Platinum Nanoparticles Modified Copper/Titanium Electrodes as Electrocatalysts for Borohydride Oxidation
Abstract
1. Introduction
2. Materials and Methods
2.1. Chemicals
2.2. Preparation of Catalysts
2.3. Catalysts Characterization
2.4. Electrochemical Measurements
2.5. Investigation of the Catalytic Hydrolysis of NaBH4
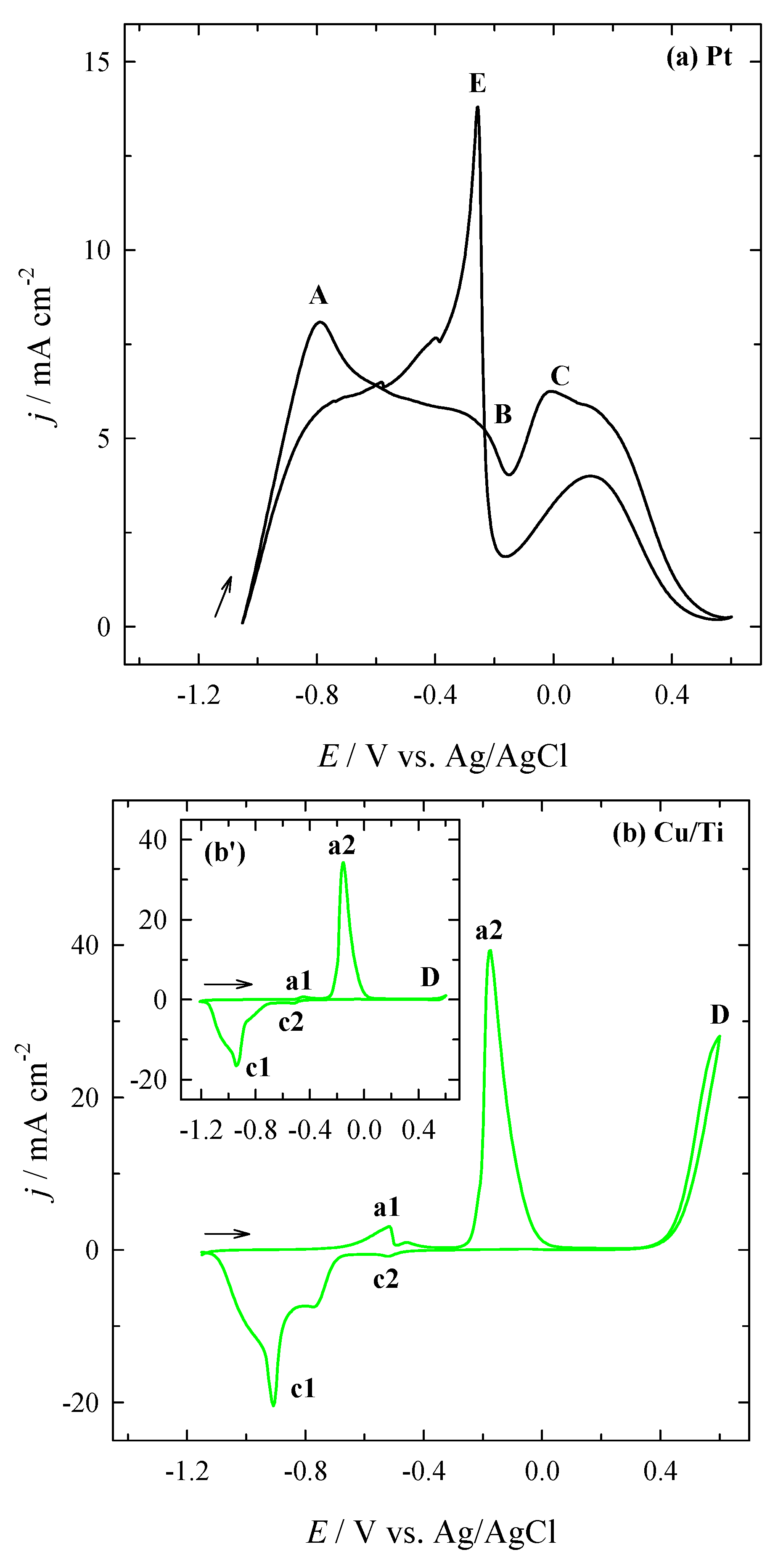
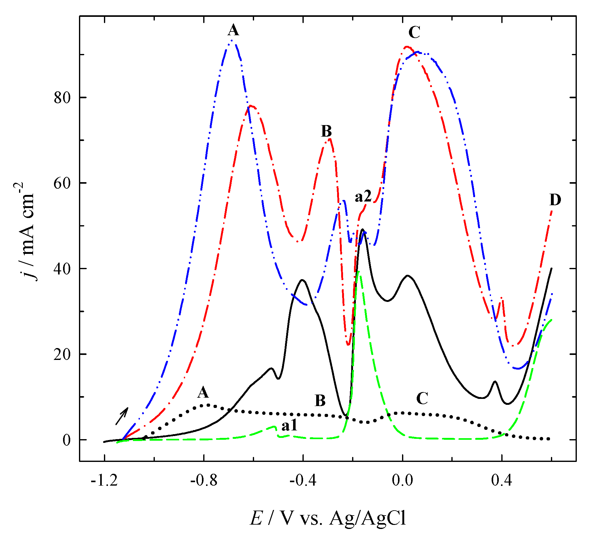
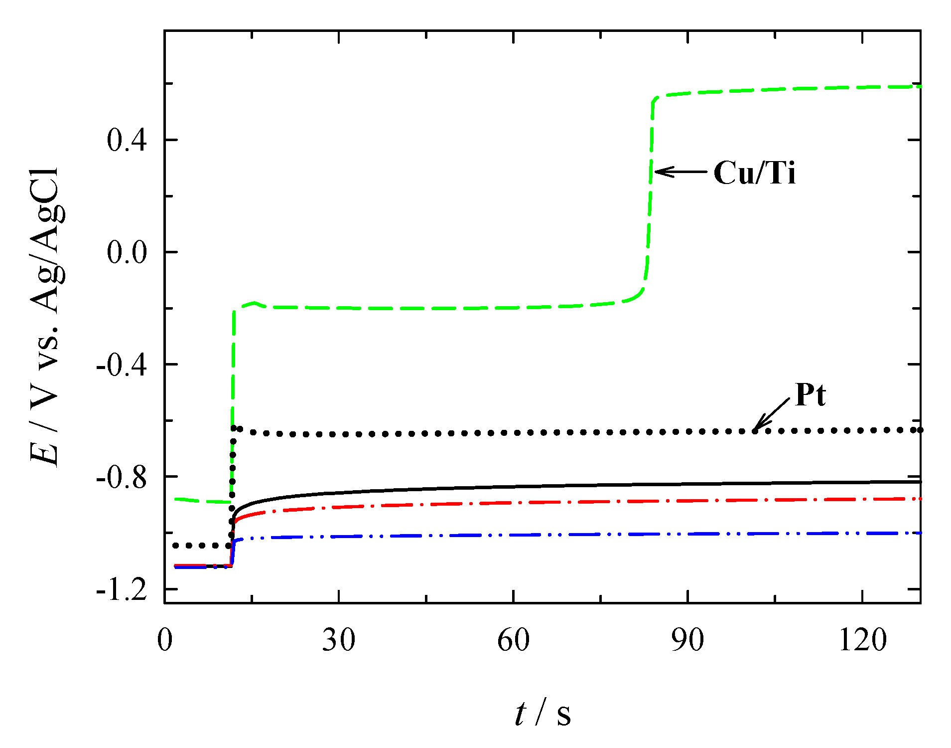
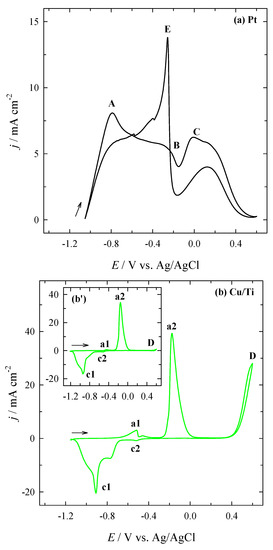
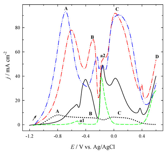
3. Results
4. Conclusions
Author Contributions
Funding
Institutional Review Board Statement
Informed Consent Statement
Conflicts of Interest
References
- Santos, D.M.F.; Sequeira, C.A.C. Sodium borohydride as a fuel for the future. Renew. Sustain. Energy Rev. 2011, 15, 3980–4001. [Google Scholar] [CrossRef]
- Demirci, U.B.; Miele, P.; Garin, F. Catalysis in hydrolysis of sodium borohydride and ammonia borane, and electrocatalysis in oxidation of sodium borohydride. Catal. Today 2011, 170, 1–154. [Google Scholar] [CrossRef]
- Wee, J.H.J. A comparison of sodium borohydride as a fuel for proton exchange membrane fuel cells and for direct borohydride fuel cells. J. Power Sources 2006, 155, 329–339. [Google Scholar] [CrossRef]
- Elder, J.P. Hydrogen ionization in the anodic oxidation of the borohydride ion. Electrochim. Acta 1962, 7, 417–426. [Google Scholar] [CrossRef]
- Indig, M.E.; Snyder, R.N. Sodium borohydride, an interesting anodic fuel. J. Electrochem. Soc. 1962, 109, 1104–1106. [Google Scholar] [CrossRef]
- Gardiner, J.A.; Collat, J.W. Kinetics of the stepwise hydrolysis of tetrahydroborate ion. J. Am. Chem. Soc. 1965, 87, 1692–1700. [Google Scholar] [CrossRef]
- Morris, J.H.; Gysing, H.J.; Reed, D. Electrochemistry of boron compounds. Chem. Rev. 1985, 85, 51–76. [Google Scholar] [CrossRef]
- Amendola, S.C.; Onnerud, P.; Kelly, M.T.; Petillo, P.J.; Sharp-Goldman, S.L.; Binder, M.J. A novel high power density borohydride-air cell. J. Power Sources 1999, 84, 130–133. [Google Scholar] [CrossRef]
- Liu, B.H.; Li, Z.P.; Suda, S.J. Anodic oxidation of alkali borohydrides catalyzed by nickel. J. Electrochem. Soc. 2003, 150, A398–A402. [Google Scholar] [CrossRef]
