Removal of Organic Dyes from Aqueous Solutions by Activated Carbons Prepared from Residue of Supercritical Extraction of Marigold
Abstract
1. Introduction
2. Materials and Methods
2.1. Chemicals Reagents
2.2. Preparation of Activated Carbons
2.3. Adsorption of Dyes
2.4. Adsorption Isotherms
2.5. Adsorption Modeling
3. Results and Discussion
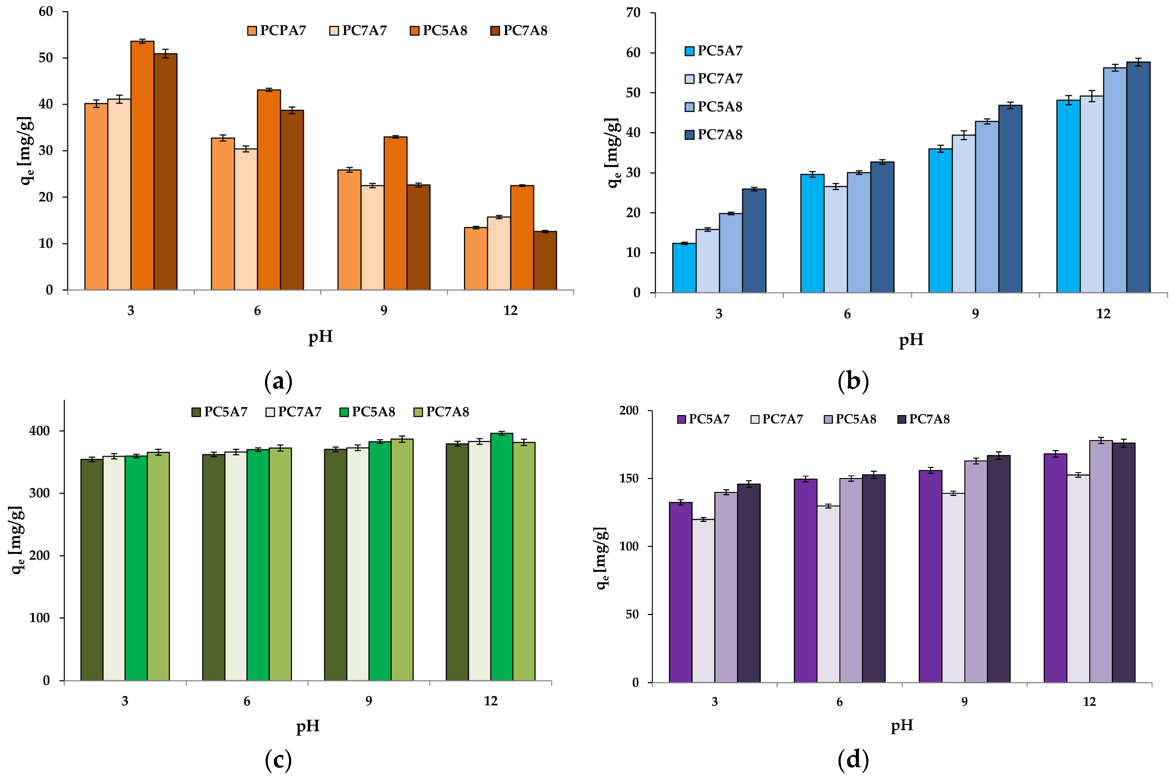
3.1. Adsorption of Dyes on the Activated Carbons
3.2. The Effect of Physicochemical Properties on the Adsorption of Organic Dyes
4. Conclusions and Future Perspectives
Author Contributions
Funding
Institutional Review Board Statement
Informed Consent Statement
Data Availability Statement
Conflicts of Interest
References
- Issakhov, A.; Alimbek, A.; Zhandaulet, Y. The assessment of water pollution by chemical reaction products from the activities of industrial facilities: Numerical study. J. Clean. Prod. 2021, 282, 125239. [Google Scholar] [CrossRef]
- Eyvaz, M.; Yuksel, E. Water Chemistry; Intech Open: London, UK, 2020. [Google Scholar]
- Melnyk, I.V.; Tomina, V.V.; Stolyarchuk, N.V.; Seisenbaeva, G.A.; Kessler, V.G. Organic dyes (acid red, fluorescein, methylene blue) and copper(II) adsorption on amino silica spherical particles with tailored surface hydrophobicity and porosity. J. Mol. Liq. 2021, 336, 116301. [Google Scholar] [CrossRef]
- Dawadi, K.B.; Bhattara, M.; Lal Homaga, P. Adsorptive Removal of Methyl Red from Aqueous Solution using Charred and Xanthated Sal (Shorearobusta) Sawdust. Amrit. Res. J. 2020, 1, 37–44. [Google Scholar] [CrossRef]
- Ahmad, A.; Setapar, S.; Yaqoob, A.; Ibrahim, M. Synthesis and characterization of GO-Ag nanocomposite for removal of malachite dye from aqueous solution. Mater. Today Proc. 2021, 47, 1359–1365. [Google Scholar] [CrossRef]
- Xiao, X.; Chen, C.; Deng, J.; Wu, J.; He, K.; Xiang, Z.; Yang, Y. Analysis of trace malachite green, crystal violet, and their metabolites in zebrafish by surface-coated probe nanoelectrospray ionization mass spectrometry. Talanta 2020, 217, 121064. [Google Scholar] [CrossRef] [PubMed]
- Song, J.; Huang, Z.; Gamal El-Din, M. Adsorption of metals in oil sands process water by a biochar/iron oxide composite: Influence of the composite structure and surface functional groups. Chem. Eng. J. 2021, 421, 129937. [Google Scholar] [CrossRef]
- Gutiérrez-González, D.; Urrea-García, G.; Luna-Solano, G.; Cantú-Lozano, D.; Gómez-Rodriguez, J. Numerical solution of adsorption cycle in ethanol dehydration process. Procedia Manuf. 2020, 49, 32–37. [Google Scholar] [CrossRef]
