Elastic Properties and Energy Dissipation Related to the Disorder-Order Ferroelectric Transition in a Multiferroic Metal-Organic Framework [(CH3)2NH2][Fe(HCOO)3] with a Perovskite-Like Structure
Abstract
1. Introduction
2. Materials and Methods
2.1. Material Synthesis
2.2. Room Temperature Powder X-ray Diffraction (XRD)
2.3. Differential Scanning Calorimetry (DSC)
2.4. Low Temperature Powder XRD
2.5. DMA
3. Results and Discussion
3.1. Room Temperature Powder XRD
3.2. DSC
3.3. Low Temperature Powder XRD
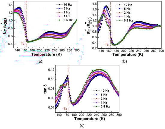
3.4. DMA
4. Conclusions
Author Contributions
Funding
Institutional Review Board Statement
Informed Consent Statement
Data Availability Statement
Acknowledgments
Conflicts of Interest
References
- Reed, D.A.; Keitz, B.K.; Oktawiec, J.; Mason, J.A.; Runcevski, T.; Xiao, D.J.; Darago, L.E.; Crocella, V.; Bordiga, S.; Long, J.R. A spin transition mechanism for cooperative adsorption in metal-organic frameworks. Nature 2017, 550, 96–100. [Google Scholar] [CrossRef]
- Han, X.; Godfrey, H.G.W.; Briggs, L.; Davies, A.J.; Cheng, Y.Q.; Daemen, L.L.; Sheveleva, A.M.; Tuna, F.; Mclnnes, E.J.L.; Sun, J.L.; et al. Reversible adsorption of nitrogen dioxide within a robust porous metal-organic framework. Nat. Mater. 2018, 17, 691–696. [Google Scholar] [CrossRef] [PubMed]
- Baek, J.; Rungtaweevoranit, B.; Pei, X.; Park, M.; Fakra, S.C.; Liu, Y.; Matheu, R.; Alshmimri, S.A.; Alshehri, S.; Trickett, C.A.; et al. Bioinspired metal-organic framework catalysts for selective methane oxidation to methanol. J. Am. Chem. Soc. 2018, 140, 18208–18216. [Google Scholar] [CrossRef]
- Shen, K.; Zhang, L.; Chen, X.D.; Liu, L.M.; Zhang, D.L.; Han, Y.; Chen, J.Y.; Long, J.L.; Luque, R.; Li, Y.W.; et al. Ordered macro-microporous metal-organic framework single crystals. Science 2018, 359, 206–210. [Google Scholar] [CrossRef]
- Katsoulidis, A.P.; Antypov, D.; Whitehead, G.F.S.; Carrington, E.J.; Adams, D.J.; Berry, N.G.; Darling, G.R.; Dyer, M.S.; Rosseinsky, M.J. Chemical control of structure and guest uptake by a conformationally mobile porous material. Nature 2019, 565, 213–217. [Google Scholar] [CrossRef] [PubMed]
- Jiang, Z.; Xu, X.H.; Ma, Y.H.; Cho, H.S.; Ding, D.; Wang, C.; Wu, J.; Oleynikov, P.; Jia, M.; Cheng, J.; et al. Filling metal-organic framework mesopores with TiO2 for CO2 photoreduction. Nature 2020, 586, 549–554. [Google Scholar] [CrossRef] [PubMed]
- Lu, J.; Zhang, H.C.; Hou, J.; Li, X.Y.; Hu, X.Y.; Hu, Y.X.; Easton, C.D.; Li, Q.Y.; Sun, C.H.; Thornton, A.W.; et al. Efficient metal ion sieving in rectifying subnanochannels enabled by metal-organic frameworks. Nat. Mater. 2020, 19, 767–774. [Google Scholar] [CrossRef]
- Chen, Z.J.; Li, P.H.; Anderson, R.; Wang, X.J.; Zhang, X.; Robison, L.; Redfern, L.R.; Moribe, S.; Islamoglu, T.; Gomez-Gualdron, D.A.; et al. Balancing volumetric and gravimetric uptake in highly porous materials for clean energy. Science 2020, 368, 297–303. [Google Scholar] [CrossRef] [PubMed]
