Next Article in Journal
Experimental-Numerical Study on the Flexural Ultimate Capacity of Prestressed Concrete Box Girders Subjected to Collision
Next Article in Special Issue
Modernized Synthesis Technique of Pr2NiO4+δ-Based Complex Oxides Using Low-Temperature Salt Melts
Previous Article in Journal
Repeated Drop-Weight Impact Testing of Fibrous Concrete: State-Of-The-Art Literature Review, Analysis of Results Variation and Test Improvement Suggestions
 
 
Font Type:
Arial Georgia Verdana
Font Size:
Aa Aa Aa
Line Spacing:
Column Width:
Background:
Article

Proton and Oxygen-Ion Conductivities of Hexagonal Perovskite Ba5In2Al2ZrO13

1
Institute of Natural Sciences and Mathematics, Ural Federal University, 620002 Yekaterinburg, Russia
2
Institute of High Temperature Electrochemistry of the Ural Branch of the Russian Academy of Sciences, 620990 Yekaterinburg, Russia
*
Author to whom correspondence should be addressed.
Materials 2022, 15(11), 3944; https://doi.org/10.3390/ma15113944
Submission received: 2 May 2022 / Revised: 20 May 2022 / Accepted: 30 May 2022 / Published: 1 June 2022
(This article belongs to the Special Issue Development and Application of Solid Oxide Electrolytes)

Abstract

:
The hexagonal perovskite Ba5In2Al2ZrO13 and In3+-doped phase Ba5In2.1Al2Zr0.9O12.95 were prepared by the solid-state synthesis method. The introduction of indium in the Zr-sublattice was accompanied by an increase in the unit cell parameters: a = 5.967 Å, c = 24.006 Å vs. a = 5.970 Å, c = 24.011 Å for doped phase (space group of P63/mmc). Both phases were capable of incorporating water from the gas phase. The ability of water incorporation was due to the presence of oxygen deficient blocks in the structure, and due to the introduction of oxygen vacancies during doping. According to thermogravimetric (TG) measurements the compositions of the hydrated samples corresponded to Ba5In2Al2ZrO12.7(OH)0.6 and Ba5In2.1Al2Zr0.9O12.54(OH)0.82. The presence of different types of OH-groups in the structure, which participate in different hydrogen bonds, was confirmed by infrared (IR) investigations. The measurements of bulk conductivity by the impedance spectroscopy method showed that In3+-doping led to an increase in conductivity by 0.5 order of magnitude in wet air (pH2O = 1.92·10−2 atm); in this case, the activation energies decreased from 0.27 to 0.19 eV. The conductivity−pO2 measurements showed that both the phases were dominant proton conductors at T < 500 °C in wet conditions. The composition Ba5In2.1Al2Zr0.9O12.95 exhibited a proton conductivity ~10−4 S·cm−1 at 500 °C. The analysis of partial (O2−, H+, h) conductivities of the investigated phases has been carried out. Both phases in dry air (pH2O = 3.5·10−5 atm) showed a mixed (oxygen-ion and hole) type of conductivity. The obtained results indicated that the investigated phases of Ba5In2Al2ZrO13 and Ba5In2.1Al2Zr0.9O12.95 might be promising proton-conducting oxides in the future applications in electrochemical devices, such as solid oxide fuel cells. Further modification of the composition and search for the optimal dopant concentrations can improve the H+-conductivity.

1. Introduction

Oxygen-ionic and proton electrolytes based on complex oxides have been extensively studied because of its potential for practical applications [1,2,3,4,5,6], and among various types of applications, the use of these materials in electrochemical devices, especially in solid oxide fuel cells (SOFCs), is the most important and most requested due to the development of clean, sustainable, and highly efficient energy conversion and storage technologies [7,8].
Proton-conducting oxides as electrolyte materials play a key role in the development of low- and intermediate- temperature SOFCs [3,9,10]. However, in addition to high proton conductivity, such electrolytes must have a set of other necessary properties, for example, chemical inertness to electrode materials, compatibility in terms of CTE, chemical resistance to CO2, etc. [11,12,13]. Therefore, materials science research has been focused on the discovery and development of novel and more efficient electrolyte material based on complex oxides with proton conductivity deserves significant research attention. As usual, attention has been focused on the perovskite materials, and the largest number of studies is devoted to doped phases based on barium cerates and zirconates—BaCeO3 and BaZrO3 [14].
In such systems, acceptor doping makes it possible to create oxygen vacancies, which, in a wet atmosphere, are filled with oxygen from a water molecule (as a result of dissociative adsorption), and OH-groups are formed [15,16,17]. Thus, proton defects are formed, which in the framework of the quasi-chemical formalism are considered as an impurity [18]:
H 2 O + V O + O O × 2 ( OH ) O ,
where VO•• is oxygen vacancy, OO× is oxygen at a regular oxygen site, and (OH)O is a hydroxyl group on the oxygen site, respectively.
However, there is another class of oxide materials in which oxygen vacancies are genetically present (without acceptor doping), such as brownmillerites [19,20,21,22,23,24,25,26] or oxygen-deficient double perovskites [27,28,29,30,31,32,33,34,35]. In such systems, polyhedra with a coordination number less than 6 (such as tetrahedra or pyramids) are present. Therefore, for such structures, it is possible to restore the coordination polyhedron to an octahedron due to dissociative adsorption of water vapor and the participation of OH-groups in the coordination of the cation. The oxygen deficiency in such structures is significant; accordingly, the concentration of water (OH-groups) in the structure can also reach the same high values. In this aspect, water becomes part of the chemical formula of the substance (for example, Ba2In2O5·H2O≡Ba2In2O4(OH)2), but due to the convenience of the quasi-chemical approach, it is also used for such systems, and the hydration reaction is given as [22,36]:
H 2 O + 2 O O × + V O × 2 ( OH ) O + O V O
or
H 2 O + O O × + V O × ( OH ) O + ( OH ) V O ,
where VO× is the structural oxygen vacancy, O V O is the oxygen atom in the position of oxygen vacancy, and ( OH ) V O is the hydroxyl group on the structural oxygen vacancy site.
There are also a more complex crystal structures, such as intergrowth structures. For example, intergrowths with blocks of the structures containing coordinatively unsaturated polyhedra can be formed. Such structures have been known for a long time, but recent studies have shown that such structures are also capable of water incorporation and for exhibiting high proton conductivity. Such proton conductors with hexagonal perovskite related structures are still few in number.
Hexagonal perovskite Ba7Nb4MoO20 has been described as a pure ionic conductor with high proton conductivity 4.0 mS·cm−1 at 510 °C [37]. The structure of Ba7Nb4MoO20 can be represented as a cation-deficient 7H hexagonal perovskite derivative formed by an intergrowth of palmierite layers and 12R perovskite blocks [38]. Hydration of Ba7Nb4MoO20 occurs on the intrinsically oxygen-vacant palmierite-like layers with general composition Ba3M2O8 [39], and the formation of hydrated phases Ba7Nb4MoO20·0.79H2O has been proven by TG-measurement.
Murakami T. et al. have reported that the hexagonal perovskite with the composition of Ba5Er2Al2ZrO13 exhibited high proton conductivity 10−3 S·cm−1 at 300 °C [40]. An interesting feature of this phase is the sensitivity of conductivity to the presence of water vapor even at high temperatures: the ion conductivity at 800 °C in wet atmosphere was 132 times higher than that in the dry condition. According to neutron-diffraction data, the composition of the hydrated phase corresponded to Ba5Er2Al2ZrO13.23H0.46. The comparison of the conductivities in wet air (pH2O~0.02 atm) for the structural analogues Ba5R2Al2ZrO13 (R = Er, Yb, Tm, Dy, Lu) showed that all phases exhibited high conductivities; the highest values were realized for Er, Yb-containing samples, and the lower values up to 1.5 orders of magnitude at 300 °C were for the Lu-containing sample. The authors emphasized that the capability to proton transfer is due to the existence of intrinsically oxygen-deficient layers. The structural features of these phases were described by Shpanchenko R.V. et al. in 1995 [41]. The compound Ba5R2Al2ZrO13 (R = Er, Yb, Tm, Dy, Lu) adopts a hexagonal perovskite-related structure, consisting of triple-layer cubic perovskite blocks that are separated by an intrinsically oxygen-deficient hexagonal BaO□2–layer. The structure can be formally considered as intergrowth structures with alternating BaZrO3-type and β-Ba2ScAlO5-type structural blocks along the c axis (i.e., BaZrO3 + 2Ba2ScAlO5).
The structure of another compound Ba5In2Al2ZrO13 has been described by Shpanchenko R.V. et al. in 1994 [42]. It was shown that this structure can be considered as a result of the intergrowth of Ba2InAlO5-like blocks and BaZrO3-blocks along the c-axis. The main feature of the structure is joint occupation of two 4f positions by In and Al atoms and disordering of oxygen atoms and vacancies in BaO□2–layers (where the BaO3 and BaO□2 layers with disordered placement of the oxygen atoms and vacancies alternate along the c-axis; oxygen vacancies are localized in BaO□2 h-type layers). However, the electrical properties of this phase have not been studied and the possibility of proton transport has not been studied.
In this study, Ba5In2Al2ZrO13 phase and doped composition Ba5In2.1Al2Zr0.9O12.95 were prepared by the solid-state method, and their conductivity as a function of T and pO2 was investigated for the first time. The hydration processes, and the nature of oxygen-hydrogen groups and proton transport were examined for the first time.

