The Influence of Aeolian Sand on the Anti-Skid Characteristics of Asphalt Pavement
Abstract
:1. Introduction
2. Materials and Methods
2.1. Materials
2.2. Test Method
3. Results and Discussion
3.1. BPN Test
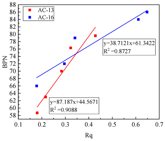
3.2. Texture Index
4. Conclusions
- As the number of sand accumulation increases, the BPN values of AC-13 and AC-16 mixtures show a downward trend. By fitting the DoseResp model, the later changes can be predicted based on the changes in the initial BPN value.
- By studying the anti-sliding performance of pavement surface whether aeolian sand contains water, we find that the sand with water is generally lower than that of dry sand, and the skid resistance decreases with the increase of water volume.
- Through the grey correlation analysis, it is found that the aeolian sand particles between 0.075–0.15 mm have the most significant influence on the BPN value of the two mixtures because its mass percentage is the largest.
- Ames engineering texture scanner was used to obtain texture indicators under different amounts of sand. It is found that all three texture indicators are correlated with the BPN value. With the increase of the sand deposition within 20 g, the effective structural depth of pavement macrotexture decreases, resulting in the decrease of BPN value of road surface, which means that a certain amount of aeolian sand has a significant impact on the anti-skid performance of the mixture at the macro level.
Author Contributions
Funding
Institutional Review Board Statement
Informed Consent Statement
Data Availability Statement
Conflicts of Interest
References
- Anupam, K.; Tang, T.; Kasbergen, C.; Scarpas, A.; Erkens, S. 3-D Thermomechanical Tire–Pavement Interaction Model for Evaluation of Pavement Skid Resistance. Transp. Res. Rec. 2020, 2675, 65–80. [Google Scholar] [CrossRef]
- Chu, L.J.; Fwa, T.F. Pavement skid resistance consideration in rain-related wet-weather speed limits determination. Road Mater. Pavement Des. 2016, 19, 334–352. [Google Scholar] [CrossRef]
- Dan, H.-C.; He, L.-H.; Xu, B. Experimental investigation on skid resistance of asphalt pavement under various slippery conditions. Int. J. Pavement Eng. 2015, 18, 485–499. [Google Scholar] [CrossRef]
- Do, M.; Cerezo, V.; Zahouani, H. Laboratory test to evaluate the effect of contaminants on road skid resistance. Proc. Inst. Mech. Eng. Part J 2014, 228, 1276–1284. [Google Scholar] [CrossRef]
- Eisenberg, D. The mixed effects of precipitation on traffic crashes. Accid. Anal. Prev. 2004, 36, 637–647. [Google Scholar] [CrossRef]
- Geedipally, S.R.; Das, S.; Pratt, M.P.; Lord, D. Determining Skid Resistance Needs on Horizontal Curves for Different Levels of Precipitation. Transp. Res. Rec. 2020, 2674, 358–370. [Google Scholar] [CrossRef]
- Friel, J.J.; Pande, C.S. A direct determination of fractal dimension of fracture surfaces using scanning electron microscopy and stereoscopy. J. Mater. Res. 1993, 8, 100–104. [Google Scholar] [CrossRef]
- Serigos, P.A.; de Fortier Smit, A.; Prozzi, J.A. Incorporating surface microtexture in the prediction of skid resistance of flexible pavements. Transp. Res. Rec. 2014, 2457, 105–113. [Google Scholar] [CrossRef]
- Rezaei, A.; Masad, E. Experimental-based model for predicting the skid resistance of asphalt pavements. Int. J. Pavement Eng. 2013, 14, 24–35. [Google Scholar] [CrossRef]
