Microencapsulated Phase Change Material Suspension for Cold Start of PEMFC
Abstract
1. Introduction
2. Experimental
2.1. Preparation of MPCS
2.2. Characterization
2.3. Test System and Measurement Process
3. Results and Discussion
3.1. Morphology and Particle Size Distribution
3.2. Chemical Composition
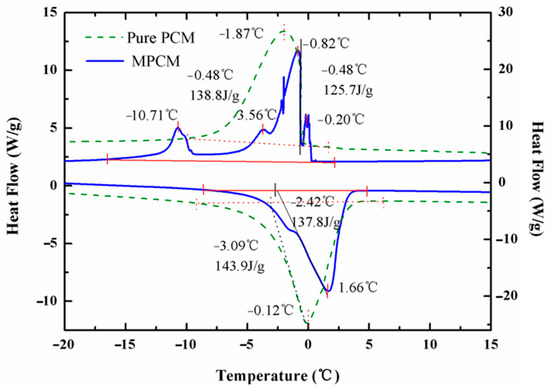
3.3. Phase Change Temperature and Enthalpy
3.4. Rheological Behavior
3.5. Thermal Imaging
3.6. Cold Start Characteristics
3.7. Performance before and after Cold Start
4. Conclusions
Author Contributions
Funding
Institutional Review Board Statement
Informed Consent Statement
Data Availability Statement
Conflicts of Interest
References
- Fuel Cell Technologies Office Multi-Year Research, Development, and Demonstration Plan. Available online: http://www.eere.energy.gov/hydrogenandfuelcells/presentations.html (accessed on 20 December 2020).
- Petrone, R.; Zheng, Z.; Hissel, D.; Pera, M.C.; Pianese, C.; Sorrentino, M.; BecheriF, M.; Yousfi-Steiner, N. A review on model-based diagnosis methodologies for PEMFCs. Int. J. Hydrogen Energy 2013, 38, 7077–7091. [Google Scholar] [CrossRef]
- Zhao, Y.; Li, X.; Wang, Z.; Xie, X.; Qian, W. Preparation of Graft Poly(Arylene Ether Sulfone)s-Based Copolymer with Enhanced Phase-Separated Morphology as Proton Exchange Membranes via Atom Transfer Radical Polymerization. Polymers 2019, 11, 1297. [Google Scholar] [CrossRef]
- Wang, X.; Chen, S.; Fan, Z.; Li, W.; Wang, S.; Zhu, T.; Xie, X. Laser-perforated gas diffusion layer for promoting liquid water transport in a proton exchange membrane fuel cell. Int. J. Hydrogen Energy 2017, 42, 29995–30003. [Google Scholar] [CrossRef]
- Roda, V.; Carroquino, J.; Valino, L.; Lozano, A.; Barreras, F. Remodeling of a commercial plug-in battery electric vehicle to a hybrid configuration with a PEM fuel cell. Int. J. Hydrogen Energy 2018, 43, 16959–16970. [Google Scholar] [CrossRef]
- Wu, F.; Chen, B.; Yan, Y.; Chen, Y.; Pan, M. Degradation of Silicone Rubbers as Sealing Materials for Proton Exchange Membrane Fuel Cells under Temperature Cycling. Polymers 2018, 10, 522. [Google Scholar] [CrossRef] [PubMed]
- Wang, X.; Wang, S.; Chen, S.; Zhu, T.; Xie, X. Dynamic response of proton exchange membrane fuel cell under mechanical vibration. Int. J. Hydrogen Energy 2016, 41, 16287–16295. [Google Scholar] [CrossRef]
- Wan, Z.; Chang, H.; Shu, S.; Wang, Y.; Tang, H. A review on cold start of proton exchange membrane fuel cells. Energies 2004, 7, 3179–3203. [Google Scholar] [CrossRef]
- Ahluwalia, R.K.; Wang, X. Rapid self-start of polymer electrolyte fuel cell stacks from subfreezing temperatures. J. Power Sources 2006, 162, 502–512. [Google Scholar] [CrossRef]
- Tabe, Y.; Saito, M.; Fukui, K.; Chikahisa, T. Cold start characteristics and freezing echanism dependence on start-up temperature in a polymer electrolyte membrane fuel cell. J. Power Sources 2012, 208, 366–373. [Google Scholar] [CrossRef]
- Hou, J.; Yi, B.; Yu, H.; Hao, L.; Song, W.; Fu, Y.; Shao, Z. Investigation of resided water effects on PEM fuel cell after cold start. Int. J. Hydrogen Energy 2007, 32, 4503–4509. [Google Scholar] [CrossRef]
- Mishler, J.; Wang, Y.; Mukherjee, P.P.; Mukundan, R.; Borup, R.L. Subfreezing operation of polymer electrolyte fuel cells: Ice formation and cell performance loss. Electrochim. Acta 2012, 65, 127–133. [Google Scholar] [CrossRef]