2. Materials and Methods

The phase Ba5In2Al2ZrO13 and the doped sample Ba5In2.1Al2Zr0.9O12.95 were synthesized by the solid-state sintering method. The preliminary dried high-purity powders of BaCO3 (99.9999% purity, Vekton, RF), In2O3 (99.99% purity, Reachim, RF), Al2O3 (99.99% purity, Reachim, RF) and ZrO2 (99.99% purity, Reachim, RF) were used as starting materials. The stoichiometric amounts of these materials were mixed together in agate mortar and ground for 1 h. Powder mixtures were calcined at the temperature range of 800–1200 °C with heating steps of 100 °C for 24 h at each step with intermediate grindings.
X-ray powder diffraction was used to control phase purity on a ARL EQUINOX 3000 (Thermo Fisher Scientific, Waltham, MA, USA) diffractometer. Measurements were carried out at room temperature with Cu Kα radiation at the angle range 10–90° with a step of 0.024°. FullProf software was used for cell parameters calculations.
The morphology of the powder samples and the cationic composition of the ceramic samples were studied using a VEGA3 (Tescan, Brno, Czech Republic) scanning electron microscope (SEM) equipped with the AztecLive Standard Ultim Max 40 (Oxford Instruments, Oxford, UK) system for energy dispersive X-ray spectroscopy (EDS).
For investigations of electrical properties, the ceramic samples were prepared. The powders of Ba5In2Al2ZrO13 and Ba5In2.1Al2Zr0.9O12.95 were pressed into the pellets followed by sintering at 1450 °C for 24 h. Palladium-silver paste electrodes were painted on both sides of the sintered pellets and then fired at 900 °C for 3 h.
Electrochemical impedance spectroscopy measurements were carried out by the two-probe method with an Z-3000X (Elins, RF) frequency response analyzer (frequency range of 100 Hz–3 MHz). The impedance data analysis was carried out using the Zview software. The measurements were performed over the temperature range of 250–900 °C during cooling with a rate of 1 °C per min in dry and wet atmospheres. The data were collected on cooling in 20 °C interval steps with the equilibrium time of 30 min. Dry atmosphere (pH2O = 3.5·10−5 atm) was obtained by circulating gas through the phosphorous pentoxide powder P2O5. Wet atmosphere was provided by bubbling the gas through the saturated solution of potassium bromide KBr (pH2O = 1.92·10−2 atm). The humidity of gases was measured by a H2O-sensor (“Honeywell” HIH-3610, Freeport, TX, USA). Additionally, electric conductivity measurements were performed in a wide oxygen partial pressure range 10−17–0.21 atm. Oxygen partial pressure values were measured and controlled by an electrochemical sensor and pump from yttria-stabilized zirconia. The conductivity measurements were carried out under dry and wet atmospheres. Before taking a measurement, the impedance was monitored versus time to ensure that equilibrium was achieved.
Infrared (IR) spectroscopy measurements were used for identification of oxygen-hydrogen groups. Hydrated samples were analyzed by diffuse reflection technique on a Nicolet 6700 (Thermo Fisher Scientific, USA) FT-IR Spectrometer. All measurements were performed at room temperature.
Hydrated samples were obtained for IR measurements according to the following scheme: the as-sintered powder sample was annealed at high temperature (1100 °C) in dry Ar in order to remove any protons or surface carbonates that the sample may have taken up during its exposure to ambient conditions. Then, the sample was cooled down to 150 °C under a flow of wet argon.
Thermogravimetric (TG) measurements were carried out using a Pyris 1 (PerkinElmer, Waltham, MA, USA) TGA analyzer. The powder samples were heated at 1000 °C in dry argon atmosphere with a heating rate of 1 °C per minute, then the samples were cooled in wet argon (pH2O = 1.92·10−2 atm) with a rate of 1 °C per minute, and the data were collected upon cooling the samples to detect the mass gain during hydration and the temperature at which it occurs. The results were used for quantitative determination of proton concentration.

3. Results and Discussion

3.1. Structural Features, Phase Analysis and Composition Characterization

Figure 1 presents X-ray diffraction (XRD) patterns of Ba5In2Al2ZrO13 and Ba5In2.1Al2Zr0.9O12.95. As can be seen, obtained samples possess a primitive hexagonal structure.
XRD patterns for both compounds are quite similar, thus it can be concluded that Ba5In2Al2ZrO13 and Ba5In2.1Al2Zr0.9O12.95 have identical structure and In2O3 dissolved in the matrix with formation of the solid-solution. The possible substitution reaction is the following:
I n 2 O 3 Z r O 2 2 I n Z r + 3 O O × + V O ,
where InZr represents In3+-cation at a tetravalent Zr-site.
Peak positions of Ba5In2.1Al2Zr0.9O12.95 had a small shift to the low-angle range in comparison with the undoped compound (Figure 1), thus the substitution of Zr4+ cation by In3+ led to an increase in the lattice parameters. Lattice parameters are a = 5.967(2) Å, c = 24.006(8) Å and a = 5.970(1) Å, c = 24.011(4) Å for Ba5In2Al2ZrO13 and Ba5In2.1Al2Zr0.9O12.95, respectively, space group P63/mmc. This trend correlated with a higher ionic radius of indium ( r I n 3 + = 0.80 Å [43]) in comparison with zirconium ( r Z r 4 + = 0.72 Å [43]). The examples of Rietveld profile fitting and crystal structure of Ba5In2Al2ZrO13 are shown in Figure 2.
SEM images of the investigated powder compounds are presented in Figure 3. For both compounds, a grain size of about 10−15 μm was observed; these grains were agglomerated from the smaller crystallites. Substitution of zirconium by indium did not affect the grain sizes. In order to confirm these results regarding the average crystallite size, the additional estimation of the size from the powder diffraction patterns was made using the Sherrer’s formula:
d = k λ β cos θ ,
where d is crystallite size, k is the constant, λ is the wavelength, β indicates the full width at half maximum of the diffraction peak, and θ is the diffraction angle. The range for the crystallite size ranged from approximately 500 nanometers to 1 micron. This result is in good agreement with a typical SEM image (Figure 3), and confirms that the grains are agglomerates consisting of crystallites with an average size near 1 μm.
The results of EDS analysis are shown in Figure 4. Experimentally obtained cation ratios are in good agreement with theoretical values. The comparison of theoretical and experimental compositions is shown in Table 1.