- Liu, B.H.; Li, Z.P.; Suda, S. Electrocatalysts for the anodic oxidation of borohydrides. Electrochim. Acta 2004, 49, 3097–3105. [Google Scholar] [CrossRef]
- Gyenge, E. Electrooxidation of borohydride on platinum and gold electrodes: Implications for direct borohydride fuel cells. Electrochim. Acta 2004, 49, 965–978. [Google Scholar] [CrossRef]
- Martins, J.I.; Nunes, M.C. Comparison of the electrochemical oxidation of borohydride and dimethylamine borane on platinum electrodes: Implication for direct fuel cells. J. Power Sources 2008, 175, 244–249. [Google Scholar] [CrossRef]
- Ma, J.; Choudhury, N.A.; Sahai, Y. A comprehensive review of direct borohydride fuel cells. Renew. Sustain. Energy Rev. 2010, 14, 183–199. [Google Scholar] [CrossRef]
- Lima, F.B.H.; Pasqualeti, A.M.; Molina Concha, B.M.; Chatenet, M.; Ticianelli, E.A. Borohydride electrooxidation on Au and Pt electrodes. Electrochim. Acta 2012, 84, 202–212. [Google Scholar] [CrossRef]
- Merino-Jimenez, I.; Ponce de Leon, C.; Shah, A.A.; Walsh, F.C. Developments in direct borohydride fuel cells and remaining challenges. J. Power Sources 2012, 219, 339–357. [Google Scholar] [CrossRef]
- Oshchepkov, A.G.; Braesch, G.; Rostamikia, G.; Bonnefont, A.; Janik, M.J.; Chatenet, M.; Savinova, E.R. Insights into the borohydride electrooxidation reaction on metallic nickel from operando FTIRS, on-line DEMS and DFT. Electrochim. Acta 2021, 389, 138721. [Google Scholar] [CrossRef]
- Xu, C.; Chen, P.; Hu, B.; Xiang, Q.; Cen, Y.; Hu, B.; Liu, L.; Liu, Y.; Yu, D.; Chen, C. Porous nickel electrodes with controlled texture for the hydrogen evolution reaction and sodium borohydride electrooxidation. CrystEngComm 2020, 22, 4228–4237. [Google Scholar] [CrossRef]
- Gyenge, E.; Atwan, M.; Northwood, D. Electrocatalysis of borohydride oxidation on colloidal Pt and Pt-alloys (Pt-Ir, Pt-Ni, and Pt-Au) and application for direct borohydride fuel cell anodes. J. Electrochem. Soc. 2006, 153, A150–A158. [Google Scholar] [CrossRef]
- Geng, X.Y.; Zhang, H.M.; Ye, W.; Ma, Y.W.; Zhong, H.X. Ni–Pt/C as anode electrocatalyst for a direct borohydride fuel cell. J. Power Sources 2008, 185, 627–632. [Google Scholar] [CrossRef]
