Comprehensive Self-Healing Evaluation of Asphalt Concrete Containing Encapsulated Rejuvenator
Abstract
:1. Introduction
2. Materials and Methods
2.1. Raw Materials
2.2. Capsules Preparation
2.3. Preparation of Asphalt Samples
2.4. Morphological Characterisation
2.5. Thermogravimetric Analysis
2.6. Compressive Load Measurement
2.7. Three-Point Bending Beam Test
2.8. Quantification of Oil Released
3. Results
3.1. Morphological Characteristics of Ca-Alginate Capsules
3.2. Thermal Stability Analysis
3.3. Compressive Load of Capsules before and after Ageing
3.4. Three-Point Bending Test
3.5. Oil Quantification Test
4. Conclusions
- The morphology of capsules was seen through optical microscopy, and it was found that capsules had multiple compartmentalised insides. Thus, their structure can be categorised as multi-cavity rather than the normal core–shell design. Capsules were subjected to thermogravimetric analysis to ensure the thermal stability of capsules. Results proved that all capsules could resist the mixing temperature of asphalt, and oil loss never exceeded 5% under 200 °C. Ca-alginate capsules showed good mechanical performance, with original capsules having the highest value of 17.5 N in comparison to 13.5 N of short-term aged (STA) capsules and 11.9 N for long-term aged (LTA) capsules.
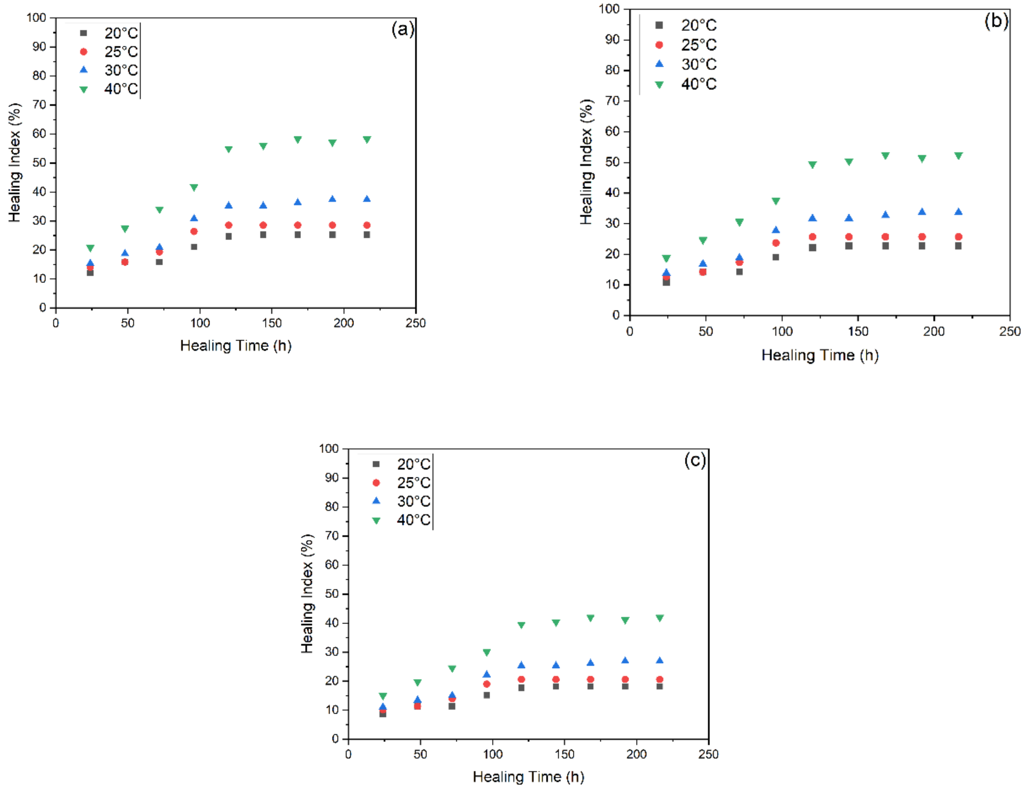
- Encapsulated beams showed superior performance in terms of healing than non-capsulated beams. The average healing levels for asphalt mixtures without capsules at 20 °C, 25 °C, 30 °C and 40 °C of capsules were 28.93%, 33.17%, 40.54% and 62.06% for unaged, 26.61%, 30.52%, 37.30% and 57.10% for STA and 21.82%, 25.02%, 30.58% and 46.82% for LTA samples, respectively. On the other hand, the average healing levels for asphalt mixtures with capsules at 20 °C, 25 °C, 30 °C and 40 °C of capsules were 28.93%, 33.17%, 40.54% and 62.06% for unaged, 26.61%, 30.52%, 37.30% and 57.10% for STA and 21.82%, 25.02%, 30.58% and 46.82% for LTA samples, respectively.