3.2. Hydration Behavior

TG curves of Ba5In2Al2ZrO13 and Ba5In2.1Al2Zr0.9O12.95 during cooling in wet argon are shown in Figure 5a,b. Both samples exhibited a weight gain of about 0.4−0.6% as a result of hydration (Figure 5a). For convenience, the data are presented as mol H2O per formula unit, that is, as a temperature dependence of the degree of hydration x(H2O) (Figure 5b). In general, the shapes of the TG-curves for Ba5In2Al2ZrO13 and Ba5In2.1Al2Zr0.9O12.95 were quite similar. The mass changes were observed in a wide temperature range of 200−950 °C: the main mass changes occurred in the temperature range of 200−600 °C and insignificant mass change was observed in the temperature range of 600−950 °C. At the temperatures above 950 °C, the mass stabilization was observed. It could be said that mass changes were sufficiently monotonous, since there were not strongly pronounced jumps.
As shown above (Figure 2c), the structure of the investigated compound Ba5In2Al2ZrO13 can be described as intergrowth of two structural blocks of oxygen deficient phase Ba2InAlO5 and one structural block of oxygen completed perovskite BaZrO3 [42]; therefore, the compound Ba5In2Al2ZrO13 has a potential ability of water vapor incorporation due to presence of structural oxygen vacancies in their crystal lattice. Thus, the process of water incorporation into the structure can be described by the Equations (2) or (3). The doped phase has an additional number of oxygen vacancies due to acceptor doping. According to these structural features, the theoretical degree of hydration values should be 2 and 2.05 moles per formula unit for Ba5In2Al2ZrO13 and Ba5In2.1Al2Zr0.9O12.95, respectively. At the same time, it is known that the phase Ba2InAlO5 exhibits lower water intercalation capability: the hydration limit reaches 0.18 mol H2O per formula unit [44] due to corner sharing tetrahedra pairs [45]. In this aspect, the total degree of hydration of Ba5In2Al2ZrO13 should be ~0.4 mol. Experimentally obtained values of degree of hydration are x(H2O) = 0.30 and x(H2O) = 0.41 moles per formula unit for Ba5In2Al2ZrO13 and Ba5In2.1Al2Zr0.9O12.95, respectively. These values are close to the expected values. Hydration degree of In3+-doped phases is higher in comparison with the undoped compound. It can be explained by higher concentration of oxygen vacancies.
Comparing the obtained TG-data with the literature data obtained for the structural analog Ba5Er2Al2ZrO13, we can conclude that all these phases are characterized by close degrees of hydration. The H2O content in Ba5Er2Al2ZrO13 reached x~0.27 mol [40]. Another hexagonal perovskite Ba7Nb4MoO20 exhibited high hydration values of ~0.80 H2O molecules per formula unit [37,39]. The hydration is accompanied by transformation of tetrahedral NbO4 and MoO4 units in the palmierite-like layer to the NbO6 and MoO6 octahedra. In general, it can be concluded that the degrees of hydration will be determined by the coordination preferences of the cation, located in the unsaturated polyhedral, and the hydration energy.

3.3. The State of Oxygen-Hydrogen Groups

For IR investigations, the hydrated samples were performed as mentioned in the Experimental Section, and just before the IR measurements, the hydrated samples were annealed at ~150 °C to remove absorbed water. IR spectra are presented in Figure 6. Both spectra of Ba5In2Al2ZrO13 and Ba5In2.1Al2Zr0.9O12.95 have a similar shape. The presence of aa broad band in the range of 2500–3500 cm−1 confirms the existence of hydrogen-oxygen groups in the hydrated samples, since this frequency range is attributed to the oxygen-hydrogen stretching vibrations (υOH). The state of OHn-groups (i.e., H3O+, H2O, OH) can be identified in the region of bending vibrations. The region below 1500 cm−1 corresponds to the bending vibrations of hydroxide groups, i.e., δM-OH. As such, the presence of the band with the frequency of 1400 cm−1 is attributed to the bending vibrations of the M-OH groups. The absence of bands at ~1600 and ~1700 cm−1 indicates the absence of water molecules and H3O+ ions, respectively. Thus, as for the majority of high-temperature protonic electrolytes with a perovskite-like structure, described in the literature, the main form of existence of oxygen-hydrogen groups in the investigated samples is OH-groups.
Continuing the analysis of the range of stretching vibrations and taking into account the conclusion about the presence of OH-groups, it can be said that the complex structure of the band in the range of 2500–3500 cm−1 indicates the presence of different OH-groups. As it is seen, this band is a superposition of several components. The main maximum of this wide band is located near 3350 cm−1, which means that some OH-groups should have a short length of the O–H bond (consequently the larger OH…O distance) and take part in weak hydrogen bonds. The lower frequency band located at ~2800 cm−1 indicates the presence of OH-groups with a larger length of the bond and involved in stronger hydrogen bonds. There is also a band at the frequency of 1900 cm−1, corresponding to the mixed vibration; this band could not be used for the hydrogen-oxygen groups identification.
It can be concluded that substitution of zirconium by indium does not lead to any changing in the state of oxygen-hydrogen groups, and the OH-group is the only form in which protons exist in the structure of the investigated phases. Accordingly, the composition of hydrated phases can be written as Ba5In2Al2ZrO13·0.30H2O≡Ba5In2Al2ZrO12.7(OH)0.6 and Ba5In2.1Al2Zr0.9O12.95·0.41H2O≡Ba5In2.1Al2Zr0.9O12.54(OH)0.82. At least two types of OH-groups are present in the structure which participate in different hydrogen bonds. The presence of different OH-groups suggests their different thermal stability, which is manifested on the TG-curves as the effects of mass changes in different temperature ranges.