- Bazan-Wozniak, A.; Nowicki, P.; Pietrzak, R. Removal of NO2 from gas stream by activated bio-carbons from physical activation of residue of supercritical extraction of hops. Chem. Eng. Res. Des. 2021, 166, 667–673. [Google Scholar] [CrossRef]
- Yaqoob, A.A.; Ibrahim, M.N.M.; Ahmad, A.; Reddy, A.V.B. Toxicology and Environmental Application of Carbon Nanocomposite. In Environmental Remediation through Carbon Based Nano Composites; Springer: Berlin/Heidelberg, Germany, 2021; pp. 1–18. [Google Scholar]
- Chen, Y.; An, D.; Sun, S.; Gao, J.; Qian, L. Reduction and Removal of Chromium VI in Water by Powdered Activated Carbon. Materials 2018, 11, 269. [Google Scholar] [CrossRef]
- Müller, B.R. Preparation and characterization of K2CO3-doped powdered activated carbon for effective in-vitro adsorption of deoxynivalenol. Bioresour. Technol. Res. 2021, 15, 1000703. [Google Scholar] [CrossRef]
- Nowicki, P. The effect of mineral matter on the physicochemical and sorption properties of brown coal-based activated carbons. Adsorption 2016, 22, 561–569. [Google Scholar] [CrossRef]
- Ghouma, I.; Jeguirim, M.; Limousy, L.; Bader, N.; Ouederni, A.; Bennici, S. Factors Influencing NO2 Adsorption/Reduction on Microporous Activated Carbon: Porosity vs. Surface Chemistry. Materials 2018, 11, 622. [Google Scholar] [CrossRef] [PubMed]
- Bazan-Wozniak, A.; Nowicki, P.; Pietrzak, R. The influence of activation procedure on the physicochemical and sorption properties of activated carbons prepared from pistachio nutshells for removal of NO2/H2S gases and dyes. J. Clean. Prod. 2017, 152, 211–222. [Google Scholar] [CrossRef]
- Bazan-Wozniak, A.; Pietrzak, R. Adsorption of organic and inorganic pollutants on activated bio-carbons prepared by chemical activation of residues of supercritical extraction of raw plants. Chem. Eng. J. 2020, 393, 124785. [Google Scholar] [CrossRef]
- Gallo, M.; Formato, A.; Ianniello, D.; Andolfi, A.; Conte, E.; Ciaravolo, M.; Varchetta, V.; Naviglio, D. Supercritical fluid extraction of pyrethrins from pyrethrum flowers (Chrysanthemum cinerariifolium) compared to traditional maceration and cyclic pressurization extraction. J. Supercrit. Fluids 2017, 119, 104–112. [Google Scholar] [CrossRef]
- Sodeifian, G.; Sajadian, S.A.; Ardestani, N.S. Supercritical fluid extraction of omega-3 from Dracocephalumkotschyi seed oil: Process optimization and oil properties. J. Supercrit. Fluids 2017, 119, 139–149. [Google Scholar] [CrossRef]
