Analysis and Prediction of Sulfate Erosion Damage of Concrete in Service Tunnel Based on ARIMA Model
Abstract
1. Introduction
2. Materials and Methods
2.1. Project Summary
2.2. Research Program
2.2.1. Test Principle
2.2.2. Test Materials and Experimental Setup
2.3. Data Analysis Method
2.3.1. Calculation of Integrated Wave Velocity
2.3.2. Elastic Relative Dynamic Modulus
2.3.3. Mass Data
2.3.4. ARIMA Model
Test of Model Data: ACF and PACF
Fitting Model Data: AIC and BIC
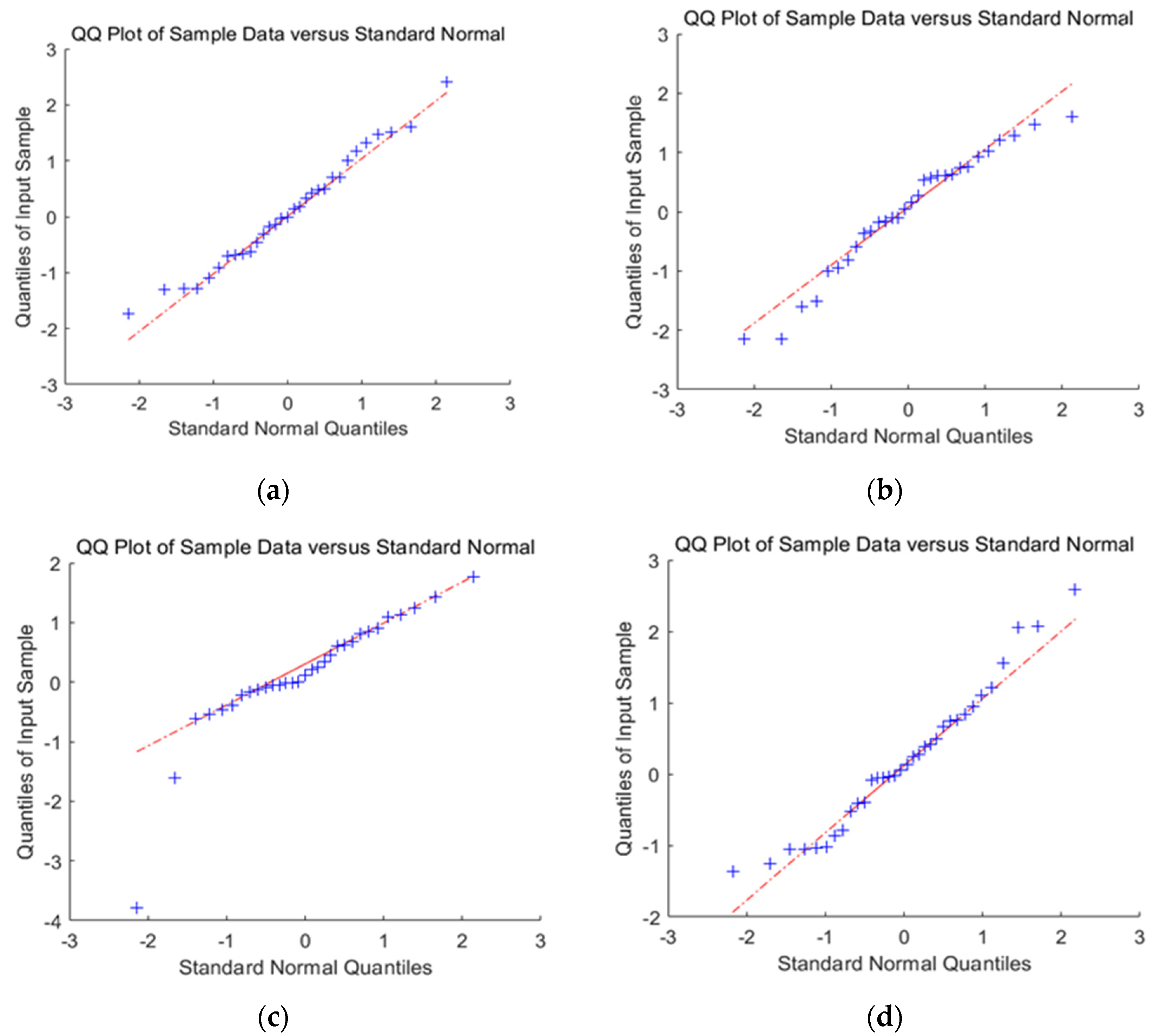
Residual Test of the Model: QQ-Plot and D–W Test
Error Estimation
2.4. Test Procedure
3. Results
3.1. Mass Change
3.2. Elastic Relative Dynamic Modulus
3.3. Prediction Based on ARIMA Time Series
3.3.1. Stationary Analysis of Time Series Data
3.3.2. Stationary Analysis of Time Series Data
3.3.3. Prediction Model Evaluation
4. Conclusions
Author Contributions
Funding
Institutional Review Board Statement
Informed Consent Statement
Data Availability Statement
Conflicts of Interest
References
- Monteiro, P.J.M.; Miller, S.; Horvath, A. Towards sustainable concrete. Nat. Mater. 2017, 16, 698–699. [Google Scholar] [CrossRef] [PubMed]
- Hartell, J.A.; Boyd, A.J.; Ferraro, C.C. Sulfate Attack on Concrete: Effect of Partial Immersion. J. Mater. Civ. Eng. 2011, 23, 572–579. [Google Scholar] [CrossRef]
- Lei, M.; Peng, L.; Shi, C.; Wang, S. Experimental study on the damage mechanism of tunnel structure suffering from sulfate attack. Tunn. Undergr. Space Technol. 2013, 36, 5–13. [Google Scholar] [CrossRef]
- Ma, B.; Gao, X.; Byars, E.A.; Zhou, Q. Thaumasite formation in a tunnel of Bapanxia Dam in Western China. Cem. Concr. Res. 2006, 36, 716–722. [Google Scholar] [CrossRef]
- Huang, B.; Deng, D.; Yuan, Q.; Zheng, B.; Tian, D. Analysis of railway tunnel lining damage in southwest China. Railw. Constr. 2010, 48–52. [Google Scholar] [CrossRef]
- González, M.A.; Irassar, E.F. Ettringite formation in loc C3A Portalnd cement exposed to sodium sulfate solution. Cem. Concr. Res. 1997, 27, 1061–1071. [Google Scholar] [CrossRef]
- Hossack, A.M.; Thomas, M.D. The effect of temperature on the rate of sulfate attack of Portland cement blended mortars in Na2SO4 solution. Cem. Concr. Res. 2015, 73, 136–142. [Google Scholar] [CrossRef]
- Liu, Z.; Xiao, J.; Huang, H.; Yuan, Q.; Deng, D. Physicochemical Study on the Interface Zone of Concrete Exposed to Different Sulfate Solutions. Journal of Wuhan University of Technology. Mater. Sci. Ed. 2006, 21, 167–174. [Google Scholar] [CrossRef]