3.4. Electrochemical Properties

Figure 7 shows the typical complex impedance plots of the Ba5In2Al2ZrO13 sample in dry atmosphere at different temperatures (a), and in comparison, at 350 °C in dry and wet atmospheres (b). As can be seen, the general shape of impedance spectra in dry and wet atmospheres and at different temperatures was quite similar. The Nyquist plots (ImZ imaginary part vs. ReZ real part of the impedance) indicated the presence of at least two relaxation processes in the region of the main studied frequencies; as it is seen, the spectra can be characterized by two overlapping semicircles. Besides, a small contribution from the third semicircle in the low frequency region was also present. It is known that in polycrystalline ion-conducting materials, the relaxation processes can be represented by at least three contributions: the bulk of the material (fb), the grain boundaries (fgb), or the electrode processes (fel), where fb > fgb > fel [46]. Any other relaxation processes in the impedance spectra were not found in a wide range of studied frequencies of 100 Hz–3 MHz.
A primary analysis of the capacities for these observed contributions can provide information about the nature of these processes [47]. The calculated values of capacitance attributed to the observed third arc were about 10−6 F, which is typical for the processes at the interface between electrodes and ceramic samples. Part of this third semicircle was visible in a limited temperature range (this relaxation process is not discussed further, because the electrode impedance was not the aim of this study). Capacitance values attributed to the first and second arcs were about 10−11 and 10−10 F, respectively; thus, the first arc should be corresponded to the bulk contribution and the second arc to the grain boundary contribution. It should be noted that the second semicircle is much smaller than the first one, hence it could be expected that grain boundaries resistance effect on material’s total resistance should be insignificant.
At the same time, it is known that alternative formalisms of data presentation can yield additional information that is not easily accessible from the impedance complex plane [47,48]. For example, impedance data can be represented as Bode plots in various coordinates. To identify and separate the different relaxation processes, we presented the data also in coordinates of the logarithm of the impedance magnitude and phase-shift vs. the logarithm of the frequency (Figure 8b). In the Bode diagram, the difference of the two kinds of relaxation processes cannot be discerned so clearly. As such, the data can then be plotted in different ways. The appearance of two impedance contributions can be better seen from representation as the real part of impedance (ReZ) vs. imaginary part divided by the frequency (ImZ/f), as shown in Figure 8c. This plot shows two linear regions, indicating the presence of two relaxation processes. The linear region in such plots represents a relaxation process, with the y-intercept of the line giving the relaxation frequency and a characteristic resistance, respectively [48]. In Figure 8d, the impedance spectroscopic data of Ba5In2Al2ZrO13 recorded at 464 °C in the imaginary part ImZ vs. the logarithm of the frequency representation were shown. The contributions of two relaxation processes can be distinguished.
Thus, we can conclude that the impedance data obtained can be adequately represented as two relaxation processes and modeled as two parallel RCPE elements. An example of the fitting of the experimental data and equivalent circuit is shown in Figure 8a. For further discussions, the calculated values of the bulk resistance were used.
Plots of the temperature dependencies of bulk conductivities for Ba5In2Al2ZrO13 and Ba5In2.1Al2Zr0.9O12.95 are presented in Figure 9. It should be noted that across the whole temperature range the conductivity values in wet atmosphere were higher in comparison with dry atmosphere. The difference in conductivity values in wet and dry atmospheres increases with decreasing temperature, and at temperatures below 350 °C, the difference becomes more than one order. The difference between conductivity values in dry and wet atmospheres becomes insignificant at temperatures above 850 °C, although the values in wet atmosphere are still higher than in dry. These results confirm the possibility of the appearance of proton transport in the studied phases.
The values of conductivity of Ba5In2.1Al2Zr0.9O12.95 are higher in comparison with undoped compound in both dry and wet atmospheres. Differences in total conductivity values in wet and dry atmosphere are also higher in the case of In-doped compound. This can be explained by the oxygen vacancies formation due to acceptor doping, that can be described by the quasi-chemical Equation (4). As can be seen from this equation, the substitution of zirconium by indium leads to the formation of the charged oxygen vacancies VO••. In wet air, the proton charge carrier formation occurs due to water incorporation, so conductivities increase.
In order to determine the type of dominant carrier and partial conductivities, the measurements of conductivity as a function of oxygen partial pressure were made.
The dependencies of conductivity as a function of oxygen partial pressure in dry atmosphere are presented in Figure 10. It can be seen that the values of conductivity decrease with reducing oxygen partial pressure from 0.21 to 10−4.5 atm. This behavior indicates the presence of some contribution of p-type conductivity σh; the oxygen incorporation process with formation of holes can be expressed by the equation:
V O × + 1 2 O 2 2 h + O V O ,
where h is hole, and O V O is the oxygen atom in the position of oxygen vacancy.
At the oxygen partial pressure range of 10−17–10−4.5 atm, the conductivity dependence exhibits plateau. In this oxygen partial pressure range, the ionic defects dominate while concentrations of electron defects are negligible (σdryion = σO2−). This ionic conductivity plateau is attributed to the intrinsic oxygen vacancies present in the structure. With a change in the temperature, the general view of the dependences does not change, but a slight decrease in the positive slope of the dependences with decreasing temperature can be noted.
The general view of the dependences for both samples is similar; somewhat higher conductivity values are observed for the doped sample Ba5In2.1Al2Zr0.9O12.95 in comparison with Ba5In2Al2ZrO13 over the whole investigated oxygen partial pressure range. The increase in ionic conductivity (plateau region) is due to an increase in the concentration of oxygen vacancies during doping. Moreover, it should be noted that, in the range from 10−4.5 to 0.21 atm, the conductivity of doped samples is also higher. This means that the hole conductivity is higher in the Ba5In2.1Al2Zr0.9O12.95 in comparison with the undoped compound. As it was mentioned earlier, the doping process leads to formation of the charged oxygen vacancies VO••; hence, in the range of high oxygen partial pressures the process of oxygen incorporation may also produce a hole, as can be showed by the equation:
V O + 1 2 O 2 2 h + O O × ,
where VO•• is oxygen vacancy, OO× is the oxygen at the regular oxygen site, and h is the hole.
Thus, at a high oxygen partial pressure range, the increase in the concentration of oxygen vacancies may also increase the concentration of holes, that will raise the values of hole conductivity and, as a result, it’s contribution to the total conductivity value.
Thus, in air (pO2 = 0.21 atm), the total conductivity of both investigated phases is characterized by a mixed type, and in general, the case can be represented as:
σ = σ ion + σ h = σ ion + σ 0 p O 2 1 4 ,
where σion is ion conductivity, σh is hole conductivity, pO2 is oxygen partial pressure, and σ0 is hole conductivity at pO2 = 1 atm.
Figure 11 and Figure 12 show oxygen partial pressure dependences of total conductivity in dry and wet atmosphere in comparison. As can be seen, across the whole oxygen partial pressure range, the values of conductivity in wet atmosphere are higher in comparison with dry atmosphere. Conductivity increase in wet atmosphere is due to the contribution of proton conductivity (σwetion = σO2− + σH). It should be noted that differences in conductivity values in dry and wet atmospheres increases with decreasing temperature. This is due to hydration process which leads to proton concentration increase. Besides, the difference between dry and wet atmospheres increases with oxygen partial pressure decrease, and at 500 °C, the differences are about one order of magnitude at the plateau region. In general, it can be said that below 500 °C, the samples were characterized by the dominant ionic type of conductivity over the whole investigated pO2 range. Accordingly, in air (pO2 = 0.21 atm), they exhibited the dominant proton conductivity.
According to the data on conductivity dependences vs. oxygen partial pressure, the partial conductivities were calculated in air. For dry air, the values of oxygen-ion conductivities were defined as the conductivity values in the plateau region; the values of hole conductivity were defined by subtracting the ionic conductivity from the total conductivity at pO2 = 0.21 atm (in accordance with Equation (8)), i.e., σh = σ(0.21 atm) − σion. Proton conductivity values were calculated by subtraction of ionic conductivity in wet atmospheres (the plateau for wet conditions) from the values of oxygen-ion conductivity in dry air (the plateau for dry conditions), i.e., σH = σwetion − σdryO2− (assuming that the oxygen ion conductivity is independent of the proton concentration). The values of hole conductivity were defined as a difference of total conductivity value at oxygen pressure 0.21 atm and of the value of ion conductivity. Temperature dependencies of partial conductivities are shown in Figure 13.
As can be seen from Figure 13, in dry air, over the whole temperature range, the values of hole conductivity are higher than oxygen-ion conductivity. Only at 500 °C for Ba5In2Al2ZrO13 did oxygen-ion conductivity values become higher than values of hole conductivity; for Ba5In2.1Al2Zr0.9O12.95 at this temperature, the hole conductivity value was still higher. In wet air below 600 °C, both compounds exhibit dominant proton conductivity.
Table 2 presents the values of activation energies Ea for oxygen-ion and proton conductivities, and the pre-exponential terms A, which were calculated according to the Arrhenius equation:
σ T = A   exp ( E a k T ) ,
where A is pre-exponential term, k is the Boltzmann constant, and T is absolute temperature. As it is seen, activation energies of oxygen-ion conductivities were the same for both samples, and these values are typical for oxygen-ion transport for hexagonal structures. For example, the activation energy for the compound Ba5Er2Al2ZrO13 with close structure was 0.58 eV [40]. The value of the pre-exponential term for the doped sample Ba5In2.1Al2Zr0.9O12.95 was higher than for Ba5In2Al2ZrO13, and this may be due to the increase in the unit cell size of the doped sample, and hence the increase in the interatomic distance and, consequently, the distance the ion mean free path. This is a favorable factor for ion transport.
The value of activation energies Ea of proton conductivity for both samples are quite low; the activation energy for Ba5In2.1Al2Zr0.9O12.95 is lower than for Ba5In2Al2ZrO13, thus the process of protons migration is facilitated in In-doped compound. The decrease in the pre-exponential factor was compensated by the decrease in activation energy, and thus the proton conductivity increased during doping. It is known that proton transport in oxides, occurring according to the Grotthuss mechanism, is characterized by activation energies of ~0.5 eV. These values are typical for many perovskites and related structures, the comparison of activation energies Ea of proton conductivity for various structures is presented in [49]. It should be emphasized that proton transport in hexagonal perovskites with general formula Ba5M3+2Al2ZrO13 is realized with lower activation energies. The activation energies for conductivity in wet air below 450 °C were 0.29, 0.33, 0.36 and 0.40 eV for M = Tm, Dy, Yb and Er [40]. These values are comparable with the values obtained in this work for In-containing samples.
In addition, the values of transport numbers were calculated. For each type of partial conductivity, transport numbers ti were calculated according to the following equation:
t i = σ i σ ,
where σi is partial conductivity, and σ is total conductivity in dry or wet atmospheres. Temperature dependencies of transport numbers are shown in Figure 14.
As can be seen, in dry atmosphere at 500 °C, both compounds are mixed hole-oxygen-ion conductors. With decreasing temperature, the contribution of oxygen-ionic conductivity increases insignificantly. At all temperatures, the contribution of hole conductivity for Ba5In2.1Al2Zr0.9O12.95 is higher in comparison with Ba5In2Al2ZrO13.
In wet atmosphere with decreasing temperature, proton transport numbers rise due to the hydration process, and at 600 °C, the values of total conductivity are mainly determined by proton transport.
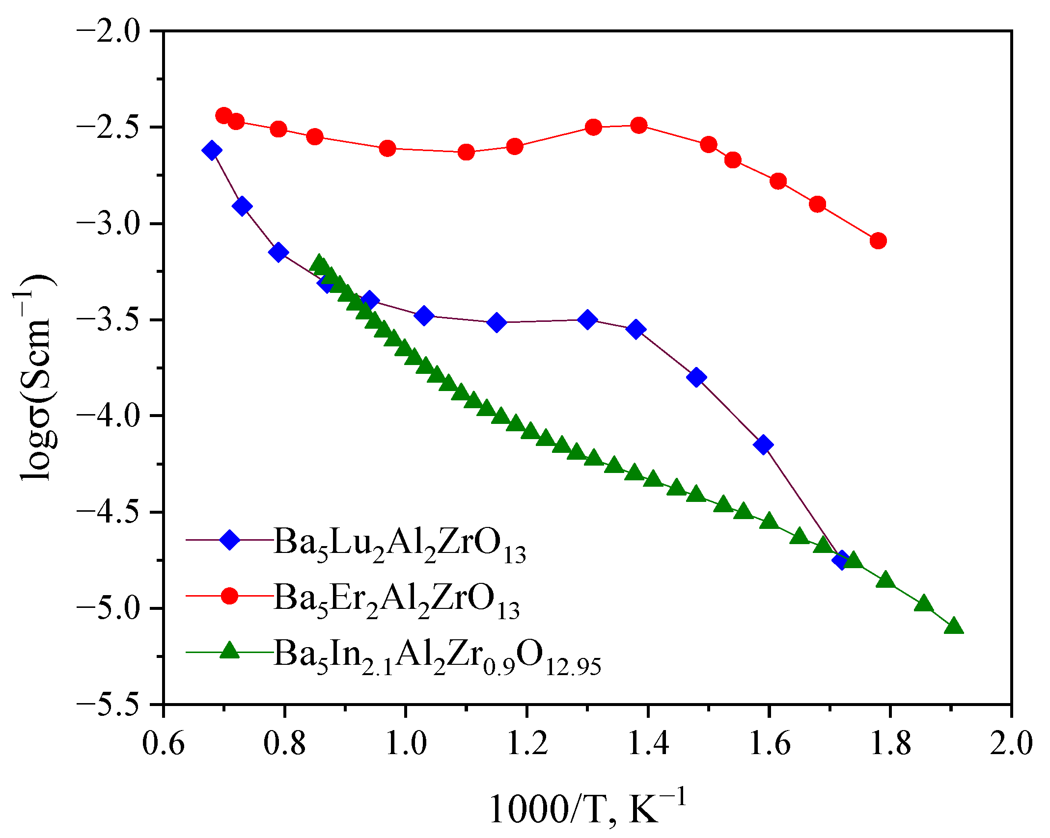
The comparison of the temperature dependencies of total conductivity in wet air for Ba5Er2Al2ZrO13 [40], Ba5Lu2Al2ZrO13 [40] and investigated phase Ba5In2.1Al2Zr0.9O12.95 is shown in Figure 15. As can be seen, the Er-containing sample exhibited the highest conductivities. The investigated phase was characterized by a conductivity close to that of the Lu-containing phase. We believe that this is due to the closer radii of In3+ (r = 0.80 Å) [43] and Lu3+ (r = 0.86 Å) [43], compared to Er3+ (r = 0.89 Å) [43]. Probably, for the Er3+-containing sample, the optimal migration volume for oxygen-ion and proton transport is realized.
Thus, we can conclude that the studied phases Ba5In2Al2ZrO13 and Ba5In2.1Al2Zr0.9O12.95 are promising proton conductors, and acceptor doping is a promising way to optimize proton conductivity in hexagonal perovskites.