- Bazan, A.; Nowicki, P.; Pietrzak, R. Production of new activated bio-carbons by chemical activation of residue left after supercritical extraction of hops. Environ. Res. 2018, 161, 456–463. [Google Scholar] [CrossRef]
- Bazan, A.; Nowicki, P.; Wolski, R.; Pietrzak, R. Activated bio-carbons prepared from the residue of supercritical extraction of raw plants and their application for removal of nitrogen dioxide and hydrogen sulfide from the gas phase. Materials 2021, 14, 3192. [Google Scholar] [CrossRef]
- Bazan, A.; Nowicki, P.; Pietrzak, R. Removal of NO2 by carbonaceous adsorbents obtained from residue after supercritical extraction of marigold. Adsorption 2016, 22, 465–471. [Google Scholar] [CrossRef][Green Version]
- Arenas, R.L.; Gentile, S.R.; Zimmermann, S.; Stoll, S. Nanoplastics adsorption and removal efficiency by granular activated carbon used in drinking water treatment process. Sci. Total Environ. 2021, 791, 148175. [Google Scholar] [CrossRef]
- Langmuir, I. The adsorption of gases on plane surfaces of glass, mica and platinum. J. Am. Chem. Soc. 1918, 40, 1361–1403. [Google Scholar] [CrossRef]
- Freundlich, H.M.F. Over the Adsorption in Solution. J. Phys. Chem. 1906, 57, 385–470. [Google Scholar]
- Oyekanmi, A.A.; Ahmad, A.; MohdSetapar, S.H.; Alshammari, M.B.; Jawaid, M.; Hanafiah, M.M.; Abdul Khalil, H.P.S.; Vaseashta, A. Sustainable duriozibethinus-derived biosorbents for Congo red removal from aqueous solution: Statistical optimization, isotherms and mechanism studies. Sustainability 2021, 13, 13264. [Google Scholar] [CrossRef]
- Ali Khan, M.; Govindasamy, R.; Ahmad, A.; Siddiqui, M.R.; Alshareef, S.A.; Hakami, A.A.H.; Rafatullah, M. Carbon based polymeric nanocomposites for dye adsorption: Synthesis, characterization, and application. Polymers 2021, 13, 419. [Google Scholar] [CrossRef] [PubMed]
- Bazan, A.; Nowicki, P.; Pietrzak, R. Removal of NO2 by adsorbents made of a residue from supercritical extraction of chamomile. Przem. Chem. 2016, 95, 856–860. [Google Scholar] [CrossRef]
- Thue, P.S.; Lima, E.C.; Sieliechi, J.M.; Saucier, C.; Silvio, L.; Dias, S.L.P.; Vaghetti, J.C.P.; Rodembusch, F.S.; Pavanc, F.A. Effects of first-row transition metals and impregnation ratios on the physicochemical properties of microwave-assisted activated carbons from wood biomass. J. Colloid Interface Sci. 2017, 486, 163–175. [Google Scholar] [CrossRef]
- Mohamed, M.; Daouda, A.; Akowanou, A.V.O.; Mahunon, S.E.R.; Adjinda, C.K.; Aina, M.P.; Drogui, P. Optimal removal of diclofenac and amoxicillin by activated carbon prepared from coconut shell through response surface methodology. S. Afr. J. Chem. Eng. 2021, 38, 78–79. [Google Scholar] [CrossRef]
