Performance of Reinforced Concrete Beams Strengthened with Carbon Fiber Reinforced Polymer Strips
Abstract
:1. Introduction
2. Experimental Program
2.1. Test Parameters and Specimen Details
2.2. Test Measurements and Setup
2.3. Material Properties
3. Test Results
3.1. Cracking and Failure Mode
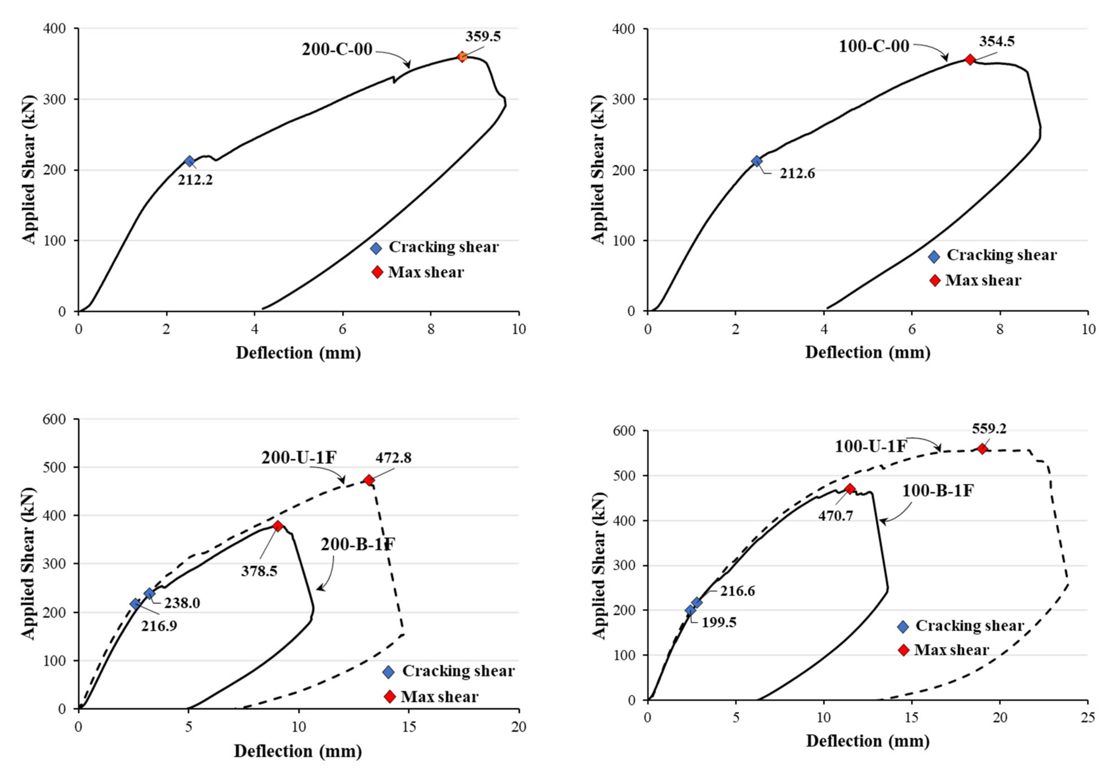
3.2. Load vs. Deflection Behavior
3.3. Shear Strength Contribution of Materials
3.4. Stirrup Strain
4. Discussion
5. Conclusions
- All the specimens showed ultimate failure due to strip fracture, except the specimens with side-bonded configuration in which bond delamination governed the behavior. Even with higher total amount of CFRP material, the contribution of the horizontal CFRP strips to shear and deflection in members with a bidirectional layout was negligible.
- Despite pre-cracking, the maximum shear capacity of the repaired members was slightly higher than that of the members strengthened without pre-cracking. The repaired specimens had a higher shear contribution of the CFRP strips than the pre-strengthened specimens.
- With identical amount of CFRP material, the members with higher amount of transverse reinforcement showed a higher shear contribution of the CFRP strips. This implies that the strengthening effect of CFRP materials can be maximized when the spacing of stirrups is reduced.
- The use of a bidirectional CFRP layout increased the efficiency of transverse reinforcement. A comparison of the results demonstrates that the measured stirrup strain at a fixed load level was well-distributed in members with bidirectional CFRP layout in members with unidirectional layout.