- The healing index of encapsulated beams of unaged, short-term aged, and long-term aged beams exceeded those of asphalt mixture beams without capsules. It was proven that higher temperature and higher healing time had a positive correlation to the healing index while ageing has negative correlation with the healing index. Thus, 120 h of healing time can be considered the best performing asphalt self-healing environment as a further increment in healing time resulted in the same healing index. Thus, embedded rejuvenators can successfully be used in asphalt pavements to improve crack healing performance.
- Before healing, the ROR of capsules for unaged asphalt mixture was 7.4%, 13.4% for short-term ageing treatment in loose asphalt mixtures and 22.1% for long-term ageing. FTIR test confirmed the release of oil during the three-point bending beam test as the average ROR for asphalt mixtures with capsules at 20 °C, 25 °C, 30 °C and 40 °C of capsules were 36.43%, 41.54%, 47.13% and 53.27% for unaged, 41.22%, 46.35%, 53.78% and 58.41% for STA and 48.67%, 54.65%, 62.39% and 71.22% for LTA samples, respectively.
Author Contributions
Funding
Institutional Review Board Statement
Informed Consent Statement
Data Availability Statement
Acknowledgments
Conflicts of Interest
References
- Mahrez, A.; Karim, M.R.; Ibrahim, M.R.; Katman, H.Y. Prospects of Using Waste Cooking Oil as Rejuvenating Agent in Bituminous Binder. Proc. East. Asia Soc. Transp. Stud. 2009, 7, 289. [Google Scholar] [CrossRef]
- Qiu, J. Self Healing of Asphalt Mixtures: Towards a Better Understanding of the Mechanism. 2012. Available online: https://www.narcis.nl/publication/RecordID/oai:tudelft.nl:uuid:476803db-e4aa-4dcf-926a-df9980a96ba2 (accessed on 10 April 2022).
- Phillips, M.C. Multi-Step Models for Fatigue and Healing, and Binder Properties Involved in Healing. In Proceedings of the Eurobitume Workshop on Performance Related Properties for Bituminous Binders, Luxembourg, 3–6 May 1999. [Google Scholar]
- Airey, G.D. State of the Art Report on Ageing Test Methods for Bituminous Pavement Materials. Int. J. Pavement Eng. 2003, 4, 165–176. [Google Scholar] [CrossRef]
- García, Á.; Schlangen, E.; van de Ven, M. Properties of capsules containing rejuvenators for their use in asphalt concrete. Fuel 2011, 90, 583–591. [Google Scholar] [CrossRef]
- Mitchell, D.; Chiu, C.-T.; Lee, M.-G. Effectiveness of Seal Rejuvenators for Bituminous Pavement Surfaces. J. Test. Eval. 2006, 34, 390–394. [Google Scholar] [CrossRef]
- Xu, S.; Liu, X.; Tabaković, A.; Lin, P.; Zhang, Y.; Nahar, S.; Lommerts, B.J.; Schlangen, E. The role of rejuvenators in embedded damage healing for asphalt pavement. Mater. Des. 2021, 202, 109564. [Google Scholar] [CrossRef]
- Zargar, M.; Ahmadinia, E.; Asli, H.; Karim, M.R. Investigation of the possibility of using waste cooking oil as a rejuvenating agent for aged bitumen. J. Hazard. Mater. 2012, 233–234, 254–258. [Google Scholar] [CrossRef]
- Boyer, R.E.; Engineer, P. Asphalt rejuvenators fact, or fable. Transp. Syst. 2000, 58, 11. [Google Scholar]