- Bagheri, N.; Aghaeia, A.; Vlachopoulos, N.; Skunik-Nuckowsk, M.; Kulesza, P.J.; Häggman, L.; Boschloo, G.; Hagfeldt, A. Physicochemical identity and charge storage properties of battery-type nickel oxide material and its composites with activated carbon. Electrochim. Acta 2016, 194, 480–488. [Google Scholar] [CrossRef]
- Hazza, R.; Hussein, M. Adsorption of cationic dye from aqueous solution onto activated carbon prepared from olive stones. Environ. Technol. Innov. 2015, 4, 36–51. [Google Scholar] [CrossRef]
- Shariati-Rad, M.; Irandoust, M.; Amri, S.; Feyzi, M.; Ja’fari, F. Removal, preconcentration and determination of methyl red in water samples using silica coated magnetic nanoparticles. J. Appl. Res. Water Wastewater 2014, 1, 6–12. [Google Scholar]
- Isiuku, O.; Horsfall, M.H.; Spiff, A.I. Removal of methyl red from aqueous solution by NaOH-activated cassava peels carbon in a fixed-bed column. Res. J. Appl. Sci. 2014, 9, 238–243. [Google Scholar] [CrossRef]
- Minisy, I.M.; Salahuddin, N.A.; Ayad, M.M. Adsorption of methylene blue onto chitosan–montmorillonite/polyaniline nanocomposite. Appl. Clay Sci. 2021, 203, 105993. [Google Scholar] [CrossRef]
- Nowicki, P.; Bazan, A.; Kazmierczak-Razna, J.; Pietrzak, R. Sorption properties of carbonaceous adsorbents obtained by pyrolysis and activation of pistachio nut shells. Adsorpt. Sci. Technol. 2015, 33, 581–586. [Google Scholar] [CrossRef]
- Chinthalapudi, N.; Kommaraju, V.V.D.; Kannan, M.K.; Nalluri, C.B.; Varanasi, S. Composites of cellulose nanofibers and silver nanoparticles for malachite green dye removal from water. Carbohydr. Polym. Technol. Appl. 2021, 2, 100098. [Google Scholar] [CrossRef]
- Hijab, M.; Parthasarathy, P.; Mackey, H.R.; Al-Ansari, T.; McKay, G. Minimizing adsorbent requirements using multi-stage batch adsorption for malachite green removal using microwave date-stone activated carbons. Chem. Eng. Process. 2021, 167, 108318. [Google Scholar] [CrossRef]
- Rout, D.R.; Jena, H.M. Removal of malachite green dye from aqueous solution using reduced graphene oxide as an adsorbent. Mater. Today Proc. 2021, 47, 1173–1182. [Google Scholar] [CrossRef]
- Rezazadeh, M.; Baghdadi, M.; Mehrdadi, N.; Abdoli, M.A. Adsorption of crystal violet dye by agricultural rice bran waste: Isotherms, kinetics, modeling and influencing factors. Environ. Eng. Res. 2021, 26, 200128. [Google Scholar] [CrossRef]