- The horizontal CFRP strips could not completely prevent the delamination failure of the vertical CFRP strips in members with side-bounded configuration. This indicates that CFRP anchors cannot be effectively replaced by horizontal CFRP strips in case of bidirectional layout.
Author Contributions
Funding
Institutional Review Board Statement
Informed Consent Statement
Data Availability Statement
Conflicts of Interest
References
- Bourget, S.; El-Saikaly, G.; Chaallal, O. Behavior of Reinforced Concrete T-Beams Strengthened in Shear Using Closed Carbon Fiber-Reinforced Polymer Stirrups Made of Laminates and Ropes. ACI Struct. J. 2017, 114, 1087–1098. [Google Scholar] [CrossRef]
- Norris, T.; Saadatmanesh, H.; Ehsani, M.R. Shear and Flexural Strengthening of R/C Beams with Carbon Fiber Sheets. J. Struct. Eng. 1997, 123, 903–911. [Google Scholar] [CrossRef]
- Shear Strengthening of Reinforced Concrete Beams Using Epoxy-Bonded FRP Composites. ACI Struct. J. 1998, 95, 107–115. [CrossRef]
- Islam, M.; Mansur, M.; Maalej, M. Shear strengthening of RC deep beams using externally bonded FRP systems. Cem. Concr. Compos. 2005, 27, 413–420. [Google Scholar] [CrossRef]
- Zhang, Z.; Hsu, C.-T.T. Shear Strengthening of Reinforced Concrete Beams Using Carbon-Fiber-Reinforced Polymer Laminates. J. Compos. Constr. 2005, 9, 158–169. [Google Scholar] [CrossRef]
- Adhikary, B.B.; Mutsuyoshi, H. Behavior of Concrete Beams Strengthened in Shear with Carbon-Fiber Sheets. J. Compos. Constr. 2004, 8, 258–264. [Google Scholar] [CrossRef]
- Khalifa, A.; Nanni, A. Improving shear capacity of existing RC T-section beams using CFRP composites. Cem. Concr. Compos. 2000, 22, 165–174. [Google Scholar] [CrossRef]
- Mofidi, A.; Chaallal, O. Effect of Steel Stirrups on Shear Resistance Gain Due to Externally Bonded Fiber-Reinforced Polymer Strips and Sheets. ACI Struct. J. 2014, 111, 353–361. [Google Scholar] [CrossRef]
- Performance of Reinforced Concrete T-Girders Strengthened in Shear with Carbon Fiber-Reinforced Polymer Fabric. ACI Struct. J. 2002, 99, 335–343. [CrossRef]
- Behavior of Reinforced Concrete T-Beams Strengthened in Shear with Carbon Fiber-Reinforced Polymer—An Experimental Study. ACI Struct. J. 2006, 103, 339–347. [CrossRef]
- Mofidi, A.; Chaallal, O. Shear Strengthening of RC Beams with Externally Bonded FRP Composites: Effect of Strip-Width-to-Strip-Spacing Ratio. J. Compos. Constr. 2011, 15, 732–742. [Google Scholar] [CrossRef]
- Dirar, S.; Lees, J.M.; Morley, C.T. Precracked Reinforced Concrete T-Beams Repaired in Shear with Prestressed Carbon Fiber-Reinforced Polymer Straps. ACI Struct. J. 2013, 110, 215–224. [Google Scholar] [CrossRef]
- Deniaud, C.; Cheng, J.J.R. Reinforced Concrete T-Beams Strengthened in Shear with Fiber Reinforced Polymer Sheets. J. Compos. Constr. 2003, 7, 302–310. [Google Scholar] [CrossRef]
- Kim, Y.; Quinn, K.; Satrom, N.; Garcia, J.; Sun, W.; Ghannoum, W.M.; Jirsa, J.O. Shear Strengthening of Reinforced and Prestressed Concrete Beams Using Carbon Fiber Reinforced Polymer (Cfrp) Sheets And Anchors; Center for Transportation Research: Austin, TX, USA, 2012; Available online: https://texashistory.unt.edu/ark:/67531/metapth281707/ (accessed on 4 October 2021).