- Li, Q.J.; Zhan, Y.; Yang, G.; Pittenger, D.M.; Wang, K.C.P. 3D Characterization of Aggregates for Pavement Skid Resistance. J. Transp. Eng. Part B Pavements 2019, 145, 04019002. [Google Scholar] [CrossRef]
- Chen, D.; Ling, C.; Wang, T.; Su, Q.; Ye, A. Prediction of tire-pavement noise of porous asphalt mixture based on mixture surface texture level and distributions. Constr. Build. Mater. 2018, 173, 801–810. [Google Scholar] [CrossRef]
- Gierasimiuk, P.; Wasilewska, M.; Gardziejczyk, W. A Comparative Study on Skid Resistance of Concrete Pavements Differing in Texturing Technique. Materials 2021, 14, 178. [Google Scholar] [CrossRef] [PubMed]
- Mataei, B.; Zakeri, H.; Zahedi, M.; Nejad, F.M. Pavement Friction and Skid Resistance Measurement Methods: A Literature Review. Open J. Civ. Eng. 2016, 6, 537–565. [Google Scholar] [CrossRef] [Green Version]
- Kienle, R.; Ressel, W.; Götz, T.; Weise, M. The influence of road surface texture on the skid resistance under wet conditions. Proc. Inst. Mech. Eng. Part J. 2018, 234, 313–319. [Google Scholar] [CrossRef] [Green Version]
- Kogbara, R.B.; Masad, E.A.; Kassem, E.; Scarpas, A. Skid Resistance Characteristics of Asphalt Pavements in Hot Climates. J. Transp. Eng. Part B Pavements 2018, 144, 04018015. [Google Scholar] [CrossRef]
- Li, C.; Wang, Y.; Lei, J.; Xu, X.; Wang, S.; Fan, J.; Fan, S. Damage by wind-blown sand and its control measures along the Taklimakan Desert Highway in China. J. Arid. Land 2020, 13, 98–106. [Google Scholar] [CrossRef]
- Li, P.; Yi, K.; Yu, H.; Xiong, J.; Xu, R. Effect of Aggregate Properties on Long-Term Skid Resistance of Asphalt Mixture. J. Mater. Civ. Eng. 2021, 33, 04020413. [Google Scholar] [CrossRef]
- Lubis, A.S.; A Muis, Z.; Gultom, E.M. The effect of contaminant on skid resistance of pavement surface. IOP Conf. Ser. Earth Environ. Sci. 2018, 126, 012040. [Google Scholar] [CrossRef] [Green Version]
- Nicolosi, V.; D’Apuzzo, M.; Evangelisti, A. Cumulated frictional dissipated energy and pavement skid deterioration: Evaluation and correlation. Constr. Build. Mater. 2020, 263, 120020. [Google Scholar] [CrossRef]
- Pomoni, M.; Plati, C.; Loizos, A.; Yannis, G. Investigation of pavement skid resistance and macrotexture on a long-term basis. Int. J. Pavement Eng. 2020, 1, 1–10. [Google Scholar] [CrossRef]
- Iii, H.R.; Nassiri, S.; AlShareedah, O.; Yekkalar, M.; Haselbach, L. Evaluation of skid resistance of pervious concrete slabs under various winter conditions for driver and pedestrian users. Road Mater. Pavement Des. 2019, 22, 1350–1368. [Google Scholar] [CrossRef]
- Tang, T.; Anupam, K.; Kasbergen, C.; Scarpas, A.; Erkens, S. A finite element study of rain intensity on skid resistance for permeable asphalt concrete mixes. Constr. Build. Mater. 2019, 220, 464–475. [Google Scholar] [CrossRef]
- Wang, D.; Zhang, Z.; Kollmann, J.; Oeser, M. Development of aggregate micro-texture during polishing and correlation with skid resistance. Int. J. Pavement Eng. 2018, 21, 629–641. [Google Scholar] [CrossRef]
- Wang, H.; Wang, C.; Bu, Y.; You, Z.; Yang, X.; Oeser, M. Correlate aggregate angularity characteristics to the skid resistance of asphalt pavement based on image analysis technology. Constr. Build. Mater. 2020, 242, 118150. [Google Scholar] [CrossRef]
