Sintering Temperature, Frequency, and Temperature Dependent Dielectric Properties of Na0.5Sm0.5Cu3Ti4O12 Ceramics
Abstract
:1. Introduction
2. Materials and Methods
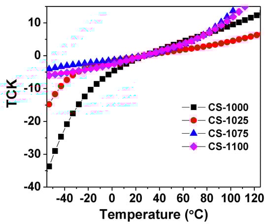
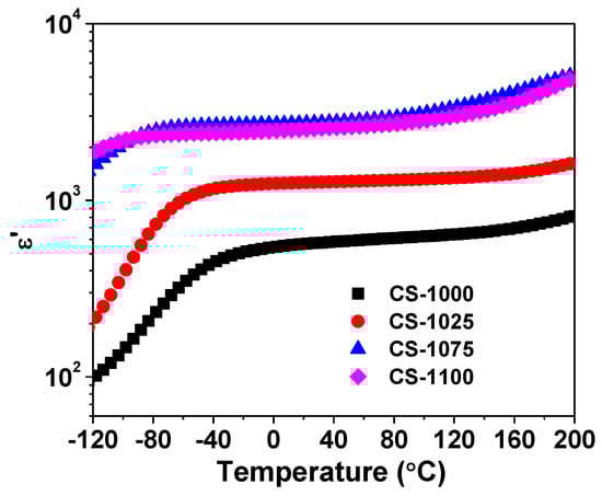
3. Results and Discussion
4. Conclusions
Author Contributions
Funding
Institutional Review Board Statement
Informed Consent Statement
Data Availability Statement
Acknowledgments
Conflicts of Interest
References
- Wang, Y.; Jie, W.; Yang, C.; Wei, X.; Hao, J. Colossal permittivity materials as superior dielectrics for diverse applications. Adv. Funct. Mater. 2019, 29, 1808118. [Google Scholar] [CrossRef]
- Ramireza, A.P.; Subramanian, M.A.; Gardel, M.; Blumberg, G.; Lib, D.; Vogt, T.; Shapiro, S.M. Giant dielectric constant response in a copper-titanate. J. Solid State Commun. 2000, 115, 217–220. [Google Scholar] [CrossRef]
- Subramanian, M.A.; Li, D.; Duan, N.; Reisner, B.A.; Sleight, A.W. High dielectric constant in ACu3Ti4O12 and ACu3Ti3FeO12 phases. Solid State Chem. 2000, 151, 323–325. [Google Scholar] [CrossRef]
- Riquet, G.; Marinel, S.; Breard, Y.; Harnois, C.; Pautrat, A. Direct and hybrid microwave solid state synthesis of CaCu3Ti4O12 ceramic: Microstructures and dielectric properties. Ceram. Int. 2018, 44, 15228–15235. [Google Scholar] [CrossRef]
- Jesus, L.M.; Santos, J.C.A.; Sampaio, D.V.; Barbosa, L.B.; Silva, R.S.; M’Peko, J.C. Polymeric synthesis and conventional versus laser sintering of CaCu3Ti4O12 electroceramics: (micro)structures, phase development and dielectric properties. J. Alloys Compd. 2016, 654, 482–490. [Google Scholar] [CrossRef]
- Manière, C.; Riquet, G.; Marinel, S. Dielectric properties of flash spark plasma sintered BaTiO3 and CaCu3Ti4O12. Scr. Mater. 2019, 173, 41–45. [Google Scholar] [CrossRef]
- Yang, J.; Shen, M.; Fang, L. The electrode/sample contact effects on the dielectric properties of the CaCu3Ti4O12 ceramic. Mater. Lett. 2005, 59, 3990–3993. [Google Scholar] [CrossRef]
- Li, J.Y.; Zhao, X.T.; Li, S.T.; Alim, M.A. Intrinsic and extrinsic relaxation of CaCu3Ti4O12 ceramics: Effect of sintering. J. Appl. Phys. 2010, 108, 104104. [Google Scholar] [CrossRef]
- Kim, H.E.; Yang, S.-D.; Lee, J.-W.; Park, H.M.; Yoo, S.-I. Growth and characterization of CaCu3Ti4O12 single crystals. J. Cryst. Growth 2014, 408, 60–63. [Google Scholar] [CrossRef]
- Sripakdee, C.; Putjuso, S.; Putjuso, T. Improvement of temperature stability, dielectric properties and nonlinear current-electric field characteristic of CaCu3Ti4.2−xSnxO12 ceramics. J. Electron. Mater. 2020, 49, 3555–3565. [Google Scholar] [CrossRef]
- Boonlakhorn, J.; Srepusharawoot, P.; Thongbai, P. Distinct roles between complex defect clusters and insulating grain boundary on dielectric loss behaviors of (In3+/Ta5+) co-doped CaCu3Ti4O12 ceramics. Results Phys. 2020, 16, 102886. [Google Scholar] [CrossRef]