- Zhang, D.; Chen, M.; Wu, S.; Liu, J.; Amirkhanian, S. Analysis of the Relationships between Waste Cooking Oil Qualities and Rejuvenated Asphalt Properties. Materials 2017, 10, 508. [Google Scholar] [CrossRef]
- Jalkh, R.; El-Rassy, H.; Chehab, G.R.; Abiad, M.G. Assessment of the Physico-Chemical Properties of Waste Cooking Oil and Spent Coffee Grounds Oil for Potential Use as Asphalt Binder Rejuvenators. Waste Biomass Valoriz. 2017, 9, 2125–2132. [Google Scholar] [CrossRef]
- Kuang, D.; Jiao, Y.; Ye, Z.; Lu, Z.; Chen, H.; Yu, J.; Liu, N. Diffusibility Enhancement of Rejuvenator by Epoxidized Soybean Oil and Its Influence on the Performance of Recycled Hot Mix Asphalt Mixtures. Materials 2018, 11, 833. [Google Scholar] [CrossRef] [Green Version]
- Saha, R.; Melaku, R.S.; Karki, B.; Berg, A.; Gedafa, D.S. Effect of Bio-Oils on Binder and Mix Properties with High RAP Binder Content. J. Mater. Civ. Eng. 2020, 32, 04020007. [Google Scholar] [CrossRef]
- Cao, Z.; Chen, M.; Liu, Z.; He, B.; Yu, J.; Xue, L. Effect of different rejuvenators on the rheological properties of aged SBS modified bitumen in long term aging. Constr. Build. Mater. 2019, 215, 709–717. [Google Scholar] [CrossRef]
- Ji, J.; Yao, H.; Suo, Z.; You, Z.; Li, H.; Xu, S.; Sun, L. Effectiveness of Vegetable Oils as Rejuvenators for Aged Asphalt Binders. J. Mater. Civ. Eng. 2017, 29, D4016003. [Google Scholar] [CrossRef]
- Pradhan, S.K.; Sahoo, U.C. Evaluation of recycled asphalt mixtures rejuvenated with Madhuca longifolia (Mahua) oil. Int. J. Pavement Res. Technol. 2020, 14, 43–53. [Google Scholar] [CrossRef]
- Shirzad, S.; Hassan, M.M.; Aguirre, M.A.; Mohammad, L.N.; Daly, W.H. Evaluation of Sunflower Oil as a Rejuvenator and Its Microencapsulation as a Healing Agent. J. Mater. Civ. Eng. 2016, 28, 04016116. [Google Scholar] [CrossRef]
- Nciri, N.; Kim, J.H.; Kim, N.H.; Cho, N.J. Investigation on the Chemical and Physical Properties of Vegetable Oil-Based Polyols for their Potential Application as Asphalt Rejuvenators. Key Eng. Mater. 2016, 723, 556–566. [Google Scholar] [CrossRef]
- Garcia, A.; Austin, C.J.; Jelfs, J. Mechanical properties of asphalt mixture containing sunflower oil capsules. J. Clean. Prod. 2016, 118, 124–132. [Google Scholar] [CrossRef]
- Shirzad, S.; Hassan, M.M.; Aguirre, M.A.; Mohammad, L.N.; Cooper, S.; Negulescu, I.I. Microencapsulated Sunflower Oil for Rejuvenation and Healing of Asphalt Mixtures. J. Mater. Civ. Eng. 2017, 29, 04017147. [Google Scholar] [CrossRef]
- Mirhosseini, A.F.; Tahami, S.A.; Hoff, I.; Dessouky, S.; Ho, C.-H. Performance evaluation of asphalt mixtures containing high-RAP binder content and bio-oil rejuvenator. Constr. Build. Mater. 2019, 227, 116465. [Google Scholar] [CrossRef]
- Chen, M.; Leng, B.; Wu, S.; Sang, Y. Physical, chemical and rheological properties of waste edible vegetable oil rejuvenated asphalt binders. Constr. Build. Mater. 2014, 66, 286–298. [Google Scholar] [CrossRef]
