Corrosion Product Film of a Medium-Mn Steel Exposed to Simulated Marine Splash Zone Environment
Abstract
:1. Introduction
2. Materials and Methods
2.1. Material Preparation
2.2. Wet–Dry Cyclic Corrosion Experiment
2.3. Electrochemical Testing
2.4. Characterization of Corrosion Products
3. Results and Discussion
3.1. Metallographic Organization
3.2. Corrosion Kinetics
3.3. Corrosion Products Composition
3.4. Surface and Cross-Section Morphology of Corrosion Products
3.5. Element Distribution and Valence State
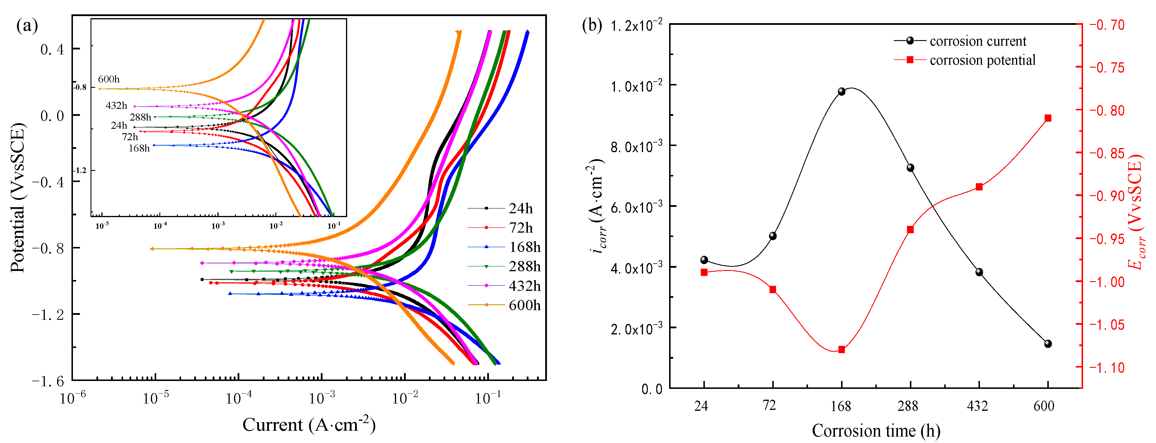
3.6. Electrochemical Behavior
4. Conclusions
- The corrosion rates increase first; then, they decrease and tend to be stable. At the initial stage of corrosion, the cathodic process includes oxygen reduction and the reduction of rust layer components; the strong or weak change of these two effects is the main reason for the increase in initial corrosion rate, and the turning of velocity is caused by the compactness or physicochemical properties of the rust layer. With the extension of corrosion time, the rust layer changes from loose to dense.
- In the dry–wet cyclic corrosion environment, the corrosion products of the sample mainly include FexOy, MnxOy, γ-FeOOH, and a small amount of (Fe,Mn)xOy, and the valence state of iron compounds and manganese compounds in different corrosion stages changed obviously.
- The corrosivity of the rust layer is related to the enrichment of alloy elements. In the initial corrosion products, the content of Mn is much higher than that of alloy elements Ni, Mo, and Cr, and it is significantly enriched in the outer rust layer, which promotes the process of corrosion electrochemical reaction. The content of Ni in the inner rust layer is high. The element semi-quantitative analysis of corrosion products shows that the atomic concentrations of Cr and Mo increase significantly in later corrosion products, indicating that the dense isolation layer formed by alloy element compounds in corrosion products is the main factor to improve the protection ability of corrosion product film at the end corrosion stage of the sample.
- With corrosion durations, the corrosion current density (icorr) of the corrosion product film first increased and then decreased, and the corrosion potential (Ecorr) first becomes negative and then gradually shifts to positive. The impedance fit also showed an increase in both corrosion product resistance (Rp) and charge transfer resistance (Rt), indicating a gradual increase in corrosion product film stability.