4. Conclusions

The hexagonal perovskite Ba5In2Al2ZrO13 and In3+-doped phase Ba5In2.1Al2Zr0.9O12.95 were prepared by the solid-state synthesis method. Both phases had a hexagonal structure with a space group of P63/mmc and the lattice parameters a = 5.967(2) Å, c = 24.006(8) Å and a = 5.970(1) Å, c = 24.011(4) Å, respectively. The substitution of Zr4+ by a larger in size In3+ led to an increase in the lattice parameters.
TG-measurements confirmed that the phases were capable of incorporating water and forming hydrated phases of the compositions Ba5In2Al2ZrO12.7(OH)0.6 and Ba5In2.1Al2Zr0.9O12.54(OH)0.82. The concentration of protons in the doped phase was higher due to the appearance of an additional amount of oxygen vacancies.
IR-studies confirmed the presence of different OH-groups, which participate in different hydrogen bonds, and, as a result, have different thermal stability.
The electrical conductivities of both samples under wet (pH2O = 1.92·10−2 atm) and dry (pH2O = 3.5·10−5 atm) atmospheres with different oxygen partial pressure pO2 values were investigated using the ac impedance spectroscopy technique. The activation energy values for oxygen-ions and protons were found to be 0.64 eV and 0.27 eV for undoped sample Ba5In2Al2ZrO13, and 0.65 eV and 0.19 eV for the In3+-doped sample. Both phases in dry air showed mixed (oxygen-ion and hole) type of conductivity. Ionic transport numbers reached 0.3–0.5 in the investigated temperature range of 500–800 °C. The acceptor doping made it possible to increase the oxygen-ionic conductivity but not significantly; the differences reached 0.1 order of magnitude. Both phases exhibited proton conductivity, which dominated in wet air below 500 °C. The difference between dry and wet atmospheres increased with decreasing oxygen partial pressure, and at 500 °C, the differences were about one order of magnitude at a plateau region. The value of activation energies Ea of proton conductivity for both samples were quite low, the activation energy for Ba5In2.1Al2Zr0.9O12.95 (0.19 eV) was lower than for Ba5In2Al2ZrO13 (0.27 eV). The increase in the proton conductivity for the doped phase is explained by the higher concentrations of protons and the increase in their mobility.

Author Contributions

Conceptualization, I.A. (Irina Animitsa); methodology, R.A. and I.A. (Irina Animitsa); X-ray diffraction analysis, SEM analysis, I.A. (Irina Anokhina); TG measurement, IR-measurement, D.K.; writing—original draft preparation, I.A. (Irina Animitsa) and R.A.; writing—review and editing, I.A. (Irina Animitsa) and R.A. All authors have read and agreed to the published version of the manuscript.

Funding

This research was supported by the Russian Science Foundation and Government of Sverdlovsk region, Joint Grant 22-23-20003 https://rscf.ru/en/project/22-23-20003/.

Institutional Review Board Statement

Not applicable.

Informed Consent Statement

Not applicable.

Data Availability Statement

The reported data is available from the corresponding authors on a reasonable request.

Conflicts of Interest

The authors declare no conflict of interest.