- Koutas, L.; Triantafillou, T. Use of Anchors in Shear Strengthening of Reinforced Concrete T-Beams with FRP. J. Compos. Constr. 2013, 17, 101–107. [Google Scholar] [CrossRef]
- Bousselham, A.; Chaallal, O. Mechanisms of Shear Resistance of Concrete Beams Strengthened in Shear with Externally Bonded FRP. J. Compos. Constr. 2008, 12, 499–512. [Google Scholar] [CrossRef]
- Täljsten, B. Strengthening concrete beams for shear with CFRP sheets. Constr. Build. Mater. 2003, 17, 15–26. [Google Scholar] [CrossRef]
- Cao, S.Y.; Chen, J.-F.; Teng, J.G.; Hao, Z. Debonding in RC Beams Shear Strengthened with Complete FRP Wraps. J. Compos. Constr. 2005, 9, 417–428. [Google Scholar] [CrossRef]
- Fiber-Reinforced Polymer Shear Strengthening of Reinforced Concrete Beams: Experimental Study and Analytical Modeling. ACI Struct. J. 2006, 103, 720–728. [CrossRef]
- Orton, S.L.; Jirsa, J.O.; Bayrak, O. Design Considerations of Carbon Fiber Anchors. J. Compos. Constr. 2008, 12, 608–616. [Google Scholar] [CrossRef]
- Kim, Y.J.; Hmidan, A.; Yazdani, S. Variable Shear Span-Depth Ratios for Reinforced Concrete Beams Strengthened with Various CFRP Configurations. ACI Struct. J. 2015, 112, 635–643. [Google Scholar] [CrossRef]
- Chalioris, C.E.; Kytinou, V.K.; Voutetaki, M.E.; Papadopoulos, N.A. Repair of Heavily Damaged RC Beams Failing in Shear Using U-Shaped Mortar Jackets. Buildings 2019, 9, 146. [Google Scholar] [CrossRef] [Green Version]
- Chalioris, C.E.; Zapris, A.G.; Karayannis, C.G. U-Jacketing Applications of Fiber-Reinforced Polymers in Reinforced Concrete T-Beams against Shear—Tests and Design. Fibers 2020, 8, 13. [Google Scholar] [CrossRef] [Green Version]
- Kim, C.; Ghannoum, W.M.; Jirsa, J.O. Behavior of Reinforced Concrete Panels Strengthened with Carbon Fiber-Reinforced Polymers. ACI Struct. J. 2016, 113, 1077–1084. [Google Scholar] [CrossRef]
- Alotaibi, N.K. Shear Strengthening of Reinforced Concrete Beams with Bi-Directional Carbon Fiber Reinforced Polymer (CFRP) Strips and CFRP Anchors. Master’s Thesis, The University of Texas at Austin, Austin, TX, USA, 2014. [Google Scholar]
- Kim, C.; Jirsa, J.O.; Ghannoum, W.M. Performance of Concrete Panels Reinforced with Carbon Fiber–Reinforced Polymer Materials. J. Compos. Constr. 2017, 21, 04016100. [Google Scholar] [CrossRef]
- 440.2R-08 Guide for the Design and Construction of Externally Bonded FRP Systems for Strengthening Concrete Structures. 2008. Available online: https://www.concrete.org/store/productdetail.aspx?ItemID=440208&Format=PROTECTED_PDF&Language=English&Units=US_Units (accessed on 4 October 2021).