- Mahfoz Kotb, H.; Ahmad, M.M.; Alshoaibi, A.; Yamada, K. Dielectric response and structural analysis of (A3+, Nb5+) cosubstituted CaCu3Ti4O12 ceramics (A: Al and Bi). Materials 2020, 13, 5822. [Google Scholar] [CrossRef] [PubMed]
- Mahfoz Kotb, H.; Ahmad, M.M.; Aldabal, S.; Alshoaibi, A.; Aljaafari, A. Structural and dielectric behavior of Al-substituted CaCu3Ti4O12 ceramics with giant dielectric constant by spark plasma sintering. J. Mater. Sci. Mater. Electron. 2019, 30, 18259–18267. [Google Scholar] [CrossRef]
- Qiang, H.; Xu, Z. Structure and enhanced dielectric properties of B and Sr modified CaCu3Ti4O12 ceramics. J. Electron. Mater. 2019, 48, 6354–6358. [Google Scholar] [CrossRef]
- Mahfoz Kotb, H. Structural and dielectric properties of giant dielectric Na0.5Sm0.5Cu3Ti4O12ceramics prepared by reactive sintering methods. Chin. Phys. B 2019, 28, 098202. [Google Scholar] [CrossRef]
- Somphan, W.; Thongbai, P.; Yamwong, T.; Maensiri, S. High Schottky barrier at grain boundaries observed in Na1/2Sm1/2Cu3Ti4O12 ceramics. Mater. Res. Bull. 2013, 48, 4087–4092. [Google Scholar] [CrossRef]
- Holland, T.J.B.; Redfern, S.A.T. Unit cell refinement from powder diffraction data: The use of regression diagnostics. Mineral. Mag. 1997, 61, 65–77. [Google Scholar] [CrossRef]
- Williamson, G.K.; Hall, W.H. X-ray line broadening from filed aluminium and wolfram. Acta Metall. 1953, 1, 22–31. [Google Scholar] [CrossRef]
- Bhagat, S.; Prasad, K. Structural and impedance spectroscopy analysis of Ba(Fe1/2Nb1/2)O3 ceramic. Phys. Status Solidi A 2010, 207, 1232–1239. [Google Scholar] [CrossRef]
- Wurst, J.C.; Nelson, J.A. Lineal intercept technique for measuring grain size in two-phase polycrystalline ceramics. J. Am. Ceram. Soc. 1972, 55, 109. [Google Scholar] [CrossRef]
- Liu, Z.; Chao, X.; Liang, P.; Yang, Z.; Zhi, L.; Ihlefeld, J. Differentiated electric behaviors of La2/3Cu3Ti4O12 ceramics prepared by different methods. J. Am. Ceram. Soc 2014, 97, 2154–2163. [Google Scholar] [CrossRef]
- Zhao, N.; Liang, P.; Wei, L.; Yang, L.; Yang, Z. Synthesis and dielectric anomalies of CdCu3Ti4O12 ceramics. Ceram. Int. 2015, 41, 8501–8510. [Google Scholar] [CrossRef]
- Tuichai, W.; Danwittayakul, S.; Chanlek, N.; Takesada, M.; Pengpad, A.; Srepusharawoot, P.; Thongbai, P. High-Performance Giant Dielectric Properties of Cr3+/Ta5+ Co-Doped TiO2 Ceramics. ACS Omega 2021, 6, 1901–1910. [Google Scholar] [CrossRef]
- Peng, Z.; Zhou, X.; Wang, J.; Zhu, J.; Liang, P.; Chao, X.; Yang, Z. Origin of colossal permittivity and low dielectric loss in Na1/3Cd1/3Y1/3Cu3Ti4O12 ceramics. Ceram. Int. 2020, 46, 11154–11159. [Google Scholar] [CrossRef]