- Santhanam, M.; Cohen, M.D.; Olek, J. Modeling the effects of solution temperature and concentration during sulfate attack on cement mortars. Cem. Concr. Res. 2002, 32, 585–592. [Google Scholar] [CrossRef]
- Al-Dulaijan, S.U. Sulfate resistance of plain and blended cements exposed to magnesium sulfate solutions. Constr. Build. Mater. 2007, 21, 1792–1802. [Google Scholar] [CrossRef]
- Jiang, X.; Mu, S.; Yang, Z.; Tang, J.; Li, T. Effect of temperature on durability of cement-based material to physical sulfate attack. Constr. Build. Mater. 2021, 266, 120936. [Google Scholar] [CrossRef]
- Guo, J.-J.; Wang, K.; Guo, T.; Yang, Z.-Y.; Zhang, P. Effect of Dry–Wet Ratio on Properties of Concrete Under Sulfate Attack. Materials 2019, 12, 2755. [Google Scholar] [CrossRef]
- Jingfu, K. Several Basic Problems in the Study of Concrete Sulfate Erosion. Concrete 1995, 3, 9–18.8. [Google Scholar]
- Liu, S.; Zhu, M.; Ding, X.; Ren, Z.; Zhao, S.; Zhao, M.; Dang, J. High-Durability Concrete with Supplementary Cementitious Admixtures Used in Corrosive Environments. Crystals 2021, 11, 196. [Google Scholar] [CrossRef]
- Liu, P.; Chen, Y.; Wang, W.; Yu, Z. Effect of physical and chemical sulfate attack on performance degradation of concrete under different conditions. Chem. Phys. Lett. 2020, 745, 137254. [Google Scholar] [CrossRef]
- Chen, X.; Sun, Z.; Pang, J. A Research on Durability Degradation of Mineral Admixture Concrete. Materials 2021, 14, 1752. [Google Scholar] [CrossRef]
- Wu, Q.; Ma, Q.; Huang, X. Mechanical Properties and Damage Evolution of Concrete Materials Considering Sulfate Attack. Materials 2021, 14, 2343. [Google Scholar] [CrossRef]
- He, R.; Zheng, S.; Gan, V.J.; Wang, Z.; Fang, J.; Shao, Y. Damage mechanism and interfacial transition zone characteristics of concrete under sulfate erosion and Dry-Wet cycles. Constr. Build. Mater. 2020, 255, 119340. [Google Scholar] [CrossRef]
- Ren, J.; Lai, Y.; Bai, R.; Qin, Y. The damage mechanism and failure prediction of concrete under wetting–drying cycles with sodium sulfate solution. Constr. Build. Mater. 2020, 264, 120525. [Google Scholar] [CrossRef]
- Liao, K.-X.; Zhang, Y.-P.; Zhang, W.-P.; Wang, Y.; Zhang, R.-L. Modeling constitutive relationship of sulfate-attacked concrete. Constr. Build. Mater. 2020, 260, 119902. [Google Scholar] [CrossRef]
- Silva, Y.F.; Delvasto, S. Sulfate attack resistance of self-compacting concrete with residue of masonry. Constr. Build. Mater. 2021, 268, 121095. [Google Scholar] [CrossRef]
- Box, G.E.; Jenkins, G.M. Time Series Analysis: Forecasting and Control, Revised ed.; Holden-Day: San Francisco, CA, USA, 1976. [Google Scholar]