- Tegou, A.; Papadimitriou, S.; Mintsouli, I.; Armyanov, S.; Valova, E.; Kokkinidis, G.; Sotiropoulos, S. Rotating disc electrode studies of borohydride oxidation at Pt and bimetallic Pt–Ni and Pt–Co electrodes. Catal. Today 2011, 170, 126–133. [Google Scholar] [CrossRef]
- Wang, G.J.; Gao, Y.Z.; Wang, Z.B.; Du, C.Y.; Wang, J.J.; Yin, G.P. Investigation of PtNi/C anode electrocatalysts for direct borohydride fuel cell. J. Power Sources 2010, 195, 185–189. [Google Scholar] [CrossRef]
- Yi, L.; Hu, B.; Song, Y.; Wang, X.; Zou, G.; Yi, W. Studies of electrochemical performance of carbon supported Pt–Cu nanoparticles as anode catalysts for direct borohydride–hydrogen peroxide fuel cell. J. Power Sources 2011, 196, 9924–9930. [Google Scholar] [CrossRef]
- Yi, L.; Liu, L.; Liu, X.; Wang, X.; Yi, W.; He, P.; Wang, X. Carbon-supported Pt–Co nanoparticles as anode catalyst for direct borohydride-hydrogen peroxide fuel cell: Electrocatalysis and fuel cell performance. Int. J. Hydrog. Energy 2012, 37, 12650–12658. [Google Scholar] [CrossRef]
- Tamašauskaitė-Tamašiūnaitė, L.; Baronaitė, A.; Stankevičienė, I.; Vaičiūnienė, J.; Kondrotas, R.; Juškėnas, R.; Norkus, E. Investigation of borohydride oxidation on graphene supported gold-copper nanocomposites. J. Electrochem. Soc. 2014, 161, F1237–F1242. [Google Scholar] [CrossRef][Green Version]
- Yi, L.; Wei, W.; Zhao, C.; Yang, C.; Tian, L.; Liu, J.; Wang, X. Electrochemical oxidation of sodium borohydride on carbon supported Pt-Zn nanoparticle bimetallic catalyst and its implications to direct borohydride-hydrogen peroxide fuel cell. Electrochim. Acta 2015, 158, 209–218. [Google Scholar] [CrossRef]
- Duan, D.; Liang, J.; Liu, H.; You, X.; Wei, H.; Wei, G.; Liu, S. The effective carbon supported core–shell structure of Ni@Au catalysts for electro-oxidation of borohydride. Int. J. Hydrog. Energy 2015, 40, 488–500. [Google Scholar] [CrossRef]
- Yi, L.; Wei, W.; Zhao, C.; Tian, L.; Liu, J.; Wang, X. Enhanced activity of Au–Fe/C anodic electrocatalyst for direct borohydride-hydrogen peroxide fuel cell. J. Power Sources 2015, 285, 325–333. [Google Scholar] [CrossRef]
- Hosseini, M.G.; Mahmoodi, R. The comparison of direct borohydride-hydrogen peroxide fuel cell performance with membrane electrode assembly prepared by catalyst coated membrane method and catalyst coated gas diffusion layer method using Ni@Pt/C as anodic catalyst. Int. J. Hydrog. Energy 2017, 42, 10363–10375. [Google Scholar] [CrossRef]