Author Contributions
Funding
Institutional Review Board Statement
Informed Consent Statement
Data Availability Statement
Conflicts of Interest
References
- Wahab, D.A.; Blanco, D.E.; Ariffin, A.K.; Wang, J. A review on the applicability of remanufacturing in extending the life cycle of marine or offshore components and structures. Ocean. Eng. 2018, 169, 125–133. [Google Scholar] [CrossRef]
- Wang, Y.; Wang, N. The role of the marine industry in China’s national economy:An input–output analysis. Mar. Pol. 2019, 99, 42–49. [Google Scholar] [CrossRef]
- Wu, L.; Zhan, H.B. Analysis of China’s international cooperation in marine energy from the perspective of global ocean governance. J. Pac. 2018, 26, 56–69. [Google Scholar]
- Hu, J.; Du, L.X.; Sun, G.S.; Xie, H.; Misra, R.D. The determining role of reversed austenite in enhancing toughness of a novel ultra-low carbon medium manganese high strength steel. Scr. Mater. 2015, 104, 87–90. [Google Scholar] [CrossRef]
- Hu, J.; Du, L.X.; Liu, H.; Sun, G.S.; Xie, H.; Yi, H.L.; Misra, R.D. Structure-Mechanical Property Relationship in a Low-C Medium-Mn Ultra High Strength Heavy Plate Steel with Austenite-Martensite Submicro-Laminate Structure. Mater. Sci. Eng. A 2015, 647, 144–151. [Google Scholar] [CrossRef]
- Choi, J.K.; Lee, S.G.; Park, Y.H.; Han, I.W.; Morris, J.W., Jr. High Manganese Austenitic Steel for Cryogenic Applications. In Proceedings of the Twenty-Second International Offshore and Polar Engineering Conference, Rhodes, Greece, 17–22 June 2012; pp. 29–35. [Google Scholar]
- Liu, Z.Y.; Tang, S.; Chen, J.; Ye, Q.B.; Wang, G.D. Latest Progress on Development and Production of Steels for Offshore Platform and Their Development Tendency. Angang Technol. 2015, 1, 1–7. (In Chinese) [Google Scholar]
- Allam, T.; Bleck, W.; Klinkenberg, C.; Kintscher, B.; Krupp, U.; Rudnizki, J. The continuous casting behavior of medium manganese steels. J. Mater. Res. Technol. 2021, 15, 292–305. [Google Scholar] [CrossRef]
- Allam, T.; Guo, X.; Sevsek, S.; Lipińska-Chwałek, M.; Hamada, A.; Ahmed, E.; Bleck, W. Development of a Cr-Ni-V-N Medium Manganese Steel with Balanced Mechanical and Corrosion Properties. Metals 2019, 9, 705. [Google Scholar] [CrossRef] [Green Version]
- Sohn, S.S.; Hong, S.; Lee, J.; Suh, B.C.; Kim, S.K.; Lee, B.J.; Kim, N.J.; Lee, S. Effects of Mn and Al Contents on Cryogenic-Temperature Tensile and Charpy Impact Properties in Four Austenitic High-Mn Steels. Acta Mater. 2015, 100, 39–52. [Google Scholar] [CrossRef]
- Chang, Y.; Wang, C.Y.; Zhao, K.M.; Dong, H.; Yan, J.W. An Introduction to Medium-Mn Steel: Metallurgy, Mechanical Properties and Warm Stamping Process. Mater. Des. 2016, 94, 424–432. [Google Scholar] [CrossRef]
- Jeffrey, R.; Melchers, R.E. Corrosion of V ertical Mild Steel Strips in Seawater. Corros. Sci. 2009, 51, 2291–2297. [Google Scholar] [CrossRef]
- Xiang, Z.R.; Qiao, H.G.; Cai, L.F. Study on the Corrosion Peak of Carbon Steel in Marine Splash Zone. Chin. J. Oceanol. Limn. 1997, 15, 378–380. [Google Scholar] [CrossRef]
- Humble, H. Cathodic Protection of Steel Piling in Sea Water. Corrosion 1949, 5, 292–302. [Google Scholar] [CrossRef]
- Wu, W.; Hao, W.K.; Liu, Z.Y.; Li, X.G.; Du, C.W.; Liao, W.J. Corrosion Behavior of E690 High-Strength Steel in Alternating Wet-Dry Marine Environment with Different pH Values. J. Mater. Eng. Perform. 2015, 24, 4636–4646. [Google Scholar] [CrossRef]
- Zhou, Y.L.; Chen, J.; Xu, Y.; Liu, Z. Effects of Cr, Ni and Cu on the Corrosion Behavior of Low Carbon Microalloying Steel in a Cl-Containing Environment. J. Mater. Sci. Technol. 2013, 29, 168–174. [Google Scholar] [CrossRef]