References

  1. Colomban, P. Proton conductors and their applications: A tentative historical overview of the early researches. Solid State Ion. 2019, 334, 125–144. [Google Scholar] [CrossRef]
  2. Izyumskaya, N.; Alivov, Y.; Morkoç, H. Oxides, oxides, and more oxides: High-κ oxides, ferroelectrics, ferromagnetics, and multiferroics. Crit. Rev. Solid State Mater. Sci. 2009, 34, 89–179. [Google Scholar] [CrossRef]
  3. Medvedev, D. Trends in research and development of protonic ceramic electrolysis cells. Int. J. Hydrogen Energy 2019, 44, 26711–26740. [Google Scholar] [CrossRef]
  4. Ramamoorthy, R.; Dutta, P.; Akbar, S. Oxygen sensors: Materials, methods, designs and applications. J. Mater. Sci. 2003, 38, 4271–4282. [Google Scholar] [CrossRef]
  5. Junjiang, Z.; Hailong, L.; Linyun, Z.; Ping, X.; Xuelian, X.; Xiangguang, Y.; Zhen, Z.; Jinlin, L. Perovskite Oxides: Preparation, Characterizations, and Applications in Heterogeneous Catalysis. ACS Catal. 2014, 4, 2917–2940. [Google Scholar]
  6. Zhang, M.; Jeerh, G.; Zou, P.; Lan, R.; Wang, M.; Wang, H.; Tao, S. Recent development of perovskite oxide-based electrocatalysts and their applications in low to intermediate temperature electrochemical devices. Mater. Today 2021, 49, 351–377. [Google Scholar] [CrossRef]
  7. Ishihara, T. Perovskite Oxide for Solid Oxide Fuel Cells; Springer: Boston, MA, USA, 2009. [Google Scholar]
  8. Norby, T. The promise of protonics. Nature 2001, 410, 877–878. [Google Scholar] [CrossRef]
  9. Tarancón, A. Strategies for Lowering Solid Oxide Fuel Cells Operating Temperature. Energies 2009, 2, 1130–1150. [Google Scholar] [CrossRef]
  10. Zhang, W.; Hu, Y. Progress in proton-conducting oxides as electrolytes for low-temperature solid oxide fuel cells: From materials to devices. Energy Sci. Eng. 2021, 9, 984–1011. [Google Scholar] [CrossRef]
  11. Schober, T. Applications of oxidic high-temperature proton conductors. Solid State Ion. 2003, 162, 277–281. [Google Scholar] [CrossRef]
  12. Marrony, M. Proton-Conducting Ceramics: From Fundamentals to Applied Research; Jenny Stanford Publishing: Singapore, 2015. [Google Scholar]
  13. Świerczek, K.; Skubida, W. Optimization of proton conductors for application in solid oxide fuel cell technology. In Proceedings of the Optimization of Proton Conductors for Application in Solid Oxide Fuel Cell Technology, Krakow, Poland, 21–23 September 2016. [Google Scholar]
  14. Medvedev, D.; Lyagaeva, J.; Gorbova, E.; Demin, A.; Tsiakaras, P. Advanced materials for SOFC application: Strategies for the development of highly conductive and stable solid oxide proton electrolytes. Prog. Mater. Sci. 2016, 75, 38–79. [Google Scholar] [CrossRef]
  15. Kochetova, N.; Animitsa, I.; Medvedev, D.; Demin, A.; Tsiakaras, P. Recent activity in the development of proton-conducting oxides for high-temperature applications. RSC Adv. 2016, 6, 73222–73268. [Google Scholar] [CrossRef]
  16. Jing, Y.; Matsumoto, H.; Aluru, N. Mechanistic Insights into Hydration of Solid Oxides. Chem. Mater. 2018, 30, 138–144. [Google Scholar] [CrossRef]
  17. Putilov, L.; Tsidilkovski, V. Impact of bound ionic defects on hydration of acceptor-doped proton-conducting perovskites. Phys. Chem. Chem. Phys. 2019, 21, 6391–6406. [Google Scholar] [CrossRef] [PubMed]
  18. Haugsrud, R. High Temperature Proton Conductors—Fundamentals and Functionalities. Diffus. Found. 2016, 8, 31–79. [Google Scholar] [CrossRef]
  19. Adler, S.; Reimer, J.; Baltisberger, J.; Werner, U. Chemical structure and oxygen dynamics in Ba2In2O5. J. Am. Chem. Soc. 1994, 116, 675–681. [Google Scholar] [CrossRef]
  20. Zhang, G.; Smyth, D. Defects and transport of the brownmillerite oxides with high oxygen ion conductivity—Ba2In2O5. Solid State Ion. 1995, 82, 161–172. [Google Scholar] [CrossRef]
  21. Kanzaki, M.; Yamaji, A. Molecular dynamics simulation of oxygen ion diffusion in Ba2In2O5. Mater. Sci. Eng. 1996, 41, 46–49. [Google Scholar] [CrossRef]
  22. Fisher, C.; Islam, M. Defect, protons and conductivity in brownmillerite-structured Ba2In2O5. Solid State Ion. 1999, 118, 355–363. [Google Scholar] [CrossRef]
  23. Yamamura, H.; Yamada, Y.; Mori, T.; Atake, T. Order-disorder transition of oxygen vacancy in the brownmillerite system. Solid State Ion. 2000, 108, 377–381. [Google Scholar] [CrossRef]
  24. Yoshinaga, M.; Yamaguchi, M.; Furuya, T.; Wang, S.; Hashimoto, T. The electrical conductivity and structural phase transitions of cation-substituted Ba2In2O5. Solid State Ion. 2004, 169, 9–13. [Google Scholar] [CrossRef]
  25. Animitsa, I.; Kochetova, N.; Shaikhlislamova, A. Electric and thermogravimetric properties of brownmillerites based on barium oxides. Russ. J. Electrochem. 2007, 43, 708–713. [Google Scholar] [CrossRef]
  26. Jijil, C.; Unni, S.; Sreekumar, K.; Devi, R. Disordered Brownmillerite Ba2InCeO5+δ with Enhanced Oxygen Reduction Activity. Chem. Mater. 2012, 24, 2823–2828. [Google Scholar] [CrossRef]
  27. Schober, T. Protonic conduction in BaIn0.5Sn0.5O2.75. Solid State Ion. 1998, 109, 1–11. [Google Scholar] [CrossRef]
  28. Murugaraj, P.; Kreuer, K.; He, T.; Schober, T.; Maier, J. High proton conductivity in barium yttrium stannate Ba2YSnO5.5. Solid State Ion. 1997, 98, 1–6. [Google Scholar] [CrossRef]
  29. Glockner, R.; Neiman, A.; Larring, Y.; Norby, T. Protons in Sr3(Sr1+xNb2-x)O9-3x/2. Solid State Ion. 1999, 125, 369–376. [Google Scholar] [CrossRef]
  30. Animitsa, I.; Neiman, A.; Kochetova, N.; Melekh, B.; Sharafutdinov, A. Proton and oxygen-ion conductivity of Ba4Ca2Nb2O11. Solid State Ion. 2003, 162, 63–71. [Google Scholar] [CrossRef]
  31. Korona, D.; Neiman, A.; Animitsa, I.; Sharafutdinov, A. Effect of humidity on conductivity of Ba4Ca2Nb2O11 phase and solid solutions based on this phase. Russ. J. Electrochem. 2009, 45, 586–592. [Google Scholar] [CrossRef]
  32. Baliteau, S.; Mauvy, F.; Fourcade, S.; Grenier, J. Investigation on double perovskite Ba4Ca2Ta2O11. Solid State Sci. 2009, 11, 1572–1575. [Google Scholar] [CrossRef]
  33. Jalarvo, N.; Haavik, C.; Kongshaug, C.; Norby, P.; Norby, T. Conductivity and water uptake of Sr4(Sr2Nb2)O11·nH2O and Sr4(Sr2Ta2)O11·nH2O. Solid State Ion. 2009, 180, 1151–1156. [Google Scholar] [CrossRef]
  34. Animitsa, I.; Dogodaeva, E.; Nokhrin, S.; Kosareva, O.; Neiman, A. Synthesis, structure, and electric properties of oxygen-deficient perovskites Ba3In2ZrO8 and Ba4In2Zr2O11. Russ. J. Electrochem. 2010, 46, 734–740. [Google Scholar] [CrossRef]
  35. Animitsa, I.; Dogodaeva, E.; Tarasova, N.; Kosareva, O.; Neiman, A. Oxygen-ion and proton transport in Ba4Na2W2O11. Solid State Ion. 2011, 185, 1–5. [Google Scholar] [CrossRef]
  36. Animitsa, I. Double perovskites with structure-disordered oxygen sublattice as high-temperature proton conductors. In Perovskites: Structure, Properties and Uses; Nova Science Publishers, Inc.: New York, NY, USA, 2010; pp. 501–524. [Google Scholar]
  37. Fop, S.; McCombie, K.; Wildman, E.; Skakle, J.; Irvine, J.; Connor, P.; Savaniu, C.; Ritter, C.; Mclaughlin, A. High oxide ion and proton conductivity in a disordered hexagonal perovskite. Nat. Mater. 2020, 19, 752–757. [Google Scholar] [CrossRef] [PubMed]
  38. Garcia-González, E.; Parras, M.; González-Calbet, J. Crystal structure of an unusual polytype: 7H-Ba7Nb4MoO20. Chem. Mater. 1999, 11, 433–437. [Google Scholar] [CrossRef]
  39. Fop, S.; Dawson, J.; Fortes, A.; Ritter, C.; McLaughlin, A. Hydration and Ionic Conduction Mechanisms of Hexagonal Perovskite Derivatives. Chem. Mater. 2021, 33, 4651–4660. [Google Scholar] [CrossRef]
  40. Murakami, T.; Hester, J.; Yashima, M. High Proton Conductivity in Ba5Er2Al2ZrO13, a Hexagonal Perovskite-Related Oxide with Intrinsically Oxygen-Deficient Layers. J. Am. Chem. Soc. 2020, 142, 11653–11657. [Google Scholar] [CrossRef]
  41. Shpanchenko, R.; Abakumov, A.; Antipov, E.; Nistor, L.; van Tendeloo, G.; Amelinckx, S. Structural study of the new complex oxides Ba5-ySryR2-xAl2Zr1+xO13+x/2 (R = Gd-Lu, Y, Sc). J. Solid State Chem. 1995, 118, 180–192. [Google Scholar] [CrossRef]
  42. Shpanchenko, R.; Abakumov, A.; Antipov, E.; Kovba, L. Crystal structure of Ba5In2Al2ZrO13. J. Alloy. Compd. 1994, 206, 185–188. [Google Scholar] [CrossRef]
  43. Shannon, R. Revised effective ionic radii and systematic studies of interatomic distances in halides and chalcogenides. Acta Crystallogr. Sect. A Cryst. Phys. Diffr. Theor. Gen. Crystallogr. 1976, 32, 751–767. [Google Scholar] [CrossRef]