- Kim, Y.; Quinn, K.; Ghannoum, W.M.; Jirsa, J.O. Shear Strengthening of Reinforced Concrete T-Beams Using Anchored CFRP Materials. ACI Struct. J. 2014, 111, 1027–1036. [Google Scholar] [CrossRef]
- Chen, J.F.; Teng, J.G. Anchorage Strength Models for FRP and Steel Plates Bonded to Concrete. J. Struct. Eng. 2001, 127, 784–791. [Google Scholar] [CrossRef]


















| Specimen Index | Cross-Sectional Details | fc’ (MPa) | CFRP Strip | Stirrup Spacing, s (mm) | |||||
|---|---|---|---|---|---|---|---|---|---|
| b (mm) | h (mm) | ff (MPa) | wf,v (mm) | sf,v (mm) | wf,h (mm) | sf,h (mm) | |||
| 200-C-00 | 300 | 500 | 36.8 | N/A | 200 | ||||
| 200-U-1F | 300 | 500 | 36.8 | 4600 | 100 | 200 | N/A | 200 | |
| 200-U-1F(R) | 300 | 500 | 36.8 | 4600 | 100 | 200 | 200 | ||
| 200-B-1F | 300 | 500 | 36.8 | 4600 | 50 | 200 | 50 | 200 | 200 |
| 200-B-1F(R) | 300 | 500 | 36.8 | 4600 | 50 | 200 | 50 | 200 | 200 |
| 100-C-00 | 300 | 500 | 36.8 | N/A | 100 | ||||
| 100-U-1F | 300 | 500 | 36.8 | 4600 | 100 | 200 | N/A | 100 | |
| 100-U-1F(R) | 300 | 500 | 36.8 | 4600 | 100 | 200 | 100 | ||
| 100-B-1F | 300 | 500 | 36.8 | 4600 | 50 | 200 | 50 | 100 | 100 |
| 100-B-1F(R) | 300 | 500 | 36.8 | 4600 | 50 | 200 | 50 | 100 | 100 |
| 200-U-1S | 300 | 500 | 31.8 | 4600 | 100 | 200 | N/A | 200 | 200 |
| 200-U-1U | 300 | 500 | 31.8 | 4600 | 100 | 200 | 200 | 200 | |
| 200-U-1F | 300 | 500 | 31.8 | 4600 | 100 | 200 | 200 | 200 | |
| 200-U-2F | 300 | 500 | 31.8 | 4600 | 100 | 200 | 200 | 200 | |
| 200-B-1S | 300 | 500 | 31.8 | 4600 | 100 | 200 | 100 | 200 | 200 |
| 200-B-1U | 300 | 500 | 31.8 | 4600 | 100 | 200 | 100 | 200 | 200 |
| 200-B-1F | 300 | 500 | 31.8 | 4600 | 100 | 200 | 100 | 200 | 200 |
| 200-B-1F (2) | 300 | 500 | 31.8 | 4600 | 100 | 200 | 100 | 200 | 200 |
| Test Parameters | Transverse Reinforcement, D6 | Longitudinal Reinforcement, D25 | |
|---|---|---|---|
| First Test Series | fy (MPa) | 340 | 660 |
| εy | 0.0023 | 0.0034 | |
| E (MPa) | 148,000 | 195,000 | |
| Second Test Series | fy (MPa) | 389 | 400 |
| εy | 0.0024 | 0.0021 | |
| E (MPa) | 159,000 | 195,000 | |
| Specimen | VACI (kN) | Vtest (kN) | Vtest/VACI | εs,max | εf,max | Failure Mode |
|---|---|---|---|---|---|---|
| 200-C-00 | 179 | 360 | 2.01 | 0.0147 | - | Shear-compression |
| 200-U-1F | 235 | 473 | 2.01 | 0.0133 | 0.0075 | Strip fracture |
| 200-U-1F(R) | 235 | 519 | 2.21 | 0.0150 | 0.0101 | Strip fracture |
| 200-B-1F | 207 | 379 | 1.83 | 0.0137 | 0.0081 | Strip fracture |
| 200-B-1F(R) | 207 | 419 | 2.02 | 0.0109 | 0.0079 | Strip fracture |
| 100-C-00 | 226 | 356 | 1.57 | 0.0131 | - | Shear-compression |
| 100-U-1F | 282 | 560 | 1.99 | 0.0163 | 0.0127 | Strip fracture |
| 100-U-1F(R) | 282 | 581 | 2.06 | 0.0163 | 0.0126 | Strip fracture |
| 100-B-1F | 254 | 471 | 1.85 | 0.0143 | 0.0102 | Strip fracture |