- Jafarian-Namin, S.; Ghomi, S.M.T.F.; Shojaie, M.; Shavvalpour, S. Annual forecasting of inflation rate in Iran: Autoregressive integrated moving average modeling approach. Eng. Rep. 2021, 3. [Google Scholar] [CrossRef]
- Al-Hamrani, A.; Kucukvar, M.; Alnahhal, W.; Mahdi, E.; Onat, N.C. Green Concrete for a Circular Economy: A Review on Sustainability, Durability, and Structural Properties. Materials 2021, 14, 351. [Google Scholar] [CrossRef] [PubMed]
- Algourdin, N.; Nguyen, Q.; Mesticou, Z.; Larbi, A.S. Durability of recycled fine mortars under freeze–thaw cycles. Constr. Build. Materials 2021, 291, 123330. [Google Scholar] [CrossRef]
- Cheng, H.X.; Meng, X.Y.; Li, J.; Cheng, L. The Design Of The Ultrasonic Nondestructive Testing System Based On The EMAT. MATEC Web Conf. 2016, 44, 2065. [Google Scholar] [CrossRef]
- Lee, T.; Lee, J. Setting time and compressive strength prediction model of concrete by nondestructive ultrasonic pulse velocity testing at early age. Constr. Build. Mater. 2020, 252, 119027. [Google Scholar] [CrossRef]
- Rashidyan, S.; Ng, T.-T.; Maji, A. Estimating the Depth of Concrete Pier Wall Bridge Foundations Using Nondestructive Sonic Echo. J. Nondestruct. Eval. 2017, 36, 56. [Google Scholar] [CrossRef]
- Solís-Carcaño, R.; Moreno, E.I. Evaluation of concrete made with crushed limestone aggregate based on ultrasonic pulse velocity. Constr. Build. Mater. 2008, 22, 1225–1231. [Google Scholar] [CrossRef]
- Karimaei, M.; Dabbaghi, F.; Dehestani, M.; Rashidi, M. Estimating Compressive Strength of Concrete Containing Untreated Coal Waste Aggregates Using Ultrasonic Pulse Velocity. Materials 2021, 14, 647. [Google Scholar] [CrossRef]
- Słoński, M.; Schabowicz, K.; Krawczyk, E. Detection of Flaws in Concrete Using Ultrasonic Tomography and Convolutional Neural Networks. Materials 2020, 13, 1557. [Google Scholar] [CrossRef]
- Candelaria, M.D.E.; Kee, S.-H.; Yee, J.-J.; Lee, J.-W. Effects of Saturation Levels on the Ultrasonic Pulse Velocities and Mechanical Properties of Concrete. Materials 2020, 14, 152. [Google Scholar] [CrossRef]
- Benouis, A.; Grini, A. Estimation of Concrete’s Porosity by Ultrasounds. Phys. Procedia 2011, 21, 53–58. [Google Scholar] [CrossRef][Green Version]
- Godinho, J.P.; Júnior, T.F.D.S.; Medeiros, M.H.F.; Silva, M.S.A. Factors influencing ultrasonic pulse velocity in concrete. Rev. IBRACON Estrut. Mater. 2020, 13, 222–247. [Google Scholar] [CrossRef]
- Lv, H.; Chen, J.; Lu, C. A Statistical Evolution Model of Concrete Damage Induced by Seawater Corrosion. Materials 2021, 14, 1007. [Google Scholar] [CrossRef] [PubMed]
