular Columns: Experimental and Simulation Validation. Mater. Des. 2020, 186, 108349. [Google Scholar] [CrossRef]
- Maskery, I.; Sturm, L.; Aremu, A.O.; Panesar, A.; Williams, C.B.; Tuck, C.J.; Wildman, R.D.; Ashcroft, I.A.; Hague, R.J.M. Insights into the Mechanical Properties of Several Triply Periodic Minimal Surface Lattice Structures Made by Polymer Additive Manufacturing. Polymer 2018, 152, 62–71. [Google Scholar] [CrossRef]
- Du, Y.; Gu, D.; Xi, L.; Dai, D.; Gao, T.; Zhu, J.; Ma, C. Laser Additive Manufacturing of Bio-Inspired Lattice Structure: Forming Quality, Microstructure and Energy Absorption Behavior. Mater. Sci. Eng. A 2020, 773, 138857. [Google Scholar] [CrossRef]
- Han, Y.; Lu, W.F. A Novel Design Method for Nonuniform Lattice Structures Based on Topology Optimization. J. Mech. Des. Trans. ASME 2018, 140, 091403. [Google Scholar] [CrossRef]
- Wang, R.; Shang, J.; Li, X.; Wang, Z.; Luo, Z. Novel Topological Design of 3D Kagome Structure for Additive Manufacturing. Rapid Prototyp. J. 2018, 24, 261–269. [Google Scholar] [CrossRef]
- Wang, X.; Zhu, L.; Sun, L.; Li, N. Optimization of Graded Filleted Lattice Structures Subject to Yield and Buckling Constraints. Mater. Des. 2021, 206, 109746. [Google Scholar] [CrossRef]
- Cao, X.; Duan, S.; Liang, J.; Wen, W.; Fang, D. Mechanical Properties of an Improved 3D-Printed Rhombic Dodecahedron Stainless Steel Lattice Structure of Variable Cross Section. Int. J. Mech. Sci. 2018, 145, 53–63. [Google Scholar] [CrossRef]
- Park, S.I.; Rosen, D.W. Homogenization of Mechanical Properties for Material Extrusion Periodic Lattice Structures Considering Joint Stiffening Effects. J. Mech. Des. Trans. ASME 2018, 140, 111414. [Google Scholar] [CrossRef]
- Souza, J.; Großmann, A.; Mittelstedt, C. Micromechanical Analysis of the Effective Properties of Lattice Structures in Additive Manufacturing. Addit. Manuf. 2018, 23, 53–69. [Google Scholar] [CrossRef]
- Zhao, M.; Liu, F.; Fu, G.; Zhang, D.Z.; Zhang, T.; Zhou, H. Improved Mechanical Properties and Energy Absorption of BCC Lattice Structures with Triply Periodic Minimal Surfaces Fabricated by SLM. Materials 2018, 11, 2411. [Google Scholar] [CrossRef]
- Alabort, E.; Barba, D.; Reed, R.C. Design of Metallic Bone by Additive Manufacturing. Scr. Mater. 2019, 164, 110–114. [Google Scholar] [CrossRef]
- Maskery, I.; Aboulkhair, N.T.; Aremu, A.O.; Tuck, C.J.; Ashcroft, I.A. Compressive Failure Modes and Energy Absorption in Additively Manufactured Double Gyroid Lattices. Addit. Manuf. 2017, 16, 24–29. [Google Scholar] [CrossRef]
- Maskery, I.; Aremu, A.O.; Parry, L.; Wildman, R.D.; Tuck, C.J.; Ashcroft, I.A. Effective Design and Simulation of Surface-Based Lattice Structures Featuring Volume Fraction and Cell Type Grading. Mater. Des. 2018, 155, 220–232. [Google Scholar] [CrossRef]
- Elastic Buckling of a Porous Beam|Magnucki|Journal of Theoretical and Applied Mechanics. Available online: http://www.ptmts.org.pl/jtam/index.php/jtam/article/view/v42n4p859 (accessed on 18 December 2021).