- Vithalkar, S.H.; Jugade, R.M. Adsorptive removal of crystal violet from aqueous solution by cross-linked chitosan coated bentonite. Mater. Today Proc. 2020, 29, 1025–1032. [Google Scholar] [CrossRef]















| Sample | Surface Area [m2/g] | Pore Volume [cm3/g] | Pore Size [nm] | References |
|---|---|---|---|---|
| PC5A7 | 2 | 0.007 | 31.78 | [21], this study |
| PC7A7 | 4 | 0.009 | 17.71 | [21], this study |
| PC5A8 | 206 | 0.118 | 3.79 | [21], this study |
| PC7A8 | 125 | 0.079 | 3.63 | [21], this study |
| chamomile | 64 | 0.060 | 3.71 | [27] |
| hops | 75 | 0.040 | 11.74 | [9] |
| Sapelli sawdust | 300 | 0.166 | 2.2 | [28] |
| coconut shell | 437 | 0.21 | 3.53 | [29] |
| Norit® SX ULTRA | 1092 | 1.05 | 4.4 | [30] |
| Dye | C0 [mg/L] | R [%] | qe [mg/g] | Langmuir | Freundlich | Temkin | |||||||
|---|---|---|---|---|---|---|---|---|---|---|---|---|---|
| R2 | qmax [mg/g] | KL [L/mg] | RL | R2 | KF [mg/g(L/mg)1/n] | n | AT [L/mg] | B | R2 | ||||
| MR | 5–35 | 100–71 | 48.95 ± 1.00 | 0.9903 | 49.02 | 0.043 | 0.82–0.39 | 0.9753 | 27.06 | 3.7175 | 2.71 | 15.63 | 0.7608 |
| MB | 5–40 | 100–73 | 56.36 ± 1.38 | 0.9938 | 56.82 | 0.072 | 0.74–0.29 | 0.9963 | 38.36 | 5.7670 | 1.43 | 7.62 | 0.9131 |
| MG | 5–260 | 100–97 | 495.04 ± 5.00 | 0.9673 | 526.32 | 0.002 | 0.58–0.32 | 0.8547 | 262.24 | 24.5700 | 7.61 | 121.37 | 0.9550 |
| CR | 5–100 | 100–90 | 180.68 ± 0.69 | 0.9871 | 181.82 | 0.013 | 0.80–0.57 | 0.9753 | 111.87 | 4.6707 | 5.81 | 45.77 | 0.5989 |
| Dye | C0 [mg/L] | R [%] | qe [mg/g] | Langmuir | Freundlich | Temkin | |||||||
|---|---|---|---|---|---|---|---|---|---|---|---|---|---|
| R2 | qmax [mg/g] | KL [L/mg] | RL | R2 | KF [mg/g(L/mg)1/n] | n | A [L/mg] | B | R2 | ||||
| MR | 5–35 | 100–68 | 47.62 ± 1.02 | 0.9964 | 47.85 | 0.068 | 0.74–0.29 | 0.9963 | 29.42 | 4.3898 | 4.54 | 11.50 | 0.9949 |
| MB | 5–40 | 100–70 | 53.14 ± 1.51 | 0.9994 | 53.19 | 0.221 | 0.31–0.10 | 0.8184 | 43.80 | 11.5607 | 1.78 | 7.21 | 0.8696 |
| MG | 5–230 | 100–94 | 425.46 ± 5.01 | 0.9872 | 434.78 | 0.003 | 0.76–0.58 | 0.9690 | 243.05 | 5.9488 | 21.02 | 77.72 | 0.9846 |
| CR | 5–90 | 100–89 | 155.91 ± 1.71 | 0.9864 | 156.25 | 0.017 | 0.59–0.34 | 0.9659 | 94.19 | 4.3234 | 3..37 | 48.30 | 0.6889 |
| Dye | C0 [mg/L] | R [%] | qe [mg/g] | Langmuir | Freundlich | Temkin | |||||||
|---|---|---|---|---|---|---|---|---|---|---|---|---|---|
| R2 | qmax [mg/g] | KL [L/mg] | RL | R2 | KF [mg/g(L/mg)1/n] | n | A [L/mg] | B | R2 | ||||
| MR | 5–60 | 100–85 | 102.43 ± 0.79 | 0.9954 | 104.17 | 0.035 | 0.58–0.32 | 0.8547 | 73.06 | 5.6180 | 4.54 | 31.43 | 0.5602 |