- Ge, S.; Wang, C.Y. Cyclic Voltammetry Study of Ice Formation in the PEFC Catalyst Layer during Cold Start. J. Electrochem. Soc. 2007, 154, B1399–B1406. [Google Scholar] [CrossRef]
- Tajiri, K.; Tabuchi, Y.; Kagami, F.; Takahashi, S.; Yoshizawa, K. Effects of operating anddesign parameters on PEFC cold start. J. Power Sources 2007, 165, 279–286. [Google Scholar] [CrossRef]
- Ishikawa, Y.; Shiozawa, M.; Kondo, M.; Ito, K. Theoretical analysis of supercooled states of water generated below the freezing point in a PEFC. Int. J. Heat Mass Transfer 2014, 74, 215–227. [Google Scholar] [CrossRef]
- Ko, J.; Ju, H. Effects of cathode catalyst layer design parameters on cold start behavior of polymer electrolyte fuel cells (PEFCs). Int. J. Hydrogen Energy 2013, 38, 682–691. [Google Scholar] [CrossRef]
- Wang, Y.; Mukherjee, P.P.; Mishler, J.; Mukundan, R.; Borup, R.L. Cold start of polymer electrolyte fuel cells: Threestage startup characterization. Electrochim. Acta 2010, 55, 2636–2644. [Google Scholar] [CrossRef]
- Barton, R.H.; Uong, T.D.; Schembri, C.J.; Skinner, G.A. Fuel Cell Purging Method and Apparatus. U.S. Patent 6960401, 1 November 2005. [Google Scholar]
- Clingerman, B.J.; Kolodziej, J.R.; Kilmer, D.S.; Rapaport, P.A.; Mathews, D.S.; Kocha, S. Fuel Cell System Water Management Strategy for Freeze Capability. U.S. Patent 0298289, 27 December 2007. [Google Scholar]
- Tang, H.Y.; Santamaria, A.D.; Bachman, J.; Park, J.W. Vacuum-assisted drying of polymer electrolyte membrane fuel cell. Appl. Energy 2013, 107, 264–270. [Google Scholar] [CrossRef]
- Roberts, J.; van der Geest, M.; St-Pierre, J.; Wilkinson, D.P.; Lee, A.; Moroz, S. Method and Apparatus for Increasing the Temperature of a Fuel Cell. U.S. Patent 0028967, 10 November 2001. [Google Scholar]
- Colbow, K.M.; Van Der, G.M.; Longley, C.J.; Roberts, J.; St-Pierre, J.; Urban, P.; Wezel, R. Method and Apparatus for Operating an Electrochemical Fuel Cell with Periodic Reactant Starvation. U.S. Patent 6,472,090, 1 October 2002. [Google Scholar]
- Lin, R.; Weng, Y.; Lin, X.; Xiong, F. Rapid cold start of proton exchange membrane fuel cells by the printed circuit board technology. Int. J. Hydrogen Energy 2014, 39, 18369–18378. [Google Scholar] [CrossRef]
- Jiang, F.; Wang, C.Y. Potentiostatic start-up of PEMFCs from subzero temperatures. J. Electrochem. Soc. 2008, 155, B743–B751. [Google Scholar] [CrossRef]
- Guo, Q.; Luo, Y.; Jiao, K. Modeling of assisted cold start processes with anode catalytic hydrogen-oxygen reaction in proton exchange membrane fuel cell. Int. J. Hydrogen Energy 2013, 38, 1004–1015. [Google Scholar] [CrossRef]
- Rock, J.A.; Plant, L.B. Method of Cold Start-up of a PEM Fuel Cell. EP Patent 1,113,516, 4 April 2004. [Google Scholar]
- Johnson, T.A.; Kanouff, M.P. Development of a hydrogen catalytic heater for heating metal hydride hydrogen storage systems. Int. J. Hydrogen Energy 2012, 37, 2304–2319. [Google Scholar] [CrossRef]
- Assarabowski, R.J.; Unkert, W.T.; Bach, L.A.; Grasso, A.P.; Olsommer, B.C. Method and Apparatus for Preventing Water in Fuel Cell Power Plants from Freezing during Storage. U.S. Patent 6,797,421, 28 September 2004. [Google Scholar]
- LTD, N.M.C. Warm-up System of Fuel Cell Solved. Google Patent US 0013915 A1, 5 June 2004. [Google Scholar]