  44. Spesivtseva, I.; Kochetova, N.; Gorbunova, E.; Animitsa, I. Solid Solutions of Ba2(In1−xAlx)2O5: Structural Evolution and Hydration Processes. Russ. J. Phys. Chem. A 2011, 85, 1689–1694. [Google Scholar] [CrossRef]
  45. Müller-Buschbaum, H.; Abed, M. Ba2InAlO5: A new structure type of oxometallates of the formula A2M2O5. Z. Für Anorg. Und Allg. Chem. 1990, 591, 174–180. [Google Scholar] [CrossRef]
  46. Lasia, A. Electrochemical Impedance Spectroscopy and Its Applications; Springer: New York, NY, USA, 2014. [Google Scholar]
  47. Irvine, J.; Sinclair, D.; West, A. Electroceramics: Characterization by Impedance Spectroscopy. Adv. Mater. 1990, 2, 132–138. [Google Scholar] [CrossRef]
  48. Arulraj, A.; Goutenoire, F.; Tabellout, M.; Bohnke, O.; Lacorre, P. Synthesis and Characterization of the Anionic Conductor System La2Mo2O9−0.5xFx (x = 0.02 − 0.30). Chem. Mater. 2002, 14, 2492–2498. [Google Scholar] [CrossRef]
  49. Fop, S. Solid oxide proton conductors beyond perovskites. J. Mater. Chem. A 2021, 9, 18836–18856. [Google Scholar] [CrossRef]
Figure 1. X-ray powder diffraction patterns for Ba5In2Al2ZrO13 (1) and Ba5In2.1Al2Zr0.9O12.95 (2); the insert shows an expanded view of the shifts of the diffraction peaks within 29.5–31.5°.
Figure 1. X-ray powder diffraction patterns for Ba5In2Al2ZrO13 (1) and Ba5In2.1Al2Zr0.9O12.95 (2); the insert shows an expanded view of the shifts of the diffraction peaks within 29.5–31.5°.
Materials 15 03944 g001
Figure 2. Rietveld profile fitting of powder X-ray diffraction pattern for Ba5In2Al2ZrO13 (a) and Ba5In2.1Al2Zr0.9O12.95 (b); observed (dots), calculated (line), difference (bottom) data, and angular positions of reflections (bars) are shown. The crystal structure of Ba5In2Al2ZrO13 (c).
Figure 2. Rietveld profile fitting of powder X-ray diffraction pattern for Ba5In2Al2ZrO13 (a) and Ba5In2.1Al2Zr0.9O12.95 (b); observed (dots), calculated (line), difference (bottom) data, and angular positions of reflections (bars) are shown. The crystal structure of Ba5In2Al2ZrO13 (c).
Materials 15 03944 g002
Figure 3. Scanning electron microscope (SEM) images for the powder samples Ba5In2Al2ZrO13 (a) and Ba5In2.1Al2Zr0.9O12.95 (b).
Figure 3. Scanning electron microscope (SEM) images for the powder samples Ba5In2Al2ZrO13 (a) and Ba5In2.1Al2Zr0.9O12.95 (b).
Materials 15 03944 g003
Figure 4. Energy dispersive X-ray spectroscopy (EDS) results and the element mass distribution histograms (at.%) for Ba5In2Al2ZrO13 (a) and Ba5In2.1Al2Zr0.9O12.95 (b).
Figure 4. Energy dispersive X-ray spectroscopy (EDS) results and the element mass distribution histograms (at.%) for Ba5In2Al2ZrO13 (a) and Ba5In2.1Al2Zr0.9O12.95 (b).
Materials 15 03944 g004
Figure 5. TG plots under cooling in wet Ar (pH2O = 1.92·10−2 atm) for Ba5In2Al2ZrO13·xH2O (1) and Ba5In2.1Al2Zr0.9O12.95 ·xH2O (2); % weight gain (a) and the hydration degree xH2O (b).
Figure 5. TG plots under cooling in wet Ar (pH2O = 1.92·10−2 atm) for Ba5In2Al2ZrO13·xH2O (1) and Ba5In2.1Al2Zr0.9O12.95 ·xH2O (2); % weight gain (a) and the hydration degree xH2O (b).
Materials 15 03944 g005
Figure 6. IR spectra of the hydrated samples Ba5In2Al2ZrO13 (1) and Ba5In2.1Al2Zr0.9O12.95 (2).
Figure 6. IR spectra of the hydrated samples Ba5In2Al2ZrO13 (1) and Ba5In2.1Al2Zr0.9O12.95 (2).
Materials 15 03944 g006
Figure 7. Impedance spectra for Ba5In2Al2ZrO13 at different temperatures in dry air (a), and the comparison in dry (pH2O = 3.5·10−5 atm) and wet air (pH2O = 1.92·10−2 atm) at 350 °C (b).
Figure 7. Impedance spectra for Ba5In2Al2ZrO13 at different temperatures in dry air (a), and the comparison in dry (pH2O = 3.5·10−5 atm) and wet air (pH2O = 1.92·10−2 atm) at 350 °C (b).
Materials 15 03944 g007
Figure 8. The example of the impedance data fitting for Ba5In2Al2ZrO13 and corresponding equivalent circuit, R1, R2, CPE1 and CPE2 represent the bulk resistance, grain-boundary resistance, constant phase element of the bulk and constant phase element of the grain-boundaries (wet air pH2O = 1.92·10−2 atm, 464 °C) (a); the impedance data shown in the coordinates of the logarithm of the impedance magnitude (1) and phase-shift (2) vs. the logarithm of the frequency (b). The impedance spectrum shown in the real part of impedance ReZ vs. ImZ/f representation (c). Impedance data shown as imaginary part ImZ vs. the logarithm of the frequency (d).
Figure 8. The example of the impedance data fitting for Ba5In2Al2ZrO13 and corresponding equivalent circuit, R1, R2, CPE1 and CPE2 represent the bulk resistance, grain-boundary resistance, constant phase element of the bulk and constant phase element of the grain-boundaries (wet air pH2O = 1.92·10−2 atm, 464 °C) (a); the impedance data shown in the coordinates of the logarithm of the impedance magnitude (1) and phase-shift (2) vs. the logarithm of the frequency (b). The impedance spectrum shown in the real part of impedance ReZ vs. ImZ/f representation (c). Impedance data shown as imaginary part ImZ vs. the logarithm of the frequency (d).
Materials 15 03944 g008
Figure 9. Temperature dependence of total conductivity in dry (pH2O = 3.5·10−5 atm) and wet (pH2O = 1.92·10−2 atm) air for Ba5In2Al2ZrO13 (a) and Ba5In2.1Al2Zr0.9O12.95 (b).
Figure 9. Temperature dependence of total conductivity in dry (pH2O = 3.5·10−5 atm) and wet (pH2O = 1.92·10−2 atm) air for Ba5In2Al2ZrO13 (a) and Ba5In2.1Al2Zr0.9O12.95 (b).
Materials 15 03944 g009
Figure 10. Oxygen partial pressure dependence of total conductivity in dry atmosphere (pH2O = 3.5·10−5 atm) for Ba5In2Al2ZrO13 and Ba5In2.1Al2Zr0.9O12.95.
Figure 10. Oxygen partial pressure dependence of total conductivity in dry atmosphere (pH2O = 3.5·10−5 atm) for Ba5In2Al2ZrO13 and Ba5In2.1Al2Zr0.9O12.95.
Materials 15 03944 g010
Figure 11. Oxygen partial pressure dependence of total conductivity at 500 °C in dry (pH2O = 3.5·10−5 atm) and wet (pH2O = 1.92·10−2 atm) atmospheres for Ba5In2Al2ZrO13 and Ba5In2.1Al2Zr0.9O12.95.
Figure 11. Oxygen partial pressure dependence of total conductivity at 500 °C in dry (pH2O = 3.5·10−5 atm) and wet (pH2O = 1.92·10−2 atm) atmospheres for Ba5In2Al2ZrO13 and Ba5In2.1Al2Zr0.9O12.95.
Materials 15 03944 g011
Figure 12. Oxygen partial pressure dependencies of total conductivity in dry (pH2O = 3.5·10−5 atm) and wet (pH2O = 1.92·10−2 atm) atmospheres for Ba5In2Al2ZrO13 (a) and Ba5In2.1Al2Zr0.9O12.95 (b).
Figure 12. Oxygen partial pressure dependencies of total conductivity in dry (pH2O = 3.5·10−5 atm) and wet (pH2O = 1.92·10−2 atm) atmospheres for Ba5In2Al2ZrO13 (a) and Ba5In2.1Al2Zr0.9O12.95 (b).
Materials 15 03944 g012
Figure 13. Partial conductivities for Ba5In2Al2ZrO13 in dry (a) and wet (b) atmospheres, and for Ba5In2.1Al2Zr0.9O12.95 in dry (c) and wet (d) atmospheres.
Figure 13. Partial conductivities for Ba5In2Al2ZrO13 in dry (a) and wet (b) atmospheres, and for Ba5In2.1Al2Zr0.9O12.95 in dry (c) and wet (d) atmospheres.
Materials 15 03944 g013
Figure 14. Transport numbers for Ba5In2Al2ZrO13 in dry (a) and wet (b) air, and for Ba5In2.1Al2Zr0.9O12.95 in dry (c) and wet (d) air.
Figure 14. Transport numbers for Ba5In2Al2ZrO13 in dry (a) and wet (b) air, and for Ba5In2.1Al2Zr0.9O12.95 in dry (c) and wet (d) air.
Materials 15 03944 g014
Figure 15. Temperature dependencies of total conductivity in wet air (pH2O = 1.92·10−2 atm) for Ba5Er2Al2ZrO13 [40], Ba5Lu2Al2ZrO13 [40] and Ba5In2.1Al2Zr0.9O12.95.
Figure 15. Temperature dependencies of total conductivity in wet air (pH2O = 1.92·10−2 atm) for Ba5Er2Al2ZrO13 [40], Ba5Lu2Al2ZrO13 [40] and Ba5In2.1Al2Zr0.9O12.95.
Materials 15 03944 g015
Table 1. Elemental composition determined by the EDS for the samples Ba5In2Al2ZrO13 and Ba5In2.1Al2Zr0.9O12.95.
Table 1. Elemental composition determined by the EDS for the samples Ba5In2Al2ZrO13 and Ba5In2.1Al2Zr0.9O12.95.
CompoundTheoretical Values, at.%EDS Analysis, at.%
BaInAlZrBaInAlZr
Ba5In2Al2ZrO135020201051.721.817.98.6
Ba5In2.1Al2Zr0.9O12.955021209 51.123.417.28.3
Table 2. Comparison of the activation energy and pre-exponential term of Ba5In2Al2ZrO13 and Ba5In2.1Al2Zr0.9O12.95 for oxygen-ion and proton conductivities.
Table 2. Comparison of the activation energy and pre-exponential term of Ba5In2Al2ZrO13 and Ba5In2.1Al2Zr0.9O12.95 for oxygen-ion and proton conductivities.
CompoundA(O2−), Ω−1cm−1KEa(O2−), eVA(H+), Ω−1cm−1KEa(H+), eV
Ba5In2Al2ZrO1363 ± 10.64 ± 0.010.54 ± 0.010.27 ± 0.01
Ba5In2.1Al2Zr0.9O12.95106 ± 10.65 ± 0.010.36 ± 0.010.19 ± 0.01
Publisher’s Note: MDPI stays neutral with regard to jurisdictional claims in published maps and institutional affiliations.

