Experimental and Numerical Study on the Penetration Performance of a Shaped Charge
Abstract
:1. Introduction
2. Structural Design
2.1. Warhead Structure Design
2.2. Target Equivalent Design
2.3. Equivalent Design of Control Cabin
3. Numerical Simulation Model
3.1. Numerical Algorithm
3.2. Finite Element Model and Parameters
3.3. Material model and Parameters
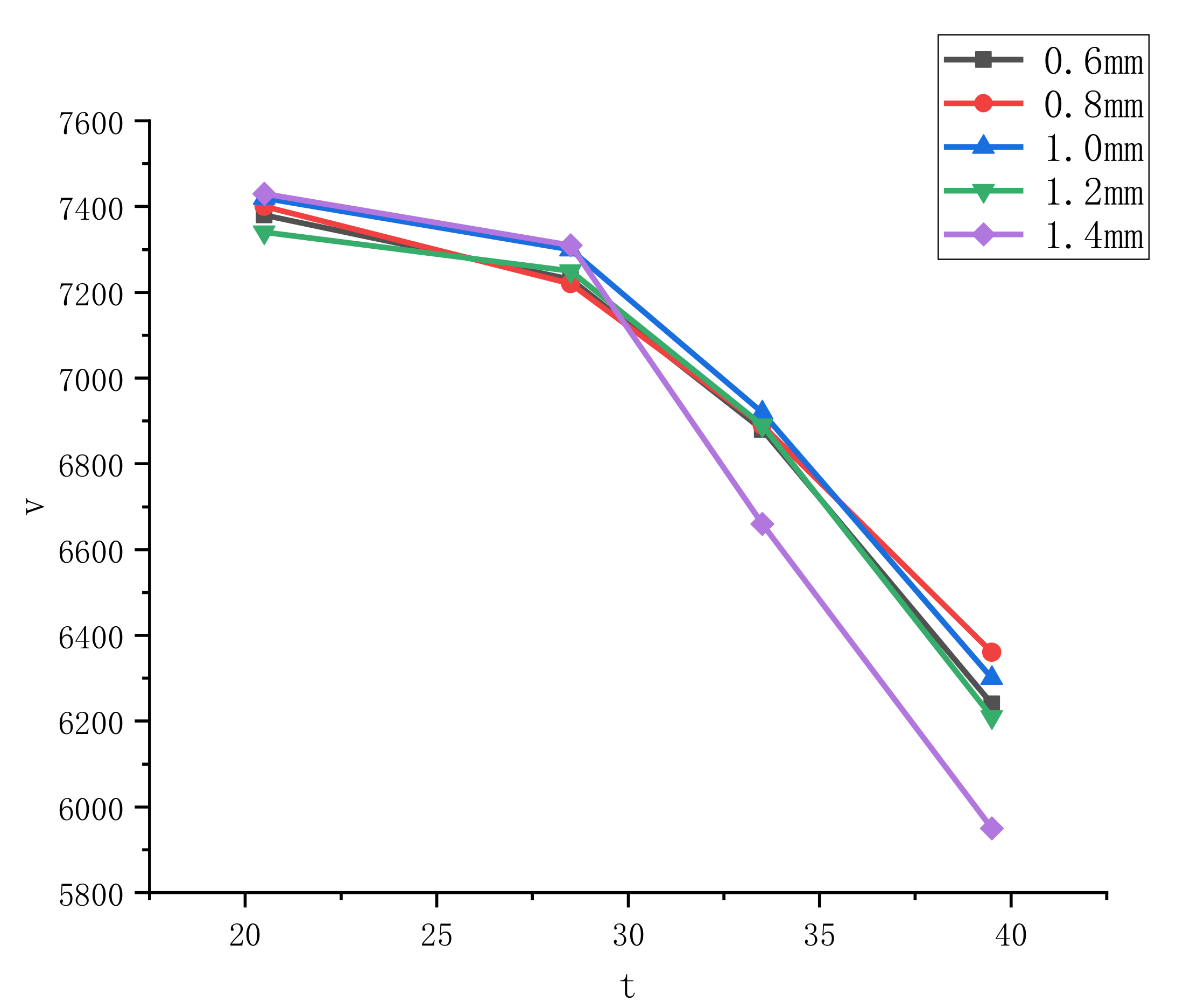
4. Numerical Simulation Results
5. Test Verification
5.1. Penetration Simulation Cabin and Target Plate Test
5.1.1. Test Setup
5.1.2. Test Result
5.2. M Maximum Penetration Depth Test of Shaped Charge Jet
5.2.1. Test Setup
5.2.2. Test Results
6. Discussion
6.1. Phenomenological Description of Jet Formation and Penetration
6.2. Analysis of Jet Formation
6.3. Analysis of the Jet’s Armor-Breaking Process
7. Conclusions
- (1)
- When the shaped energy jet warhead is located behind the control cabin, according to numerical simulation and experimental research, it can penetrate the control cabin and penetrate a 20 mm-thick Q235 steel plate at twice the blast height, indicating that the shaped energy jet has the ability to penetrate light armor after penetrating the control cabin.
- (2)
- If there is no control cabin, when the shaped charge jet warhead directly penetrates a Q235 steel plate at a blast height of 6× the diameter of the shaped charge cover, the maximum penetration depth is 80 mm, indicating that the shaped charge jet warhead has the ability to penetrate thick armor.
- (3)
- Through a combination of experiments and numerical simulation of a shaped charge jet in this work, the penetration process behavior of a shaped charge jet was analyzed theoretically. Considering the target strength and fracturing of the shaped charge jet, the penetration depth was more in line with the actual penetration process of shaped charge jets.
- (4)
- Through the combination of experiments and theory, the formation process of a shaped charge jet was analyzed and disassembled in detail, which provided detailed theoretical and experimental support for improving the performance of armor-breaking warheads in the future.
Author Contributions
Funding
Institutional Review Board Statement
Informed Consent Statement
Data Availability Statement
Conflicts of Interest
References
- Li, Y. Simulation Study on the Formation of Hypervelocity Shaped Jet; Anhui University of Technology: Maan, China, 2019. [Google Scholar]