- Zahoor, M.; Nizamuddin, S.; Madapusi, S.; Giustozzi, F. Sustainable asphalt rejuvenation using waste cooking oil: A comprehensive review. J. Clean. Prod. 2021, 278, 123304. [Google Scholar] [CrossRef]
- Ahmed, R.B.; Hossain, K. Waste cooking oil as an asphalt rejuvenator: A state-of-the-art review. Constr. Build. Mater. 2020, 230, 116985. [Google Scholar] [CrossRef]
- Eriskin, E.; Karahancer, S.; Terzi, S.; Saltan, M. Waste frying oil modified bitumen usage for sustainable hot mix asphalt pavement. Arch. Civ. Mech. Eng. 2017, 17, 863–870. [Google Scholar] [CrossRef]
- García, A.; Schlangen, E.; van de Ven, M.; Sierra-Beltrán, G. Preparation of capsules containing rejuvenators for their use in asphalt concrete. J. Hazard. Mater. 2010, 184, 603–611. [Google Scholar] [CrossRef]
- Apostolidis, P.; Liu, X.; Scarpas, A.; Kasbergen, C.; van de Ven, M. Advanced evaluation of asphalt mortar for induction healing purposes. Constr. Build. Mater. 2016, 126, 9–25. [Google Scholar] [CrossRef] [Green Version]
- Menozzi, A.; Garcia, A.; Partl, M.N.; Tebaldi, G.; Schuetz, P. Induction healing of fatigue damage in asphalt test samples. Constr. Build. Mater. 2015, 74, 162–168. [Google Scholar] [CrossRef]
- Zhang, L.; Liu, Q.; Li, H.; Norambuena-Contreras, J.; Wu, S.; Bao, S.; Shu, B. Synthesis and characterization of multi-cavity Ca-alginate capsules used for self-healing in asphalt mixtures. Constr. Build. Mater. 2019, 211, 298–307. [Google Scholar] [CrossRef]
- Norambuena-Contreras, J.; Arteaga-Perez, L.E.; Guadarrama-Lezama, A.Y.; Briones, R.; Vivanco, J.F.; Gonzalez-Torre, I. Microencapsulated Bio-Based Rejuvenators for the Self-Healing of Bituminous Materials. Materials 2020, 13, 1446. [Google Scholar] [CrossRef] [Green Version]
- Liang, B.; Lan, F.; Shi, K.; Qian, G.; Liu, Z.; Zheng, J. Review on the self-healing of asphalt materials: Mechanism, affecting factors, assessments and improvements. Constr. Build. Mater. 2020, 266, 120453. [Google Scholar] [CrossRef]
- Sun, D.; Sun, G.; Zhu, X.; Guarin, A.; Li, B.; Dai, Z.; Ling, J. A comprehensive review on self-healing of asphalt materials: Mechanism, model, characterization and enhancement. Adv. Colloid Interface Sci. 2018, 256, 65–93. [Google Scholar] [CrossRef]
- Sun, D.; Hu, J.; Zhu, X. Size optimization and self-healing evaluation of microcapsules in asphalt binder. Colloid Polym. Sci. 2015, 293, 3505–3516. [Google Scholar] [CrossRef]
- Sun, D.; Pang, Q.; Zhu, X.; Tian, Y.; Lu, T.; Yang, Y. Enhanced Self-Healing Process of Sustainable Asphalt Materials Containing Microcapsules. ACS Sustain. Chem. Eng. 2017, 5, 9881–9893. [Google Scholar] [CrossRef]
- Sun, D.; Li, B.; Ye, F.; Zhu, X.; Lu, T.; Tian, Y. Fatigue behavior of microcapsule-induced self-healing asphalt concrete. J. Clean. Prod. 2018, 188, 466–476. [Google Scholar] [CrossRef]
- Su, J.-F.; Schlangen, E. Synthesis and physicochemical properties of high compact microcapsules containing rejuvenator applied in asphalt. Chem. Eng. J. 2012, 198-199, 289–300. [Google Scholar] [CrossRef]