- Climent, M.Á.; Miró, M.; Carbajo, J.; Poveda, P.; De Vera, G.; Ramis, J. Use of Non-Linear Ultrasonic Techniques to Detect Cracks Due to Steel Corrosion in Reinforced Concrete Structures. Materials 2019, 12, 813. [Google Scholar] [CrossRef] [PubMed]
- JJG-070-2006. China Concrete Ultrasonic Testing Instrument Verification; Ministry of Communications of the People’s Republic of China: Beijing, China, 2006. [Google Scholar]
- GB/T-50082. Standard Test Method for Long-Term Performance and Durability of Ordinary Concrete; Ministry of Housing and Urban-Rural Development, PRC and General Administration of Quality Supervision, Inspection and Quarantine, PRC: Beijing, China, 2009. [Google Scholar]
- GB/T-50476-2008. Code for Durability Design of Concrete Structures; Ministry of Housing and Urban-Rural Development, PRC and General Administration of Quality Supervision, Inspection and Quarantine, PRC: Beijing, China, 2008. [Google Scholar]
- Zeidan, M.; Bassuoni, M.T.; Said, A. Physical salt attack on concrete incorporating nano-silica. J. Sustain. Cem. Mater. 2016, 6, 195–216. [Google Scholar] [CrossRef]
- Alyami, M.H.; Alrashidi, R.S.; Mosavi, H.; Almarshoud, M.A.; Riding, K.A. Potential accelerated test methods for physical sulfate attack on concrete. Constr. Build. Mater. 2019, 229, 116920. [Google Scholar] [CrossRef]
- Liu, F.; Zhang, T.; Luo, T.; Zhou, M.; Zhang, K.; Ma, W. Study on the Deterioration of Concrete under Dry–Wet Cycle and Sulfate Attack. Materials 2020, 13, 4095. [Google Scholar] [CrossRef] [PubMed]









| Test Case Name | W/C | Water Consumption (kg·m3) | Gelled Material (kg·m3) | Aggregate (kg·m3) | 28 Days Compressive Strength (MPa) | Concrete Grade |
|---|---|---|---|---|---|---|
| The ratio of the design | 0.53 | 205 | 388 | 1813 | 39.5 | C25 |
| Term | Ca2+ (mg/L) | Mg2+ (mg/L) | Na+ (mg/L) | SO42− (mg/L) | Cl− (mg/L) | HCO3− (mg/L) |
|---|---|---|---|---|---|---|
| ZK83 + 551 | 309.56 | 61.21 | 17.65 | 761.69 | 1.17 | 102.31 |
| ZK83 + 509 | 317.15 | 66.53 | 15.54 | 699.33 | 1.18 | 116.90 |
| ZK83 + 565 | 448.00 | 71.80 | 18.97 | 1020.04 | 1.20 | 122.77 |
| ZK83 + 535 | 451.81 | 70.23 | 18.75 | 815.14 | 0.18 | 122.77 |
| ZK83 + 523 | 419.86 | 68.68 | 16.44 | 824.05 | 1.18 | 116.92 |
| (a) | ||||
| Dry–Wet Cycle | B1 Mass Measurement Value (g) | ARIMA Mass Prediction Value (g) | B1 Erd Measurement Value | Predicted Value of Erd of ARIMA |
| 31 | 421.07 | 421.03 | 1.43 | 1.45 |
| 32 | 420.46 | 420.84 | 1.38 | 1.40 |
| 33 | 420.4 | 420.14 | 1.40 | 1.43 |
| 34 | 419.85 | 419.63 | 1.36 | 1.32 |