Share and Cite

MDPI and ACS Style

Andreev, R.; Korona, D.; Anokhina, I.; Animitsa, I. Proton and Oxygen-Ion Conductivities of Hexagonal Perovskite Ba5In2Al2ZrO13. Materials 2022, 15, 3944. https://doi.org/10.3390/ma15113944

AMA Style

Andreev R, Korona D, Anokhina I, Animitsa I. Proton and Oxygen-Ion Conductivities of Hexagonal Perovskite Ba5In2Al2ZrO13. Materials. 2022; 15(11):3944. https://doi.org/10.3390/ma15113944

Chicago/Turabian Style

Andreev, Roman, Daniil Korona, Irina Anokhina, and Irina Animitsa. 2022. "Proton and Oxygen-Ion Conductivities of Hexagonal Perovskite Ba5In2Al2ZrO13" Materials 15, no. 11: 3944. https://doi.org/10.3390/ma15113944

APA Style

Andreev, R., Korona, D., Anokhina, I., & Animitsa, I. (2022). Proton and Oxygen-Ion Conductivities of Hexagonal Perovskite Ba5In2Al2ZrO13. Materials, 15(11), 3944. https://doi.org/10.3390/ma15113944

Note that from the first issue of 2016, this journal uses article numbers instead of page numbers. See further details here.

Article Metrics

Back to TopTop