- Chen, S.; Shang, R.; Hu, K.L.; Wang, Z.M.; Gao, S. [NH2NH3][M(HCOO)3] (M = Mn2+, Zn2+, Co2+ and Mg2+): Structural phase transitions, prominent dielectric anomalies and negative thermal expansion, and magnetic ordering. Inorg. Chem. Front. 2014, 1, 83–98. [Google Scholar] [CrossRef]
- Maczka, M.; Pasinska, K.; Ptak, M.; Paraguassu, W.; Da Silva, T.A.; Sieradzki, A.; Pikul, A. Effect of solvent, temperature and pressure on the stability of chiral and perovskite metal formate frameworks of [NH2NH3][M(HCOO)3] (M = Mn, Fe, Zn). Phys. Chem. Chem. Phys. 2016, 18, 31653–31663. [Google Scholar] [CrossRef] [PubMed]
- Maczka, M.; Gagor, A.; Ptak, M.; Paraguassu, W.; Da Silva, T.A.; Sieradzki, A.; Pikul, A. Phase transitions and coexistence of magnetic and electric orders in the methylhydrazinium metal formate frameworks. Chem. Mater. 2017, 29, 2264–2275. [Google Scholar] [CrossRef]
- Wang, Z.M.; Zhang, B.; Inoue, K.; Fujiwara, H.; Otsuka, T.; Kobayashi, H.; Kurmoo, M. Occurrence of a rare 4966 structural topology, chirality, and weak ferromagnetism in the [NH4][MII(HCOO)3] (M = Mn, Co, Ni) frameworks. Inorg. Chem. 2007, 46, 437–445. [Google Scholar] [CrossRef] [PubMed]
- Xu, G.C.; Zhang, W.; Ma, X.M.; Chen, Y.H.; Zhang, L.; Cai, H.L.; Wang, Z.M.; Xiong, R.G.; Gao, S. Coexistence of magnetic and electric orderings in the metal–formate frameworks of [NH4][M(HCOO)3]. J. Am. Chem. Soc. 2011, 133, 14948–14951. [Google Scholar] [CrossRef] [PubMed]
- Collings, I.E.; Bykov, M.; Bykova, E.; Tucker, M.G.; Petitgirard, S.; Hanfland, M.; Glazyrin, K.; Smaalen, S.V.; Goodwin, A.L.; Dubrovinsky, L.; et al. Structural distortions in the high-pressure polar phases of ammonium metal formats. CrystEngComm 2016, 18, 8849–8857. [Google Scholar] [CrossRef]
- Volkova, L.M.; Marinin, D.V. Possibility of emergence of chiral magnetic soliton in hexagonal metal formate [NH4][M(HCOO)3] with M2+ = Mn, Fe, Co, and Ni and KCo(HCOO)3. J. Supercond. Novel Magn. 2016, 29, 2931–2945. [Google Scholar] [CrossRef]
- Wang, X.Y.; Gan, L.; Zhang, S.W.; Gao, S. Perovskite-like metal formates with weak ferromagnetism and as precursors to amorphous materials. Inorg. Chem. 2004, 43, 4615–4625. [Google Scholar] [CrossRef]
- Jain, P.; Ramachandran, V.; Clark, R.J.; Zhou, H.D.; Toby, B.H.; Dalal, N.S.; Kroto, H.W.; Cheetham, A.K. Multiferroic behavior associated with an order-disorder hydrogen bonding transition in metal-organic frameworks (MOFs) with the perovskite ABX3 architecture. J. Am. Chem. Soc. 2009, 131, 13625–13627. [Google Scholar] [CrossRef] [PubMed]
- Baker, P.J.; Lancaster, T.; Franke, I.; Hayes, W.; Blundell, S.J.; Pratt, F.L.; Jain, P.; Wang, Z.M.; Kurmoo, M. Muon spin relaxation investigation of magnetic ordering in the hybrid organic-inorganic perovskites [(CH3)2NH2]M(HCOO)3, M = Ni, Co, Mn, Cu. Phys. Rev. B 2010, 82, 012407. [Google Scholar] [CrossRef]