- Tabaković, A.; Schuyffel, L.; Karač, A.; Schlangen, E. An Evaluation of the Efficiency of Compartmented Alginate Fibres Encapsulating a Rejuvenator as an Asphalt Pavement Healing System. Appl. Sci. 2017, 7, 647. [Google Scholar] [CrossRef] [Green Version]
- Tabaković, A.; Braak, D.; van Gerwen, M.; Copuroglu, O.; Post, W.; Garcia, S.J.; Schlangen, E. The compartmented alginate fibres optimisation for bitumen rejuvenator encapsulation. J. Traffic Transp. Eng. Engl. Ed. 2017, 4, 347–359. [Google Scholar] [CrossRef]
- Tabaković, A.; Post, W.; Cantero, D.; Copuroglu, O.; Garcia, S.; Schlangen, E. The reinforcement and healing of asphalt mastic mixtures by rejuvenator encapsulation in alginate compartmented fibres. Smart Mater. Struct. 2016, 25, 084003. [Google Scholar] [CrossRef] [Green Version]
- Shu, B.; Wu, S.; Dong, L.; Wang, Q.; Liu, Q. Microfluidic Synthesis of Ca-Alginate Microcapsules for Self-Healing of Bituminous Binder. Materials 2018, 11, 630. [Google Scholar] [CrossRef] [Green Version]
- Aguirre, M.A.; Hassan, M.M.; Shirzad, S.; Mohammad, L.N.; Cooper, S.; Negulescu, I. Evaluation of hollow-fibers encapsulating a rejuvenator in asphalt binders with recycled asphalt shingles. Int. J. Pavement Res. Technol. 2019, 13, 108–119. [Google Scholar] [CrossRef]
- Al-Mansoori, T.; Micaelo, R.; Artamendi, I.; Norambuena-Contreras, J.; Garcia, A. Microcapsules for self-healing of asphalt mixture without compromising mechanical performance. Constr. Build. Mater. 2017, 155, 1091–1100. [Google Scholar] [CrossRef]
- Micaelo, R.; Al-Mansoori, T.; Garcia, A. Study of the mechanical properties and self-healing ability of asphalt mixture containing calcium-alginate capsules. Constr. Build. Mater. 2016, 123, 734–744. [Google Scholar] [CrossRef]
- Norambuena-Contreras, J.; Concha, J.L.; Arteaga-Pérez, L.E.; Gonzalez-Torre, I. Synthesis and Characterisation of Alginate-Based Capsules Containing Waste Cooking Oil for Asphalt Self-Healing. Appl. Sci. 2022, 12, 2739. [Google Scholar] [CrossRef]
- Xu, S.; Tabaković, A.; Liu, X.; Palin, D.; Schlangen, E. Optimization of the Calcium Alginate Capsules for Self-Healing Asphalt. Appl. Sci. 2019, 9, 468. [Google Scholar] [CrossRef] [Green Version]
- Norambuena-Contreras, J.; Liu, Q.; Zhang, L.; Wu, S.; Yalcin, E.; Garcia, A. Influence of encapsulated sunflower oil on the mechanical and self-healing properties of dense-graded asphalt mixtures. Mater. Struct. 2019, 52, 78. [Google Scholar] [CrossRef] [Green Version]
- Yao, H.; Dai, Q.; You, Z. Fourier Transform Infrared Spectroscopy characterization of aging-related properties of original and nano-modified asphalt binders. Constr. Build. Mater. 2015, 101, 1078–1087. [Google Scholar] [CrossRef]
- Omairey, E.L.; Gu, F.; Zhang, Y. An equation-based multiphysics modelling framework for oxidative ageing of asphalt pavements. J. Clean. Prod. 2020, 280, 124401. [Google Scholar] [CrossRef]
- Das, P.K.; Balieu, R.; Kringos, N.; Birgisson, B. On the oxidative ageing mechanism and its effect on asphalt mixtures morphology. Mater. Struct. 2014, 48, 3113–3127. [Google Scholar] [CrossRef]