| MB | 5–80 | 100–87 | 139.72 ± 2.04 | 0.9983 | 140.85 | 0.036 | 0.41–0.26 | 0.9109 | 107.03 | 8.0128 | 6.43 | 16.28 | 0.7359 |
| MG | 5–330 | 100–97 | 622.80 ± 5.16 | 0.9969 | 625.00 | 0.026 | 0.13–0.10 | 0.7491 | 467.74 | 8.0972 | 27.45 | 113.87 | 0.7296 |
| CR | 5–160 | 100–93 | 293.75 ± 0.88 | 0.9957 | 294.12 | 0.012 | 0.46–0.35 | 0.9609 | 211.98 | 7.8125 | 8.56 | 68.85 | 0.4910 |
| Dye | C0 [mg/L] | R [%] | qe [mg/g] | Langmuir | Freundlich | Temkin | |||||||
|---|---|---|---|---|---|---|---|---|---|---|---|---|---|
| R2 | qmax [mg/g] | KL [L/mg] | RL | R2 | KF [mg/g(L/mg)1/n] | n | A [L/mg] | B | R2 | ||||
| MR | 5–60 | 100–82 | 96.88 ± 1.77 | 0.9757 | 100.00 | 0.012 | 0.80–0.57 | 0.9753 | 48.74 | 3.2144 | 2.98 | 29.96 | 0.8067 |
| MB | 5–70 | 100–88 | 120.39 ± 2.01 | 0.9930 | 120.48 | 0.115 | 0.18–0.11 | 0.9176 | 107.18 | 19.1204 | 5.71 | 15.96 | 0.6579 |
| MG | 5–330 | 100–97 | 615.96 ± 2.07 | 0.9917 | 625.00 | 0.004 | 0.73–0.46 | 0.9839 | 412.38 | 11.3250 | 71.18 | 92.64 | 0.9796 |
| CR | 5–150 | 100–93 | 269.99 ± 2.00 | 0.9979 | 270.27 | 0.020 | 0.34–0.25 | 0.9435 | 212.67 | 9.6154 | 8.35 | 65.40 | 0.4556 |
| Sample | Dye | qe [mg/g] | Pseudo-First Order Model | Pseudo-Second Order Model | ||||
|---|---|---|---|---|---|---|---|---|
| R2 | k1 [L/min] | qe,cal [mg/g] | R2 | k2 [g/mg·min] | qe,cal [mg/g] | |||
| PC5A7 | MR | 41.03 ± 0.82 | 0.9028 | 4.61 × 10−3 | 17.73 | 0.9996 | 2.33 × 10−3 | 41.32 |
| PC7A7 | MR | 42.00 ± 0.76 | 0.9983 | 5.52 × 10−3 | 18.36 | 0.9996 | 1.98 × 10−3 | 42.55 |
| PC5A8 | MR | 57.35 ± 1.38 | 0.9969 | 1.27 × 10−2 | 17.72 | 0.9998 | 2.22 × 10−3 | 58.14 |
| PC7A8 | MR | 57.40 ± 0.80 | 0.9957 | 1.24 × 10−2 | 17.68 | 0.9997 | 2.21 × 10−3 | 58.82 |
| PC5A7 | MB | 50.29 ± 0.96 | 0.9589 | 8.98 × 10−3 | 33.82 | 0.9967 | 6.18 × 10−4 | 52.63 |
| PC7A7 | MB | 50.05 ± 0.75 | 0.9714 | 7.83 × 10−3 | 34.78 | 0.9968 | 6.17 × 10−4 | 52.61 |
| PC5A8 | MB | 59.62 ± 1.31 | 0.8619 | 3.75 × 10−2 | 31.16 | 0.9999 | 6.22 × 10−3 | 60.24 |
| PC7A8 | MB | 59.98 ± 1.08 | 0.9532 | 7.14 × 10−3 | 13.84 | 0.9998 | 2.10 × 10−3 | 60.01 |
| PC5A7 | MG | 380.63 ± 4.19 | 0.9669 | 8.29 × 10−3 | 39.33 | 0.9999 | 8.58 × 10−3 | 381.68 |
| PC7A7 | MG | 383.23 ± 4.98 | 0.9812 | 7.60 × 10−3 | 20.80 | 0.9999 | 9.81 × 10−3 | 384.62 |
| PC5A8 | MG | 400.00 ± 8.80 | 0.9949 | 7.83 × 10−2 | 20.14 | 0.9999 | 2.32 × 10−3 | 400.00 |
| PC7A8 | MG | 383.03 ±7.28 | 0.8285 | 2.41 × 10−2 | 14.27 | 0.9999 | 8.52 × 10−3 | 383.14 |
| PC5A7 | CR | 168.34 ± 3.87 | 0.9628 | 3.64 × 10−2 | 33.45 | 0.9999 | 2.07 × 10−3 | 175.44 |