- Wang, S.K.; Bei, J.F. Principle and Application of Shaped Charge; Ordnance Industry Press: Beijing, China, 1996. [Google Scholar]
- Lu, F.Y.; Li, X.Y.; Lin, Y.L. Structure and Principle of Warhead. Science Press: Beijing, China, 2009. [Google Scholar]
- Zhao, Z.; Jin, W.W. Finite element modeling of the shaped charge jet and design of the reusable perforating gun. Pet. Sci. 2020, 17, 1389–1399. [Google Scholar]
- Fan, Y.Q.; Wang, J.; Zhu, J.J. Jet formation and initiation study of double-layer shaped charge. J. Energetic Mater. 2021, 39, 170–181. [Google Scholar] [CrossRef]
- Chick, M.C.; Hatt, D.J. The initiation of covered composition B by a metal jet. Propellants Explos. Pyrotech. 1983, 8, 121–126. [Google Scholar] [CrossRef]
- Ding, L.L.; Tang, W.H.; Ran, X.W. Simulation study on jet formability and damage characteristics of a low-density material liner. Materials 2018, 11, 72. [Google Scholar] [CrossRef] [Green Version]
- Dou, J.; Jia, X.; Huang, Z.X.; Ma, B.; Zhang, H.; Cao, C.M. Theoretical study of the jet formation of a shaped charge liner driven by strong electromagnetic energy. IEEE Trans. Plasma Sci. 2019, 47, 5283–5290. [Google Scholar] [CrossRef]
- Zhang, X.F.; Huang, Z.X.; Qiao, L. Detonation wave propagation in double-layer cylindrical high explosive charges. Propellants Explos. Pyrotech. 2011, 36, 210–218. [Google Scholar] [CrossRef]
- Wang, Z.; Jiang, J.W.; Wang, S.Y.; Liu, H. Jet Formation and Penetration Study of Double-Layer Shaped Charge. J. Energetic Mater. 2018, 36, 152–168. [Google Scholar] [CrossRef]
- Mickovic’, D.; Jaramaz, S.; Elek, P.; Miloradović, N.; Jaramaz, D. A Model for Explosive Reactive Armor Interaction with Shaped Charge Jet. Propellants Explos. Pyrotech. 2016, 41, 53–61. [Google Scholar] [CrossRef]
- Yadav, H.S.; Kamat, P.V. Effect of Moving Plate on Jet-Penetration. Propellants Explos. Pyrotech. 1989, 14, 12–18. [Google Scholar] [CrossRef]
- Mayseless, M.; Marmor, E.; Gov, N.; Kivity, Y.; Falcovitz, D.; Tzur, D. Interaction of a Shaped Charge Jet with Reactive or Passive Cassettes. In Proceedings of the 14th International Symposium on Ballistics, Quebec City, QC, Canada, 26–29 September 1993; pp. 439–448. [Google Scholar]
- Mayseless, M. Reactive Armor–Simple Modeling. In Proceedings of the 25th International Symposium on Ballistics, Beijing, China, 17–21 May 2010; pp. 1554–1563. [Google Scholar]