| 100-B-1F(R) | 254 | 496 | 1.95 | 0.0157 | 0.0104 | Strip fracture |
| 200-U-1S | 212 | 304 | 1.43 | 0.0046 | 0.0062 | Strip delimitation |
| 200-U-1U | 213 | 332 | 1.56 | 0.0033 | 0.0073 | Strip fracture |
| 200-U-1F | 219 | 400 | 1.83 | 0.0040 | 0.0170 | Strip fracture |
| 200-U-2F | 269 | 542 | 2.01 | 0.0031 | 0.0103 | Strip fracture |
| 200-B-1S | 212 | 310 | 1.46 | 0.0075 | 0.0047 | Strip delimitation |
| 200-B-1U | 213 | 321 | 1.50 | 0.0094 | 0.0024 | Strip fracture |
| 200-B-1F | 219 | 414 | 1.89 | 0.0142 | 0.0103 | Strip fracture |
| 200-B-1F (2) | 219 | 429 | 1.96 | 0.0113 | 0.0095 | Strip fracture |
| Specimen | Vc,test/Vc,ACI | Vs,test/Vs,ACI | Vf,test/Vf,ACI | Vf,ACI/Vs,ACI | Vf,test/Vs,test |
|---|---|---|---|---|---|
| 200-C-00 | 1.96 | 2.13 | - | - | - |
| 200-U-1F | 1.66 | 2.29 | 2.63 | 1.18 | 1.35 |
| 200-U-1F(R) | 1.17 | 2.33 | 4.60 | 1.18 | 2.32 |
| 200-B-1F | 1.62 | 2.22 | 2.14 | 0.59 | 0.57 |
| 200-B-1F(R) | 1.86 | 2.17 | 2.56 | 0.59 | 0.69 |
| 100-C-00 | 1.24 | 2.04 | - | - | - |
| 100-U-1F | 0.24 | 2.41 | 5.44 | 0.59 | 1.33 |
| 100-U-1F(R) | 0.48 | 2.07 | 5.81 | 0.59 | 1.65 |
| 100-B-1F | 0.89 | 2.41 | 4.60 | 0.29 | 0.56 |
| 100-B-1F(R) | 0.86 | 2.41 | 5.62 | 0.29 | 0.69 |
| 200-U-1S | 1.79 | 1.08 | 0.76 | 1.00 | - |
| 200-U-1U | 1.58 | 1.24 | 1.57 | 1.03 | 0.71 |
| 200-U-1F | 2.32 | 1.11 | 1.34 | 1.03 | 1.30 |
| 200-U-2F | 2.42 | 1.76 | 1.59 | 2.06 | 1.24 |
| 200-B-1S | 1.88 | 1.05 | 0.67 | 1.00 | 1.86 |
| 200-B-1U | 1.91 | 1.20 | 0.67 | 1.03 | 0.64 |
| 200-B-1F | 1.18 | 1.66 | 3.60 | 1.03 | 0.58 |
| 200-B-1F (2) | 2.60 | 1.58 | 0.81 | 1.03 | 2.24 |
Publisher’s Note: MDPI stays neutral with regard to jurisdictional claims in published maps and institutional affiliations. |
© 2021 by the authors. Licensee MDPI, Basel, Switzerland. This article is an open access article distributed under the terms and conditions of the Creative Commons Attribution (CC BY) license (https://creativecommons.org/licenses/by/4.0/).
Share and Cite
Haroon, M.; Moon, J.S.; Kim, C. Performance of Reinforced Concrete Beams Strengthened with Carbon Fiber Reinforced Polymer Strips. Materials 2021, 14, 5866. https://doi.org/10.3390/ma14195866
Haroon M, Moon JS, Kim C. Performance of Reinforced Concrete Beams Strengthened with Carbon Fiber Reinforced Polymer Strips. Materials. 2021; 14(19):5866. https://doi.org/10.3390/ma14195866
Chicago/Turabian StyleHaroon, Muhammad, Jae Sang Moon, and Changhyuk Kim. 2021. "Performance of Reinforced Concrete Beams Strengthened with Carbon Fiber Reinforced Polymer Strips" Materials 14, no. 19: 5866. https://doi.org/10.3390/ma14195866
APA StyleHaroon, M., Moon, J. S., & Kim, C. (2021). Performance of Reinforced Concrete Beams Strengthened with Carbon Fiber Reinforced Polymer Strips. Materials, 14(19), 5866. https://doi.org/10.3390/ma14195866