- Cano, H.; Neff, D.; Morcillo, M.; Dillmann, P.; Diaz, I.; de la Fuente, D. Characterization of corrosion products formed on Ni 2.4 wt%-Cu 0.5 wt%-Cr 0.5 wt% weathering steel exposed in marine atmospheres. Corros. Sci. 2014, 87, 438–451. [Google Scholar] [CrossRef] [Green Version]
- Wang, H.H.; Du, M. Corrosion Behavior of a Low-Carbon Steel in Simulated Marine Splash Zone. Acta Metall. Sin. 2017, 30, 585–593. [Google Scholar] [CrossRef]
- Calero, J.; Alcántara, J.; Chico, B.; Díaz, I.; Simancas, J.; de la Fuente, D.; Morcillo, M. Wet/Dry Accelerated Laboratory Test to Simulate the Formation of Multilayered Rust on Carbon Steel in Marine Atmospheres. Corros. Eng. Sci. Technol. 2017, 52, 178–187. [Google Scholar] [CrossRef] [Green Version]
- Chen, M.D.; Pang, K.; Liu, Z.; Wu, J.; Li, X. Influence of Rust Permeability on Corrosion of E690 Steel in Industrial and Non-industrial Marine Splash Zones. J. Mater. Eng. Perform. 2018, 27, 3742–3749. [Google Scholar] [CrossRef]
- Zhang, D.; Gao, X.; Su, G.; Du, L.; Liu, Z.; Hu, J. Corrosion Behavior of Low-C Medium-Mn Steel in Simulated Marine Immersion and Splash Zone Environment. J. Mater. Eng. Perform. 2017, 26, 168–178. [Google Scholar] [CrossRef]
- Hami, A.U.; Saricimen, H.; Quddus, A.; Mohammed, A.I.; Al-Hems, L.M. Corrosion Study of SS304 and SS316 Alloys in Atmo-spheric, Underground and Seawater Splash Zone In the Arabian Gulf. Corros. Eng. Sci. Technol. 2017, 52, 134–140. [Google Scholar]
- Tanaka, H.; Hatanaka, N.; Muguruma, M.; Ishikawa, T.; Nakayama, T. Influence of Anions on the Formation of Artificial SteelRust Particles Prepared from Acidic Aqueous Fe(III) Solution. Corros. Sci. 2013, 66, 136–141. [Google Scholar] [CrossRef]
- Singh, D.; Yadav, S.; Saha, J.K. Role of Climatic Conditions on Corrosion Characteristics of Structural Steels. Corros. Sci. 2008, 50, 93–110. [Google Scholar] [CrossRef]
- Hao, L.; Zhang, S.; Dong, J.; Ke, W. Evolution of Corrosion of MnCuP Weathering Steel Submitted to Wet/Dry Cyclic Tests in a Simulated Coastal Atmosphere. Corros. Sci. 2012, 58, 175–180. [Google Scholar] [CrossRef]
- Kamimura, T.; Hara, S.; Miyuki, H.; Yamashita, M.; Uchida, H. Composition and Protective Ability of Rust Layer Formed on Weathering Steel Exposed to V arious Environments. Corros. Sci. 2006, 48, 2799–2812. [Google Scholar] [CrossRef]
- Hao, L.; Zhang, S.X.; Dong, J.H.; Ke, W. A Study of the Evolution of Rust on Mo-Cu-Bearing Fire-Resistant Steel Submitted to Simulated Atmospheric Corrosion. Corros. Sci. 2012, 54, 244–250. [Google Scholar] [CrossRef]
- Allam, T.; Guo, X.; Lipinska-Chwalek, M.; Hamada, A.; Ahmed, E.; Bleck, W. Impact of precipitates on the hydrogen embrittlement behavior of a V-alloyed medium-manganese austenitic stainless steel. J. Mater. Res. Technol. 2020, 9, 13524–13538. [Google Scholar] [CrossRef]
- Raabe, D.; Sandlöbes, S.; Millán, J.; Ponge, D.; Assadi, H.; Herbig, M.; Choi, P.P. Segregation engineering enables nanoscale martensite to austenite phasetransformation at grain boundaries: A pathway to ductile martensite. Acta Mater. 2013, 61, 6132–6152. [Google Scholar] [CrossRef]
- Ha, H.Y.; Jang, M.H.; Lee, T.H. Influences of Mn in Solid Solution on the Pitting Corrosion Behavior of Fe-23 wt%Cr-Based Alloys. Electrochim. Acta 2016, 191, 864–875. [Google Scholar] [CrossRef]
- Mesquita, T.J.; Chauveau, E.; Mantel, M.; Kinsman, N.; Roche, V.; Nogueira, R.P. Lean Duplex Stainless Steels—The Role of Molybde- num in Pitting Corrosion of Concrete Reinforcement Studied with Industrial and Laboratory Castings. Mater. Chem. Phys. 2012, 132, 967–972. [Google Scholar] [CrossRef]