- Li, X.D.; Yang, Y.S.; Lv, S.T. A Numerical Study on the Disturbance of Explosive Reactive Armors to Jet Penetration. Def. Technol. 2014, 10, 66–75. [Google Scholar] [CrossRef]
- Mayseless, M.; Asaf, Z. Jet Interaction with High Explosive Flow. In Proceedings of the 28th International Symposium on Ballistics, Atlanta, GA, USA; 2014; pp. 1064–1075. [Google Scholar]
- Elshenawy, T.; Elbeih, A.; Klapotke, T.M. A Numerical Method for the Determination of the Virtual Origin Point of Shaped Charge Jets Instead of Using Flash X-ray Radiography. J. Energetic Mater. 2018, 36, 127–140. [Google Scholar] [CrossRef]
- Chen, Q.Y.; Liu, K.X. A high-resolution Eulerian method for numerical simulation of shaped charge jet including solid–fluid coexistence and interaction. Comput. Fluids 2012, 56, 92–101. [Google Scholar] [CrossRef]
- Wojewodka, A.; Witkowskia, T. Methodology for simulation of the jet formation process in an elongated shaped charge. Combust. Explos. Shock. Waves 2014, 50, 362–367. [Google Scholar] [CrossRef]
- Liu, B.B.; Zheng, X.; Zu, X.D.; Xiao, Q.Q.; Jia, X. Spaced Armor Effects on Shaped Charge Jet Penetration. Propellants Explos. Pyrotech. 2015, 40, 127–132. [Google Scholar] [CrossRef]
- Wu, H.; Hu, F.; Fang, Q. A comparative study for the impact performance of shaped charge JET on UHPC targets. Def. Technol. 2019, 15, 506–518. [Google Scholar] [CrossRef]
- Wang, J.X.; Ding, J.; Zhao, H. Numerical Simulation on Jet Formation of Shaped Charge with Different Liner Materials. Def. Sci. J. 2015, 65, 279–286. [Google Scholar] [CrossRef]
- Yang, X.H.; Han, J.L.; Li, W.B. Design Method of Optimum Standoff for Bi-Conical Liner Shaped Charge Warhead. Trans. Beijing Inst. Technol. 2015, 35, 139–143. [Google Scholar]
- Lin, J.Q.; Zheng, Y.; Hao, Y.F.; Li, W.B.; Wang, X.M. Study on Impact Initiation of Cover Explosive by EFP at Different Explosion Height. Ordnance Ind. Autom. 2019, 38, 86–91. [Google Scholar]
- Gong, R.L. Numerical Simulation of Armor Piercing Projectile Penetrating Metal Target; Nanjing University of Technology: Nanjing, China, 2004. [Google Scholar]
- Liu, J.Y.; Dong, Y.X.; An, X.Y.; Ye, P.; Sun, Q.T.; Gao, Q. Reaction degree of composition B explosive with multi-layered compound structure protection subjected to detonation loading. Def. Technol. 2021, 17, 315–326. [Google Scholar] [CrossRef]
- Hobbs, M.L.; Kaneshige, M.J.; Erikson, W.W.; Brown, J.A.; Anderson, M.U.; Todd, S.N.; Moore, D.G. Cookoff modeling of a melt cast explosive (Comp-B). Def. Technol. 2020, 215, 36–50. [Google Scholar] [CrossRef]