- Zhang, W.; Xiong, R. Ferroelectric metal-organic frameworks. Chem. Rev. 2012, 112, 1163–1195. [Google Scholar] [CrossRef]
- Nagabhushana, G.P.; Shivaramaiah, R.; Navrotsky, A. Thermochemistry of multiferroic organic–inorganic hybrid perovskites [(CH3)2NH2][M(HCOO)3] (M = Mn, Co, Ni, and Zn). J. Am. Chem. Soc. 2015, 137, 10351–10356. [Google Scholar] [CrossRef]
- Asadi, K.; Veen, M.A. Ferroelectricity in metal-organic frameworks: Characterization and mechanisms. Eur. J. Inorg. Chem. 2016, 2016, 4332–4344. [Google Scholar] [CrossRef]
- Tan, J.C.; Jain, P.; Cheetham, A.K. Influence of ligand field stabilization energy on the elastic properties of multiferroic MOFs with the perovskite architecture. Dalton Trans. 2012, 41, 3949–3952. [Google Scholar] [CrossRef] [PubMed]
- Thomson, R.I.; Jain, P.; Cheetham, A.K.; Carpenter, M.A. Elastic relaxation behavior, magnetoelastic coupling, and order-disorder processes in multiferroic metal-organic frameworks. Phys. Rev. B 2012, 86, 214304. [Google Scholar] [CrossRef]
- Xin, L.P.; Zhang, Z.Y.; Carpenter, M.A.; Zhang, M.; Jin, F.; Zhang, Q.M.; Wang, X.M.; Tang, W.H.; Lou, X.J. Strain coupling and dynamic relaxation in a molecular perovskite-like multiferroic metal-organic framework. Adv. Funct. Mater. 2018, 28, 1806013. [Google Scholar] [CrossRef]
- Zhang, Z.Y.; Tang, H.; Cheng, D.P.; Zhang, J.K.; Chen, Y.T.; Shen, X.; Yu, H.L. Strain coupling and dynamic relaxation in multiferroic metal-organic framework [(CH3)2NH2][Mn(HCOO)3] with perovskite structure. Results Phys 2019, 12, 2183–2188. [Google Scholar] [CrossRef]
- Li, W.; Wang, Z.M.; Deschler, F.; Gao, S.; Friend, R.H.; Cheetham, A.K. Chemically diverse and multifunctional hybrid organic-inorganic perovskites. Nature Rev. Mater. 2017, 2, 16099. [Google Scholar] [CrossRef]
- Carpenter, M.A. Static and dynamic strain coupling behaviour of ferroic and multiferroic perovskites from resonant ultrasound spectroscopy. J. Phys. Condens. Matter 2015, 27, 263201. [Google Scholar] [CrossRef] [PubMed]
- Tian, Y.; Stroppa, A.; Chai, Y.S.; Yan, L.Q.; Wang, S.G.; Barone, P.; Picozzi, S.; Sun, Y. Cross coupling between electric and magnetic orders in a multiferroic metal-organic framework. Sci. Rep. 2014, 4, 6062. [Google Scholar] [CrossRef] [PubMed]
- Tian, Y.; Wang, W.; Chai, Y.S.; Cong, J.Z.; Shen, S.P.; Yan, L.Q.; Wang, S.G.; Han, X.F.; Sun, Y. Quantum tunneling of magnetization in a metal-organic framework. Phys. Rev. Lett. 2014, 112, 017202. [Google Scholar] [CrossRef] [PubMed]
- Tian, Y.; Shen, S.P.; Cong, J.Z.; Yan, L.Q.; Wang, S.G.; Sun, Y. Observation of resonant quantum magnetoelectric effect in a multiferroic metal-organic framework. J. Am. Chem. Soc. 2016, 138, 782–785. [Google Scholar] [CrossRef]
- Tian, Y.; Shen, S.P.; Cong, J.Z.; Yan, L.Q.; Chai, Y.C.; Sun, Y. Long-distance super-exchange and quantum magnetic relaxation in a hybrid metal-organic framework. Chin. Phys. B 2016, 25, 017601. [Google Scholar] [CrossRef]