- Magnucka-Blandzi, E. Axi-Symmetrical Deflection and Buckling of Circular Porous-Cellular Plate. Thin-Walled Struct. 2008, 46, 333–337. [Google Scholar] [CrossRef]
- Overvelde, J.T.B.; Shan, S.; Bertoldi, K. Compaction Through Buckling in 2D Periodic, Soft and Porous Structures: Effect of Pore Shape. Adv. Mater. 2012, 24, 2337–2342. [Google Scholar] [CrossRef]
- Saghaian, S.S.E.; Moghaddam, N.S.; Nematollahi, M.; Saedi, S.; Elahinia, M.; Karaca, H.E. Mechanical and Shape Memory Properties of Triply Periodic Minimal Surface (TPMS) NiTi Structures Fabricated by Selective Laser Melting. Biol. Eng. Med. 2018, 3, 1–7. [Google Scholar] [CrossRef]
- Njim, E.K.; Bakhy, S.H.; Al-Waily, M. Analytical and Numerical Investigation of Buckling Behavior of Functionally Graded Sandwich Plate with Porous Core. J. Appl. Sci. Eng. 2021, 25, 339–347. [Google Scholar] [CrossRef]
- Kadkhodapour, J.; Montazerian, H.; Darabi, A.C.; Zargarian, A.; Schmauder, S. The Relationships between Deformation Mechanisms and Mechanical Properties of Additively Manufactured Porous Biomaterials. J. Mech. Behav. Biomed. Mater. 2017, 70, 28–42. [Google Scholar] [CrossRef]
- Hu, J.; Zhou, Y.; Liu, Z. The Friction Effect on Buckling Behavior of Cellular Structures Under Axial Load. Int. J. Appl. Mech. 2018, 10, 138. [Google Scholar] [CrossRef]
- Coulais, C.; Overvelde, J.T.B.; Lubbers, L.A.; Bertoldi, K.; Van Hecke, M. Discontinuous Buckling of Wide Beams and Metabeams. Phys. Rev. Lett. 2015, 115, 044301. [Google Scholar] [CrossRef] [PubMed]
- Hunt, G.W.; Peletier, M.A.; Champneys, A.R.; Woods, P.D.; Wadee, M.A.; Budd, C.J.; Lord, G.J. Cellular Buckling in Long Structures. Nonlinear Dyn. 2000, 21, 3–29. [Google Scholar] [CrossRef]
- Gu, J.Z.; Cheng, S. Shear Effect on Buckling of Cellular Columns Subjected to Axially Compressed Load. Thin-Walled Struct. 2016, 98, 416–420. [Google Scholar] [CrossRef]
- Johnson, C.G.; Jain, U.; Hazel, A.L.; Pihler-puzovic, D.; Mullin, T. On the Buckling of an Elastic Holey Column. Proc. R. Soc. A Math. Phys. Eng. Sci. 2017, 473, 20170477. [Google Scholar] [CrossRef] [PubMed]
- Next-Generation Engineering Design Software|NTopology. Available online: https://ntopology.com/ (accessed on 27 February 2022).
- HP Multi Jet Fusion 3D Printing Technology—Powder 3D Printer|HP® Official Site. Available online: https://www.hp.com/us-en/printers/3d-printers/products/multi-jet-technology.html (accessed on 19 December 2021).
- Ansys Workbench; Ansys Inc.: Canonsburg, PA, USA, 2019; Available online: https://www.ansys.com/ (accessed on 27 February 2022).
- Static Materials Test Systems. Available online: https://www.mts.com/en/products/materials/static-materials-test-systems (accessed on 19 December 2021).
- TestWorks 4.0 Software; MTS Systems Corporation: Eden Prairie, MN, USA, 2004.
- HP Multi Jet Fusion—Additive Blog. Available online: https://www.additive.blog/knowledge-base/3d-printers/hp-multi-jet-fusion/ (accessed on 19 December 2021).
- Yau, H.T.; Hsu, C.Y.; Peng, H.L.; Pai, C.C. Computer-Aided Framework Design for Digital Dentistry. Comput. Aided. Des. Appl. 2008, 5, 667–675. [Google Scholar] [CrossRef][Green Version]
- Akin, J.E. Finite Element Analysis Concepts: Via Solidworks; World Scientific: Singapore, 2010; pp. 1–335. [Google Scholar] [CrossRef]
- Karamooz Ravari, M.R.; Kadkhodaei, M.; Badrossamay, M.; Rezaei, R. Numerical Investigation on Mechanical Properties of Cellular Lattice Structures Fabricated by Fused Deposition Modeling. Int. J. Mech. Sci. 2014, 88, 154–161. [Google Scholar] [CrossRef]
- Maconachie, T.; Leary, M.; Lozanovski, B.; Zhang, X.; Qian, M.; Faruque, O.; Brandt, M. SLM Lattice Structures: Properties, Performance, Applications and Challenges. Mater. Des. 2019, 183, 108137. [Google Scholar] [CrossRef]
- Spadoni, A.; Ruzzene, M.; Scarpa, F. Global and Local Linear Buckling Behavior of a Chiral Cellular Structure. Phys. Status Solidi. 2005, 242, 695–709. [Google Scholar] [CrossRef]
- Keller, J.B. The Shape of the Strongest Column. Arch. Ration. Mech. Anal. 1960, 5, 275–285. [Google Scholar] [CrossRef]
- Bazant, Z.P.; Cedolin, L.; Chen, W.F.; Lui, E.M. Stability of Structures: Elastic, Inelastic, Fracture and Damage Theories. J. Struct. Eng. 1993, 119, 1001–1002. [Google Scholar] [CrossRef]
- Li, Y.W.; Elishakoff, I.; Starnes, J.H.; Bushnell, D. Effect of the Thickness Variation and Initial Imperfection on Buckling of Composite Cylindrical Shells: Asymptotic Analysis and Numerical Results by BOSOR4 and PANDA2. Int. J. Solids Struct. 1997, 34, 3755–3767. [Google Scholar] [CrossRef]
- Sui, Q.; Fan, H.; Lai, C. Failure Analysis of 1D Lattice Truss Composite Structure in Uniaxial Compression. Compos. Sci. Technol. 2015, 118, 207–216. [Google Scholar] [CrossRef]
- Buckling Design of Imperfect Spherical Shells. Available online: https://www.researchgate.net/publication/267268728_BUCKLING_DESIGN_OF_IMPERFECT_SPHERICAL_SHELLS (accessed on 19 December 2021).