| 35 | 418.74 | 419.02 | 1.33 | 1.36 |
| B1 mass prediction: MAE = 0.236 MSE = 0.06808 RMSE = 0.2609 MAPE = 0.00281 B1 Erd prediction: MAE = 0.028 MSE = 0.00084 RMSE = 0.0290 MAPE = 0.1019 | ||||
| (b) | ||||
| Dry–Wet Cycle | B2 Mass Measurement Value (g) | ARIMA Mass Prediction Value (g) | B2 Erd Measurement Value | Predicted Value of Erd of ARIMA |
| 31 | 406.18 | 406.68 | 1.00 | 1.00 |
| 32 | 407.27 | 406.65 | 0.98 | 1.01 |
| 33 | 406.66 | 406.57 | 0.97 | 0.98 |
| 34 | 407.04 | 406.47 | 0.96 | 0.98 |
| 35 | 406.45 | 406.33 | 0.97 | 0.96 |
| B2 mass prediction: MAE = 0.4 MSE = 0.19636 RMSE = 0.4431 MAPE = 0.00467 B2 Erd prediction: MAE = 0.014 MSE = 0.0003 RMSE = 0.0173 MAPE = 0.0721 | ||||
| Specimen to Predict | ARIMA (p,d,q) | MSE | MAE | RMSE | MAPE | D–W | Loss of Failure |
|---|---|---|---|---|---|---|---|
| B1 Mass Prediction | (2,1,1) | 0.06809 | 0.236 | 0.2609 | 0.00281 | 1.7824 | 59 times (403.3 g) |
| Prediction of of B1 Erd | (5,1,3) | 0.00084 | 0.028 | 0.0290 | 0.1019 | 1.8081 | 53 times (0.535) |
| B2 Mass Prediction | (1,0,1) | 0.19636 | 0.4 | 0.4431 | 0.00467 | 2.2272 | 103 times (392.65 g) |
| Prediction of of B2 Erd | (3,1,3) | 0.0003 | 0.014 | 0.01732 | 0.0721 | 1.9091 | 101 times (0.596) |
Publisher’s Note: MDPI stays neutral with regard to jurisdictional claims in published maps and institutional affiliations. |
© 2021 by the authors. Licensee MDPI, Basel, Switzerland. This article is an open access article distributed under the terms and conditions of the Creative Commons Attribution (CC BY) license (https://creativecommons.org/licenses/by/4.0/).
Share and Cite
Liu, D.; Chen, H.; Tang, Y.; Gong, C.; Jian, Y.; Cao, K. Analysis and Prediction of Sulfate Erosion Damage of Concrete in Service Tunnel Based on ARIMA Model. Materials 2021, 14, 5904. https://doi.org/10.3390/ma14195904
Liu D, Chen H, Tang Y, Gong C, Jian Y, Cao K. Analysis and Prediction of Sulfate Erosion Damage of Concrete in Service Tunnel Based on ARIMA Model. Materials. 2021; 14(19):5904. https://doi.org/10.3390/ma14195904
Chicago/Turabian StyleLiu, Dunwen, Haofei Chen, Yu Tang, Chun Gong, Yinghua Jian, and Kunpeng Cao. 2021. "Analysis and Prediction of Sulfate Erosion Damage of Concrete in Service Tunnel Based on ARIMA Model" Materials 14, no. 19: 5904. https://doi.org/10.3390/ma14195904
APA StyleLiu, D., Chen, H., Tang, Y., Gong, C., Jian, Y., & Cao, K. (2021). Analysis and Prediction of Sulfate Erosion Damage of Concrete in Service Tunnel Based on ARIMA Model. Materials, 14(19), 5904. https://doi.org/10.3390/ma14195904