- Burch, S.D.; Clingerman, B.J.; Alp, A.B.; Arthur, D.A.; Wexel, D.; Fasse, M. Fuel Cell Startup Method for Fast Freeze Startup. U.S. Patent 0,342,258, 8 November 2014. [Google Scholar]
- Matsuoka, N. Warm-Up of Fuel Cell Power Plant with Polymer Electrolyte. WO Patent No. 2003 061045, 2 April 2008. [Google Scholar]
- Reiser, C.A.; Sribnik, F.F. Fuel Cell Stack Melting of Coolant Water during Frozen Startup. U.S. Patents 2004 6986958, 17 January 2006. [Google Scholar]
- Desrosiers, K.C.; LaVen, A.; Skinkle, D.W. Systems and Methods for Starting and Operating Fuel Cell Systems in Subfreezing Temperatures. U.S. Patent 8,492,044, 11 July 2013. [Google Scholar]
- Wheat, W.S.; Meltser, M.A.; Masten, D.A. Fuel Cell Energy Management System for Cold Environments System for Cold Environment. U.S. Patent 20040166388, 26 August 2004. [Google Scholar]
- Incropera, F.; Dewitt, P.; Bergman, T.L.; Lavine, A.S. Introduction to Heat Transfer, 5th ed.; John Wiley & Sons: New York, NY, USA, 2006; pp. 154–196. [Google Scholar]
- Wang, Y.; Chen, K.S.; Mishler, J.; Cho, S.C.; Adroher, X.C. A review of polymer electrolyte membrane fuel cells: Technology, applications, and needs on fundamental research. Appl. Energy 2011, 88, 981–1007. [Google Scholar] [CrossRef]
- Gosh, K. Functional Coatings and Microencapsulation: A General Perspective, 3rd ed.; Wiley-VCH Verlag GmbH & Co. KGaA: Weinheim, Germany, 2006; pp. 85–96. [Google Scholar]
- Chen, S.; Li, W.; Wang, X.; Wang, S.; Xie, X.; Zhu, T. Thermal management using phase change materials for proton exchange membrane fuel cells. Chin. J. Chem. Eng. 2016, 67, 1–6. [Google Scholar] [CrossRef]
- Hu, X.; Zhang, Y. Novel insight and numerical analysis of convective heat transfer enhancement with microencapsulated phase change material slurries: Laminar flow in a circular tube with constant heat flux. Int. J. Heat Mass Transf. 2002, 45, 3163–3172. [Google Scholar] [CrossRef]
- Stephan, K. Wärmeübergang und Drückabfall bei Nicht Ausgebildeter Laminarströmung in Röhre und in Ebenen Spalten. Chem. Ing. Tech. 1959, 31, 773–778. [Google Scholar] [CrossRef]
- Zhang, Y.; Hu, X.; Wang, X. Theoretical analysis of convective heat transfer enhancement of microencapsulated phase change material slurries. Heat Mass Transf. 2003, 40, 59–66. [Google Scholar] [CrossRef]
- Huang, X.; Zhu, C.; Lin, Y. Thermal properties and applications of microencapsulated PCM for thermal energy storage: A review. Appl. Therm. Eng. 2019, 147, 841–855. [Google Scholar] [CrossRef]
- Li, Y.; Zhao, L.; Wang, H.; Li, B.H. Microencapsulated-octadecane with TiO2-doped silk fibroin shell for thermal energy storage and UV-shielding. J. Phys. Chem. Solids 2019, 134, 97–104. [Google Scholar] [CrossRef]
- Chen, S.; Wang, X.; Li, W.; Wang, S.; Qi, Y.; Zhu, T. Experimental study on cooling performance of microencapsulated phase change suspension in a PEMFC. Int. J. Hydrogen Energy 2017, 42, 30004–30012. [Google Scholar] [CrossRef]
- Guo, Y.; Zheng, W.; Cheng, H. Thermophysical properties and stability of paraffin microemulsions as latent functionally thermal fluid. ICMREE 2014, 2, 504–507. [Google Scholar]
- Lin, R.; Weng, Y.; Li, Y. Internal behavior of segmented fuel cell during cold start. Int. J. Hydrogen Energy 2014, 39, 16025–16035. [Google Scholar] [CrossRef]