- Schenk, C.A.; Schuëller, G.I. Buckling Analysis of Cylindrical Shells with Cutouts Including Random Boundary and Geometric Imperfections. Comput. Methods Appl. Mech. Eng. 2007, 196, 3424–3434. [Google Scholar] [CrossRef]
- Rosso, S.; Meneghello, R.; Biasetto, L.; Grigolato, L.; Concheri, G.; Savio, G. In-Depth Comparison of Polyamide 12 Parts Manufactured by Multi Jet Fusion and Selective Laser Sintering. Addit. Manuf. 2020, 36, 101713. [Google Scholar] [CrossRef]
- Lee, K.P.M.; Pandelidi, C.; Kajtaz, M. Build Orientation Effects on Mechanical Properties and Porosity of Polyamide-11 Fabricated via Multi Jet Fusion. Addit. Manuf. 2020, 36, 101533. [Google Scholar] [CrossRef]















| Geometry | Sample | Unit Cell Size (mm) | Thickness (mm) | Sample Height (mm) | Sample Width (mm) | Sample Breadth (mm) | Relative Density of Designed Parts (%) | Relative Density of Fabricated Parts (%) |
|---|---|---|---|---|---|---|---|---|
| 2 × 2 × 4 | 48 | 36 | ||||||
| Diamond | 2 × 2 × 8 | 96 | 35 | 33 | ||||
| 2 × 2 × 16 | 1.8 | 192 | 39 | |||||
| 2 × 2 × 4 | 48 | 30 | ||||||
| Gyroid | 2 × 2 × 8 | 12 | 96 | 24 | 24 | 29 | 31 | |
| 2 × 2 × 16 | 192 | 30 | ||||||
| 2 × 2 × 4 | 48 | 39 | ||||||
| Neovius | 2 × 2 × 8 | 96 | 38 | 41 | ||||
| 2 × 2 × 16 | 1 | 192 | 40 | |||||
| 2 × 2 × 4 | 48 | 27 | ||||||
| Schwarz-P | 2 × 2 × 8 | 96 | 28 | 29 | ||||
| 2 × 2 × 16 | 192 | 27 |
| Density (g/cm3) | Young’s Modulus (MPa) | Poisson’s Ratio |
|---|---|---|
| 1.01 | 1250 | 0.33 |
| Experiment No. | Geometry | Sample | FEA Result for Critical Buckling Load (N) | Experimental Result for Critical Buckling Load (N) | Error (%) |
|---|---|---|---|---|---|
| 1 | Diamond | 5708 | 5193 | 9.93 | |
| 2 | Neovius | 2 × 2 × 4 | 4196 | 4708 | 10.86 |
| 3 | Gyroid | 2390 | 3163 | 24.40 | |
| 4 | Schwarz P | 2174 | 2250 | 3.35 | |
| 5 | Diamond | 3470 | 4340 | 20.04 | |
| 6 | Neovius | 2 × 2 × 8 | 3877 | 4387 | 11.61 |
| 7 | Gyroid | 2715 | 2880 | 5.70 | |
| 8 | Schwarz P | 2555 | 2271 | 12.52 |
Publisher’s Note: MDPI stays neutral with regard to jurisdictional claims in published maps and institutional affiliations. |
© 2022 by the authors. Licensee MDPI, Basel, Switzerland. This article is an open access article distributed under the terms and conditions of the Creative Commons Attribution (CC BY) license (https://creativecommons.org/licenses/by/4.0/).
Share and Cite
Shah, G.J.; Nazir, A.; Lin, S.-C.; Jeng, J.-Y. Design for Additive Manufacturing and Investigation of Surface-Based Lattice Structures for Buckling Properties Using Experimental and Finite Element Methods. Materials 2022, 15, 4037. https://doi.org/10.3390/ma15114037
Shah GJ, Nazir A, Lin S-C, Jeng J-Y. Design for Additive Manufacturing and Investigation of Surface-Based Lattice Structures for Buckling Properties Using Experimental and Finite Element Methods. Materials. 2022; 15(11):4037. https://doi.org/10.3390/ma15114037
Chicago/Turabian StyleShah, Gul Jamil, Aamer Nazir, Shang-Chih Lin, and Jeng-Ywan Jeng. 2022. "Design for Additive Manufacturing and Investigation of Surface-Based Lattice Structures for Buckling Properties Using Experimental and Finite Element Methods" Materials 15, no. 11: 4037. https://doi.org/10.3390/ma15114037
APA StyleShah, G. J., Nazir, A., Lin, S.-C., & Jeng, J.-Y. (2022). Design for Additive Manufacturing and Investigation of Surface-Based Lattice Structures for Buckling Properties Using Experimental and Finite Element Methods. Materials, 15(11), 4037. https://doi.org/10.3390/ma15114037