- Yi, Q.; Zhang, J.; Chen, A.; Liu, X.; Xu, G.; Zhou, Z. Activity of a novel titanium-supported bimetallic PtSn/Ti electrode for electrocatalytic oxidation of formic acid and methanol. J. Appl. Electrochem. 2008, 38, 695–701. [Google Scholar] [CrossRef]
- Hassan, H.B. Electrodeposited Pt and Pt-Sn nanoparticles on Ti as anodes for direct methanol fuel cells. J. Fuel Chem. Technol. 2009, 37, 346–354. [Google Scholar] [CrossRef]
- Abe, H.; Matsumoto, F.; Alden, L.R.; Warren, S.C.; Abruña, H.D.; DiSalvo, F.J. Electrocatalytic performance of fuel oxidation by Pt3Ti nanoparticles. J. Am. Chem. Soc. 2008, 130, 5452–5458. [Google Scholar] [CrossRef] [PubMed]
- Shao, Z.-G.; Lin, W.-F.; Zhu, F.; Christensen, P.A.; Zhang, H.; Yi, B. A tubular direct methanol fuel cell with Ti mesh anode. J. Power Sources 2006, 160, 1003–1008. [Google Scholar] [CrossRef]
- Yu, E.H.; Scott, K. Direct methanol alkaline fuel cell with catalysed metal mesh anodes. Electrochem. Commun. 2004, 6, 361–365. [Google Scholar] [CrossRef]
- Freitas, R.G.; Santos, M.C.; Oliveira, R.T.S.; Bulhões, L.O.S.; Pereira, E.C. Methanol and ethanol electroxidation using Pt electrodes prepared by the polymeric precursor method. J. Power Sources 2006, 158, 164–168. [Google Scholar] [CrossRef]
- Ding, E.; More, K.L.; He, T. Preparation and characterization of carbon-supported PtTi alloy electrocatalysts. J. Power Sources 2008, 175, 794–799. [Google Scholar] [CrossRef]
- Brankovic, S.R.; McBreen, J.; Adzic, R.R. Spontaneous deposition of Pt on the Ru(0001) surface. J. Electroanal. Chem. 2001, 503, 99–104. [Google Scholar] [CrossRef]
- Sasaki, K.; Wang, J.X.; Naohara, H.; Marinkovic, N.; More, K.; Inada, H.; Adzic, R.R. Recent advances in platinum monolayer electrocatalysts for oxygen reduction reaction: Scale-up synthesis, structure and activity of Pt shells on Pd cores. Electrochim. Acta 2010, 55, 2645–2652. [Google Scholar] [CrossRef]
- Gokcen, D.; Bae, S.-E.; Brankovic, S.R. Stoichiometry of Pt submonolayer deposition via surface-limited redox replacement reaction. J. Electrochem. Soc. 2010, 157, D582–D587. [Google Scholar] [CrossRef]