- Petersen, J.C. A Review of the Fundamentals of Asphalt Oxidation: Chemical, Physicochemical, Physical Property, and Durability Relationships; Transportation Research Board: Washington, DC, USA, 2009. [Google Scholar]
- Hartman, A.M.; Gilchrist, M. Evaluating Four-Point Bend Fatigue of Asphalt Mix Using Image Analysis. J. Mater. Civ. Eng. 2004, 16, 60–68. [Google Scholar] [CrossRef]
- Barrasa, R.C.; López, V.B.; Montoliu, C.M.-P.; Ibáñez, V.C.; Pedrajas, J.; Santarén, J. Addressing Durability of Asphalt Concrete by Self-healing Mechanism. Proced. Soc. Behav. Sci. 2014, 162, 188–197. [Google Scholar] [CrossRef] [Green Version]
- Yin, F.; Arámbula-Mercado, E.; Martin, A.E.; Newcomb, D.; Tran, N. Long-term ageing of asphalt mixtures. Road Mater. Pavement Des. 2017, 18, 2–27. [Google Scholar] [CrossRef]
- Yamaç, E.; Yilmaz, M.; Yalçın, E.; Kök, B.V.; Norambuena-Contreras, J.; Garcia, A. Self-healing of asphalt mastic using capsules containing waste oils. Constr. Build. Mater. 2020, 270, 121417. [Google Scholar] [CrossRef]
- Gonzalez-Torre, I.; Norambuena-Contreras, J. Recent advances on self-healing of bituminous materials by the action of encapsulated rejuvenators. Constr. Build. Mater. 2020, 258, 119568. [Google Scholar] [CrossRef]















| Sieve Diameter (mm) | NHA B Lower Limit (%) | NHA Upper Limit (%) | Size Chosen (%) |
|---|---|---|---|
| 19 | 100 | 62 | 100 |
| 12.5 | 75 | 90 | 82.5 |
| 9.5 | 60 | 80 | 70 |
| 4.75 | 40 | 60 | 50 |
| 2.38 | 20 | 40 | 30 |
| 1.18 | 5 | 15 | 10 |
| 0.075 | 3 | 8 | 5.5 |
| Viscosity (Pa·s (60 °C)) | Flash Point (°C) | Saturates (%) | Aromatics (%) | Density g/cm3 (15 °C) |
|---|---|---|---|---|
| 0.282 | 225 | 61.4 | 38.6 | 0.933 |
Publisher’s Note: MDPI stays neutral with regard to jurisdictional claims in published maps and institutional affiliations. |
© 2022 by the authors. Licensee MDPI, Basel, Switzerland. This article is an open access article distributed under the terms and conditions of the Creative Commons Attribution (CC BY) license (https://creativecommons.org/licenses/by/4.0/).
Share and Cite
Abadeen, A.Z.U.; Hussain, A.; Sathish Kumar, V.; Murali, G.; Vatin, N.I.; Riaz, H. Comprehensive Self-Healing Evaluation of Asphalt Concrete Containing Encapsulated Rejuvenator. Materials 2022, 15, 3672. https://doi.org/10.3390/ma15103672
Abadeen AZU, Hussain A, Sathish Kumar V, Murali G, Vatin NI, Riaz H. Comprehensive Self-Healing Evaluation of Asphalt Concrete Containing Encapsulated Rejuvenator. Materials. 2022; 15(10):3672. https://doi.org/10.3390/ma15103672
Chicago/Turabian StyleAbadeen, Ali Zain Ul, Arshad Hussain, Veerappan Sathish Kumar, Gunasekaran Murali, Nikolai Ivanovich Vatin, and Hassan Riaz. 2022. "Comprehensive Self-Healing Evaluation of Asphalt Concrete Containing Encapsulated Rejuvenator" Materials 15, no. 10: 3672. https://doi.org/10.3390/ma15103672
APA StyleAbadeen, A. Z. U., Hussain, A., Sathish Kumar, V., Murali, G., Vatin, N. I., & Riaz, H. (2022). Comprehensive Self-Healing Evaluation of Asphalt Concrete Containing Encapsulated Rejuvenator. Materials, 15(10), 3672. https://doi.org/10.3390/ma15103672