- Maczka, M.; Ptak, M.; Macalik, L. Infrared and Raman studies of phase transitions in metal–organic frameworks of [(CH3)2NH2][M(HCOO)3] with M = Zn, Fe. Vib. Spectrosc. 2014, 71, 98–104. [Google Scholar] [CrossRef]
- Zhou, H.T.; Pan, D.S.; Li, Y.; Li, D.; Choi, C.J.; Zhang, Z.D. Magnetic transitions in metal-organic frameworks of [(CH3)2NH2][FeII(HCOO)3], [(CH3)2NH2][CoII(HCOO)3] and [(CH3)2NH2][FeIII FeII(HCOO)6]. J. Magn. Magn. Mater. 2020, 493, 165715. [Google Scholar] [CrossRef]
- Ma, Y.; Wang, Y.X.; Cong, J.Z.; Sun, Y. Magnetic-field tuning of hydrogen bond order-disorder transition in metal-organic frameworks. Phys. Rev. Lett. 2019, 122, 255701. [Google Scholar] [CrossRef] [PubMed]
- Sanchez-Andujar, M.; Presedo, S.; Yanez-Vilar, S.; Castro-Garcia, S.; Shamir, J.; Senaris-Rodriguez, M.A. Characterization of the order–disorder dielectric transition in the hybrid organic − inorganic perovskite-like formate Mn(HCOO)3[(CH3)2NH2]. Inorg. Chem. 2010, 49, 1510–1516. [Google Scholar] [CrossRef] [PubMed]










Publisher’s Note: MDPI stays neutral with regard to jurisdictional claims in published maps and institutional affiliations. |
© 2021 by the authors. Licensee MDPI, Basel, Switzerland. This article is an open access article distributed under the terms and conditions of the Creative Commons Attribution (CC BY) license (https://creativecommons.org/licenses/by/4.0/).
Share and Cite
Zhang, Z.; Shen, X.; Yu, H.; Wang, X.; Sun, L.; Yue, S.; Cheng, D.; Tang, H. Elastic Properties and Energy Dissipation Related to the Disorder-Order Ferroelectric Transition in a Multiferroic Metal-Organic Framework [(CH3)2NH2][Fe(HCOO)3] with a Perovskite-Like Structure. Materials 2021, 14, 2403. https://doi.org/10.3390/ma14092403
Zhang Z, Shen X, Yu H, Wang X, Sun L, Yue S, Cheng D, Tang H. Elastic Properties and Energy Dissipation Related to the Disorder-Order Ferroelectric Transition in a Multiferroic Metal-Organic Framework [(CH3)2NH2][Fe(HCOO)3] with a Perovskite-Like Structure. Materials. 2021; 14(9):2403. https://doi.org/10.3390/ma14092403
Chicago/Turabian StyleZhang, Zhiying, Xin Shen, Hongliang Yu, Xiaoming Wang, Lei Sun, Shumin Yue, Dongpeng Cheng, and Hao Tang. 2021. "Elastic Properties and Energy Dissipation Related to the Disorder-Order Ferroelectric Transition in a Multiferroic Metal-Organic Framework [(CH3)2NH2][Fe(HCOO)3] with a Perovskite-Like Structure" Materials 14, no. 9: 2403. https://doi.org/10.3390/ma14092403
APA StyleZhang, Z., Shen, X., Yu, H., Wang, X., Sun, L., Yue, S., Cheng, D., & Tang, H. (2021). Elastic Properties and Energy Dissipation Related to the Disorder-Order Ferroelectric Transition in a Multiferroic Metal-Organic Framework [(CH3)2NH2][Fe(HCOO)3] with a Perovskite-Like Structure. Materials, 14(9), 2403. https://doi.org/10.3390/ma14092403