- Gokcen, D.; Bae, S.-E.; Brankovic, S.R. Reaction kinetics of metal deposition via surface limited red-ox replacement of underpotentially deposited metal monolayers. Electrochim. Acta 2011, 56, 5545–5553. [Google Scholar] [CrossRef]
- Tegou, A.; Armyanov, S.; Valova, E.; Steenhaut, O.; Hubin, A.; Kokkinidis, G.; Sotiropoulos, S. Mixed platinum–gold electrocatalysts for borohydride oxidation prepared by the galvanic replacement of nickel deposits. J. Electroanal. Chem. 2009, 634, 104–110. [Google Scholar] [CrossRef]
- Vaškelis, A.; Stankevičienė, I.; Jagminienė, A.; Tamašauskaitė-Tamašiūnaitė, L.; Norkus, E. The autocatalytic reduction of copper(II) by cobalt(II) in aqueous diethylenetriamine solutions studied by EQCM. J. Electroanal. Chem. 2008, 622, 136–144. [Google Scholar] [CrossRef]
- Angerstein-Kozlowska, H.; Conway, B.E.; Sharp, W.B.A. The real condition of electrochemically oxidized platinum surfaces: Part I. Resolution of component processes. J. Electroanal. Chem. 1973, 43, 9–36. [Google Scholar] [CrossRef]
- Burke, L.D.; Ahern, M.J.G.; Ryan, T.G. An investigation of the anodic behavior of copper and its anodically produced oxides in aqueous solutions of high pH. J. Electrochem. Soc. 1990, 137, 553–561. [Google Scholar] [CrossRef]
- Brisard, G.M.; Rudnicki, J.D.; McLarnon, F.; Cairns, E.J. Application of probe beam deflection to study the electrooxidation of copper in alkaline media. Electrochim. Acta 1995, 40, 859–865. [Google Scholar] [CrossRef]
- Heli, H.; Jafarian, M.; Mahjani, M.G.; Gobal, F. Electro-oxidation of methanol on copper in alkaline solution. Electrochim. Acta 2004, 49, 4999–5006. [Google Scholar] [CrossRef]
- Pyun, C.H.; Park, S.M. In situ spectroelectrochemical studies on anodic oxidation of copper in alkaline solution. J. Electrochem. Soc. 1986, 133, 2024–2030. [Google Scholar] [CrossRef]
- Abd El Haleem, S.M.; Ateya, B.G. Cyclic voltammetry of copper in sodium hydroxide solutions. J. Electroanal. Chem. 1981, 117, 309–319. [Google Scholar] [CrossRef]
- Fleischmann, M.; Korinek, K.; Pletcher, D. The kinetics and mechanism of the oxidation of amines and alcohols at oxide-covered nickel, silver, copper, and cobalt electrodes. J. Electrochem. Soc. Perkin Trans. 1972, 2, 1396–1403. [Google Scholar] [CrossRef]