- Lv, J.L.; Liang, T.X.; Wang, C. Surface Enriched Molybdenum Enhancing the Corrosion Resistance of 316L Stainless Steel. Mater. Lett. 2016, 171, 38–41. [Google Scholar]
- Dillmann, P.; Mazaudier, F.; Hœrle, S. Advances in Understanding Atmospheric Corrosion of Iron. I. Rust Characterisation of Ancient Ferrous Artefacts Exposed to Indoor Atmospheric Corrosion. Corros. Sci. 2004, 46, 1401–1429. [Google Scholar] [CrossRef]
- Nishimura, T.; Kodama, T. Clarification of Chemical State for Alloying Elements in Iron Rust Using a Binary-Phase Potential–pH Diagram and Physical Analyses. Corros. Sci. 2003, 45, 1073–1084. [Google Scholar] [CrossRef]
- Nady, H.; El-Rabiei, M.M.; Samy, M. Corrosion Behavior and Electrochemical Properties of Carbon Steel, Commercial Pure Titanium, Copper and Copper-aluminum-nickel Alloy in 3.5% Sodium Chloride Containing Sulfide Ions. Egypt. J. Petrol. 2017, 26, 79–94. [Google Scholar] [CrossRef] [Green Version]
- Cheng, Z.J.; Song, D.; Jiang, J.Y.; Jiang, J.H.; Ma, X.L.; You, K.; Ma, A.B. Microstructure Characteristic and Electrochemical Corrosion Behavior of Surface Nano-crystallization Modified Carbon Steel. J. Iron Steel Res. Int. 2016, 23, 1281–1289. [Google Scholar] [CrossRef]
- Seikh, A.H.; Halfa, H.; Baig, M.; Khan, S.M. Microstructure Characterization and Corrosion Resistance Behavior of New Cobalt-Free Maraging Steel Produced Through ESR Techniques. J. Mater. Eng. Perform. 2017, 26, 1589–1597. [Google Scholar] [CrossRef]














| Corrosion Durations (h) | 24 | 72 | 168 | 288 | 432 | 600 | |
|---|---|---|---|---|---|---|---|
| corrosion rate (mm/y) | 9Ni steel medium Mn steel high Mn steel | 0.7169 0.7105 0.8266 | 0.9600 0.9691 1.3813 | 0.6696 1.4230 1.7250 | 0.6543 1.0818 0.8747 | 0.6340 0.9639 0.7020 | 0.6025 0.9274 0.6240 |
| Corrosion Durations | 24 h | 72 h | 168 h | 288 h | 432 h | 600 h |
|---|---|---|---|---|---|---|
| Ecorrsion (V) icorrsion (A/cm2) ba, V/dec bc, V/dec | −0.99 4.22 × 10−3 0.077 −0.057 | −1.01 5.01 × 10−3 0.069 −0.049 | −1.08 9.77 × 10−3 0.042 −0.02 | −0.94 7.26 × 10−3 0.05 −0.046 | −0.89 3.82 × 10−3 0.063 −0.049 | −0.81 1.46 × 10−3 0.041 −0.027 |
| Parameters | Rs (Ω·cm2) | Q1 (F·cm–2) | N | Rp (Ω·cm2) | Q2 (F·cm–2) | n | Rt (Ω·cm2) |
|---|---|---|---|---|---|---|---|
| 72 h 288 h 600 h | 6.955 5.065 4.364 | 9.248 × 10−3 2.650 × 10−3 1.315 × 10−2 | 0.862 0.733 0.707 | 8.857 9.182 17.26 | 5.748 × 10−2 2.604 × 10−3 2.679 × 10−2 | 0.705 0.719 0.697 | 252.7 353.6 654.5 |
Publisher’s Note: MDPI stays neutral with regard to jurisdictional claims in published maps and institutional affiliations. |
© 2021 by the authors. Licensee MDPI, Basel, Switzerland. This article is an open access article distributed under the terms and conditions of the Creative Commons Attribution (CC BY) license (https://creativecommons.org/licenses/by/4.0/).
Share and Cite
Yan, X.; Kang, S.; Xu, M.; Li, P. Corrosion Product Film of a Medium-Mn Steel Exposed to Simulated Marine Splash Zone Environment. Materials 2021, 14, 5652. https://doi.org/10.3390/ma14195652
Yan X, Kang S, Xu M, Li P. Corrosion Product Film of a Medium-Mn Steel Exposed to Simulated Marine Splash Zone Environment. Materials. 2021; 14(19):5652. https://doi.org/10.3390/ma14195652
Chicago/Turabian StyleYan, Xinyong, Shumei Kang, Meiling Xu, and Pengyu Li. 2021. "Corrosion Product Film of a Medium-Mn Steel Exposed to Simulated Marine Splash Zone Environment" Materials 14, no. 19: 5652. https://doi.org/10.3390/ma14195652
APA StyleYan, X., Kang, S., Xu, M., & Li, P. (2021). Corrosion Product Film of a Medium-Mn Steel Exposed to Simulated Marine Splash Zone Environment. Materials, 14(19), 5652. https://doi.org/10.3390/ma14195652