- Żochowski, P.; Warchoł, R.; Miszczak, M.; Nita, M.; Pankowski, Z.; Bajkowski, M. Experimental and Numerical Study on the PG-7VM Warhead Performance against High-Hardness Armor Steel. Materials 2021, 14, 3020. [Google Scholar] [CrossRef]
- Zhao, Y. Study on the Technology of Shaped Charge Hood; Nanjing University of Technology: Nanjing, China, 2006. [Google Scholar]
- Pan, Y.X. Development of Large Aperture Perforating Charge; National University of Defense Technology: Beijing, China, 2002. [Google Scholar]
















| Materials | (g/cm3) | A (MPa) | B (MPa) | n | c | m | Tm (K) | Troom (K) | c0 (cm/μs) | S |
|---|---|---|---|---|---|---|---|---|---|---|
| Copper | 8.93 | 90 | 210 | 0.31 | 0.025 | 1.09 | 1356 | 293 | 0.39 | 1.49 |
| Material | (g/cm3) | E(GPa) | NUXY | Yield Stress (MPa) |
|---|---|---|---|---|
| Q235 steel | 7.8 | 50.9 | 0.3 | 355 |
| Aluminum | 2.7 | 71 | 0.33 | 90 |
| Nylon 66 plastic plate | 1.04 | 1.07 × 10−2 |
| Materials | (g/cm3) | D (cm/μs) | Pcj (GPa) | E (GPa) | A (GPa) | B (GPa) | R1 | R2 | ||
|---|---|---|---|---|---|---|---|---|---|---|
| Explosive | 1.717 | 0.798 | 29 | 8.5 | 524.2 | 7.678 | 4.2 | 1.10 | 0.34 | 1 |
Publisher’s Note: MDPI stays neutral with regard to jurisdictional claims in published maps and institutional affiliations. |
© 2022 by the authors. Licensee MDPI, Basel, Switzerland. This article is an open access article distributed under the terms and conditions of the Creative Commons Attribution (CC BY) license (https://creativecommons.org/licenses/by/4.0/).
Share and Cite
Du, Y.; He, G.; Li, W.; Wang, K. Experimental and Numerical Study on the Penetration Performance of a Shaped Charge. Materials 2022, 15, 3899. https://doi.org/10.3390/ma15113899
Du Y, He G, Li W, Wang K. Experimental and Numerical Study on the Penetration Performance of a Shaped Charge. Materials. 2022; 15(11):3899. https://doi.org/10.3390/ma15113899
Chicago/Turabian StyleDu, Yanan, Guanglin He, Weizhe Li, and Kaipeng Wang. 2022. "Experimental and Numerical Study on the Penetration Performance of a Shaped Charge" Materials 15, no. 11: 3899. https://doi.org/10.3390/ma15113899
APA StyleDu, Y., He, G., Li, W., & Wang, K. (2022). Experimental and Numerical Study on the Penetration Performance of a Shaped Charge. Materials, 15(11), 3899. https://doi.org/10.3390/ma15113899