- Miller, B. Split-ring disk study of the anodic processes at a copper electrode in alkaline solution. J. Electrochem. Soc. 1969, 116, 1675–1680. [Google Scholar] [CrossRef]
- Mukerjee, S.; Srinivasan, S.; Soriaga, M.P.; McBreen, J. Role of structural and electronic properties of Pt and Pt alloys on electrocatalysis of oxygen reduction: An in situ XANES and EXAFS investigation. J. Electrochem. Soc. 1995, 142, 1409–1422. [Google Scholar] [CrossRef]
- Toda, T.; Igarashi, H.; Watanabe, M. Role of electronic property of Pt and Pt alloys on electrocatalytic reduction of oxygen. J. Electrochem. Soc. 1998, 145, 4185–4188. [Google Scholar] [CrossRef]
- Jaksic, M.M. Hypo–hyper-d-electronic interactive nature of interionic synergism in catalysis and electrocatalysis for hydrogen reactions. Int. J. Hydrog. Energy 2001, 26, 559–578. [Google Scholar] [CrossRef]
- Stamenković, V.; Schmidt, T.J.; Ross, P.N.; Marković, N.M. Surface composition effects in electrocatalysis: Kinetics of oxygen reduction on well-defined Pt3Ni and Pt3Co alloy surfaces. J. Phys. Chem. B 2002, 106, 11970–11979. [Google Scholar] [CrossRef]
- Kitchin, J.R.; Khan, N.A.; Barteau, M.A.; Chen, J.G.; Yakshinskiy, B.; Madey, T.E. Elucidation of the active surface and origin of the weak metal–hydrogen bond on Ni/Pt(1 1 1) bimetallic surfaces: A surface science and density functional theory study. Surf. Sci. 2003, 544, 295–308. [Google Scholar] [CrossRef]
- Kitchin, J.R.; Nørskov, J.K.; Barteau, M.A.; Chen, J.G. Modification of the surface electronic and chemical properties of Pt(111) by subsurface 3d transition metals. J. Chem. Phys. 2004, 120, 10240–10246. [Google Scholar] [CrossRef] [PubMed]
- Greeley, J.; Mavrikakis, M. Alloy catalysts designed from first principles. Nat. Mater. 2004, 3, 810–815. [Google Scholar] [CrossRef] [PubMed]
- Greeley, J.; Mavrikakis, M. Near-surface alloys for hydrogen fuel cell applications. Catal. Today 2006, 111, 52–58. [Google Scholar] [CrossRef]
- Vaškelis, A.; Norkus, E.; Stalnionienė, I.; Stalnionis, G. Effect of the Cu electrode formation conditions and surface nano-scale roughness on formaldehyde anodic oxidation. Electrochim. Acta 2004, 49, 1613–1621. [Google Scholar] [CrossRef]