| PC7A7 | CR | 155.91 ± 3.27 | 0.9870 | 6.45 × 10−3 | 22.40 | 0.9999 | 2.61 × 10−3 | 156.25 |
| PC5A8 | CR | 180.00 ± 2.88 | 0.9959 | 8.06 × 10−3 | 22.48 | 0.9999 | 2.26 × 10−3 | 178.52 |
| PC7A8 | CR | 180.00 ± 3.60 | 0.9478 | 9.68 × 10−3 | 20.05 | 0.9999 | 2.39 × 10−3 | 181.82 |
| Material | Dye | Maximum Capacity [mg/g] | Article |
|---|---|---|---|
| marigold | methyl red | 102.43 | (this study) |
| silica coated magnetic nanoparticles | 49.50 | [32] | |
| cassava peels | 206.08 | [33] | |
| charred sawdust | 70.0 | [4] | |
| marigold | methylene blue | 139.72 | (this study) |
| chitosan–montmorillonite/polyaniline nanocomposite | 111 | [34] | |
| CWZ-22 | 130 | [35] | |
| NORIT SX2 | 150 | [35] | |
| marigold | malachite green | 622.80 | (this study) |
| composites of cellulose nanofiber and silver nanoparticles | 142 | [36] | |
| date stones | 98 | [37] | |
| reduced graphene oxide | 279.85 | [38] | |
| marigold | crystal violet | 293.75 | (this study) |
| agricultural rice bran waste | 603.00 | [39] | |
| cross-linked chitosan coated bentonite. | 169.49 | [40] |
Publisher’s Note: MDPI stays neutral with regard to jurisdictional claims in published maps and institutional affiliations. |
© 2022 by the authors. Licensee MDPI, Basel, Switzerland. This article is an open access article distributed under the terms and conditions of the Creative Commons Attribution (CC BY) license (https://creativecommons.org/licenses/by/4.0/).
Share and Cite
Bazan-Wozniak, A.; Wolski, R.; Paluch, D.; Nowicki, P.; Pietrzak, R. Removal of Organic Dyes from Aqueous Solutions by Activated Carbons Prepared from Residue of Supercritical Extraction of Marigold. Materials 2022, 15, 3655. https://doi.org/10.3390/ma15103655
Bazan-Wozniak A, Wolski R, Paluch D, Nowicki P, Pietrzak R. Removal of Organic Dyes from Aqueous Solutions by Activated Carbons Prepared from Residue of Supercritical Extraction of Marigold. Materials. 2022; 15(10):3655. https://doi.org/10.3390/ma15103655
Chicago/Turabian StyleBazan-Wozniak, Aleksandra, Robert Wolski, Dorota Paluch, Piotr Nowicki, and Robert Pietrzak. 2022. "Removal of Organic Dyes from Aqueous Solutions by Activated Carbons Prepared from Residue of Supercritical Extraction of Marigold" Materials 15, no. 10: 3655. https://doi.org/10.3390/ma15103655
APA StyleBazan-Wozniak, A., Wolski, R., Paluch, D., Nowicki, P., & Pietrzak, R. (2022). Removal of Organic Dyes from Aqueous Solutions by Activated Carbons Prepared from Residue of Supercritical Extraction of Marigold. Materials, 15(10), 3655. https://doi.org/10.3390/ma15103655