- Wang, Y.; Liu, Y.; Cheng, Y.; Xue, J. Evaluation of the Decay Characteristics of Pavement Skid Resistance Using Three-Dimensional Texture from Accelerated Abrasion Test. J. Transp. Eng. Part B Pavements 2020, 146, 04020073. [Google Scholar] [CrossRef]
- Wu, J.; Wang, X.; Wang, L.; Zhang, L.; Xiao, Q.; Yang, H. Temperature Correction and Analysis of Pavement Skid Resistance Performance Based on RIOHTrack Full-Scale Track. Coatings 2020, 10, 832. [Google Scholar] [CrossRef]
- Yan, B.; Mao, H.; Zhong, S.; Zhang, P.; Zhang, X. Experimental Study on Wet Skid Resistance of Asphalt Pavements in Icy Conditions. Materials 2019, 12, 1201. [Google Scholar] [CrossRef] [PubMed] [Green Version]
- Yu, M.; You, Z.; Wu, G.; Kong, L.; Liu, C.; Gao, J. Measurement and modeling of skid resistance of asphalt pavement: A review. Constr. Build. Mater. 2020, 260, 119878. [Google Scholar] [CrossRef]
- Yun, D.; Hu, L.; Tang, C. Tire-Road Contact Area on Asphalt Concrete Pavement and Its Relationship with the Skid Resistance. Materials 2020, 13, 615. [Google Scholar] [CrossRef] [Green Version]
- Zhu, X.; Yang, Y.; Zhao, H.; Jelagin, D.; Chen, F.; Gilabert, F.A.; Guarin, A. Effects of surface texture deterioration and wet surface conditions on asphalt runway skid resistance. Tribol. Int. 2020, 153, 106589. [Google Scholar] [CrossRef]
- Ministry of Transport of the People’s Republic of China. Test. Methods of Aggregate for Highway Engineering (JTG E42-2005); Ministry of Transport of the People’s Republic of China: Beijing, China, 2005.
- Ministry of Transport of the People’s Republic of China. Standard Test Methods of Bitumen and Bituminous Mixtures for Highway Engineering (JTG E20-2011); Ministry of Transport of the People’s Republic of China: Beijing, China, 2011.
















| Test Items | Results | Technical Requirements |
|---|---|---|
| Crushed value (%) | 12.8 | ≤26 |
| Weared value (%) | 10.5 | ≤28 |
| Polished value (PSV) | 38 | ≥36 |
| Angularity (s) | 31.8 | ≥30 |
| Mixture Type | Fitting Equation | Fitting Precision |
|---|---|---|
| AC-13 | 0.998 | |
| AC-16 | 0.995 |
Publisher’s Note: MDPI stays neutral with regard to jurisdictional claims in published maps and institutional affiliations. |
© 2021 by the authors. Licensee MDPI, Basel, Switzerland. This article is an open access article distributed under the terms and conditions of the Creative Commons Attribution (CC BY) license (https://creativecommons.org/licenses/by/4.0/).
Share and Cite
Pan, J.; Zhao, H.; Wang, Y.; Liu, G. The Influence of Aeolian Sand on the Anti-Skid Characteristics of Asphalt Pavement. Materials 2021, 14, 5523. https://doi.org/10.3390/ma14195523
Pan J, Zhao H, Wang Y, Liu G. The Influence of Aeolian Sand on the Anti-Skid Characteristics of Asphalt Pavement. Materials. 2021; 14(19):5523. https://doi.org/10.3390/ma14195523
Chicago/Turabian StylePan, Jingsheng, Hua Zhao, Yong Wang, and Gang Liu. 2021. "The Influence of Aeolian Sand on the Anti-Skid Characteristics of Asphalt Pavement" Materials 14, no. 19: 5523. https://doi.org/10.3390/ma14195523
APA StylePan, J., Zhao, H., Wang, Y., & Liu, G. (2021). The Influence of Aeolian Sand on the Anti-Skid Characteristics of Asphalt Pavement. Materials, 14(19), 5523. https://doi.org/10.3390/ma14195523