- Vaškelis, A.; Jačiauskienė, J.; Stalnionienė, I.; Norkus, E. Accelerating effect of ammonia on electroless copper deposition in alkaline formaldehyde-containing solutions. J. Electroanal. Chem. 2007, 600, 6–12. [Google Scholar] [CrossRef]










| Catalyst | Element, at.% | Pt loading, µg cm−2 | |||
|---|---|---|---|---|---|
| Pt | Cu | O | Ti | ||
| b | 0.21 | 94.70 | 4.32 | 0.76 | 2.10 |
| c | 1.37 | 91.90 | 5.75 | 0.98 | 13.60 |
| d | 2.92 | 89.49 | 6.62 | 0.97 | 26.50 |
Publisher’s Note: MDPI stays neutral with regard to jurisdictional claims in published maps and institutional affiliations. |
© 2021 by the authors. Licensee MDPI, Basel, Switzerland. This article is an open access article distributed under the terms and conditions of the Creative Commons Attribution (CC BY) license (https://creativecommons.org/licenses/by/4.0/).
Share and Cite
Balčiūnaitė, A.; Zabielaitė, A.; Upskuvienė, D.; Tamašauskaitė-Tamašiūnaitė, L.; Stalnionienė, I.; Naruškevičius, L.; Vaičiūnienė, J.; Selskis, A.; Juškėnas, R.; Norkus, E. Platinum Nanoparticles Modified Copper/Titanium Electrodes as Electrocatalysts for Borohydride Oxidation. Materials 2021, 14, 7663. https://doi.org/10.3390/ma14247663
Balčiūnaitė A, Zabielaitė A, Upskuvienė D, Tamašauskaitė-Tamašiūnaitė L, Stalnionienė I, Naruškevičius L, Vaičiūnienė J, Selskis A, Juškėnas R, Norkus E. Platinum Nanoparticles Modified Copper/Titanium Electrodes as Electrocatalysts for Borohydride Oxidation. Materials. 2021; 14(24):7663. https://doi.org/10.3390/ma14247663
Chicago/Turabian StyleBalčiūnaitė, Aldona, Aušrinė Zabielaitė, Daina Upskuvienė, Loreta Tamašauskaitė-Tamašiūnaitė, Irena Stalnionienė, Leonas Naruškevičius, Jūratė Vaičiūnienė, Algirdas Selskis, Remigijus Juškėnas, and Eugenijus Norkus. 2021. "Platinum Nanoparticles Modified Copper/Titanium Electrodes as Electrocatalysts for Borohydride Oxidation" Materials 14, no. 24: 7663. https://doi.org/10.3390/ma14247663
APA StyleBalčiūnaitė, A., Zabielaitė, A., Upskuvienė, D., Tamašauskaitė-Tamašiūnaitė, L., Stalnionienė, I., Naruškevičius, L., Vaičiūnienė, J., Selskis, A., Juškėnas, R., & Norkus, E. (2021). Platinum Nanoparticles Modified Copper/Titanium Electrodes as Electrocatalysts for Borohydride Oxidation. Materials, 14(24), 7663. https://doi.org/10.3390/ma14247663