- Cao, F.; Yang, B. Supercooling Suppression of Microencapsulated Phase Change Materials by Optimizing Shell Composition and Structure. Appl. Energy 2014, 113, 1512–1518. [Google Scholar] [CrossRef]
- Qiu, X.; Lu, L.; Wang, J.; Tang, G.; Song, G. Preparation and Characterization of Microencapsulated n-Octadecane as Phase Change Material with Different n-Butyl Methacrylate-Based Copolymer Shells. Sol. Energy Mater. Sol. Cells 2014, 128, 102–111. [Google Scholar] [CrossRef]
- Zhang, H.; Wang, X.; Wu, D. Silica encapsulation of noctadecane via sol-gel process: A novel microencapsulated phase-change material with enhanced thermal conductivity and performance. J Colloid Interface Sci 2010, 343, 246–255. [Google Scholar] [CrossRef] [PubMed]
- Lampinen, M.; Fomino, M. Analysis of free energy and entropy changes for halfcell reactions. J. Electrochem. Soc. 1997, 140, 537–3546. [Google Scholar]
- Kandlikar, S.G.; Lu, Z. Thermal management issues in a PEMFC stack-a brief review of current status. Appl. Therm. Eng. 2009, 29, 1276–1280. [Google Scholar] [CrossRef]
- Yan, Q.; Toghiani, H.; Lee, Y.W. Effect of sub-freezing temperatures on a PEM fuel cell performance, startup and fuel cell components. J. Power Sources 2006, 160, 1242–1250. [Google Scholar] [CrossRef]
- Lee, Y.; Kim, B.; Kim, Y. Degradation of gas diffusion layers through repetitive freezing. Appl. Energy 2011, 88, 5111–5119. [Google Scholar] [CrossRef]
- Yang, X.G.; Tabuchi, Y.; Kagami, F.; Wang, C. Durability of Membrane Electrode Assemblies under Polymer Electrolyte Fuel Cell Cold-Start Cycling. J. Electrochem. Soc. 2008, 155, B752–B761. [Google Scholar] [CrossRef]















| Parameter | Value |
|---|---|
| Temperature range of melting (°C) | −1~2 |
| Temperature range of solidification (°C) | −1~0 |
| Heat storage capacity (kJ/kg) | 225 |
| Specific heat (kJ/(kg K)) | 2 |
| Density solid at 15 °C (kg/L) | 0.88 |
| Density liquid at 80 °C (kg/L) | 0.77 |
| Volume expansion with phase change (%) | 12.5 |
| Thermal conductivity coefficient (W/(m K)) | 0.2 |
Publisher’s Note: MDPI stays neutral with regard to jurisdictional claims in published maps and institutional affiliations. |
© 2021 by the authors. Licensee MDPI, Basel, Switzerland. This article is an open access article distributed under the terms and conditions of the Creative Commons Attribution (CC BY) license (http://creativecommons.org/licenses/by/4.0/).
Share and Cite
Chen, S.; Wang, S.; Wang, X.; Li, W.; Liang, B.; Zhu, T.; Xie, X. Microencapsulated Phase Change Material Suspension for Cold Start of PEMFC. Materials 2021, 14, 1514. https://doi.org/10.3390/ma14061514
Chen S, Wang S, Wang X, Li W, Liang B, Zhu T, Xie X. Microencapsulated Phase Change Material Suspension for Cold Start of PEMFC. Materials. 2021; 14(6):1514. https://doi.org/10.3390/ma14061514
Chicago/Turabian StyleChen, Sitong, Shubo Wang, Xueke Wang, Weiwei Li, Baorui Liang, Tong Zhu, and Xiaofeng Xie. 2021. "Microencapsulated Phase Change Material Suspension for Cold Start of PEMFC" Materials 14, no. 6: 1514. https://doi.org/10.3390/ma14061514
APA StyleChen, S., Wang, S., Wang, X., Li, W., Liang, B., Zhu, T., & Xie, X. (2021). Microencapsulated Phase Change Material Suspension for Cold Start of PEMFC. Materials, 14(6), 1514. https://doi.org/10.3390/ma14061514