- Liu, J.; Duan, C.-G.; Yin, W.-G.; Mei, W.N.; Smith, R.W.; Hardy, J.R. Large dielectric constant and Maxwell-Wagner relaxation in Bi2∕3Cu3Ti4O12. Phys. Rev. B 2004, 70, 144106. [Google Scholar] [CrossRef]
- Koji, A. Characterization of heterogeneous systems by dielectric spectroscopy. Prog. Polym. Sci. 2002, 27, 1617–1659. [Google Scholar]
- Boonlakhorn, J.; Prachamon, J.; Manyam, J.; Thongbai, P.; Srepusharawoot, P. Origins of a liquid-phase sintering mechanism and giant dielectric properties of Ni+Ge co-doped CaCu3Ti4O12 ceramics. Ceram. Int. 2021, 47, 13415–13422. [Google Scholar] [CrossRef]
- Abram, E.; Sinclair, D.; West, A. A strategy for analysis and modelling of impedance spectroscopy data of electroceramics: Doped lanthanum gallate. J. Electroceram. 2003, 10, 165–177. [Google Scholar] [CrossRef]
- Almeida-Didry, S.; Merad, S.; Autret-Lambert, C.; Martin, M.; Lucas, A.; Gervais, F. A core-shell synthesis of CaCu3Ti4O12 (CCTO) ceramics showing colossal permittivity and low electric losses for application in capacitors. Solid State Sci. 2020, 109, 106431. [Google Scholar] [CrossRef]
- Liang, P.; Chao, X.; Wang, F.; Liu, Z.; Yang, Z.; Alford, N. The Lowered dielectric loss and grain-boundary effects in La-doped Y2/3Cu3Ti4O12 ceramics. J. Am. Ceram. Soc. 2013, 96, 3883–3890. [Google Scholar] [CrossRef]
- Liang, P.; Li, Y.; Zhao, Y.; Wei, L.; Yang, Z. Origin of giant permittivity and high-temperature dielectric anomaly behavior in Na0.5Y0.5Cu3Ti4O12 ceramics. J. Appl. Phys. 2013, 113, 224102. [Google Scholar] [CrossRef]
- Liang, P.; Yang, Z.; Chao, X. Improved dielectric properties and grain boundary response in neodymium-doped Y2/3Cu3Ti4O12 ceramics. J. Alloys Compd. 2016, 678, 273–283. [Google Scholar] [CrossRef] [Green Version]











| Sample | c (nm) | D (nm) | η ×10−3 | δ ×1014 (Line/m2) |
|---|---|---|---|---|
| CS-1000 | 0.7391 | 40.57 | 1.11 | 6.07 |
| CS-1025 | 0.7397 | 41.17 | 0.99 | 5.89 |
| CS-1075 | 0.7396 | 41.05 | 1.03 | 5.93 |
| CS-1100 | 0.7395 | 55.95 | 1.94 | 3.19 |
| Rg (Ω.cm) | Rg.b. (Ω.cm) | ΔE (eV) | ER (eV) Grain | ER (eV) Grain-Boundary | |
|---|---|---|---|---|---|
| CS-1000 | 4601 | 3.15 × 109 | 1.03 | 0.212 | 1.15 |
| CS-1025 | 1169 | 8.623 × 109 | 1.06 | 0.193 | 1.09 |
| CS-1075 | 332 | 1.30 × 107 | 0.48 (T < 390 K) 0.93 (T > 390 K) | 0.132 | 0.47 (T < 390 K) |
| CS-1100 | 219 | 1.09 × 108 | 0.57 (T < 390 K) 1.08 (T > 390 K) | 0.121 | 0.55 (T < 390 K) 1.04 (T > 390 K) |
Publisher’s Note: MDPI stays neutral with regard to jurisdictional claims in published maps and institutional affiliations. |
© 2021 by the authors. Licensee MDPI, Basel, Switzerland. This article is an open access article distributed under the terms and conditions of the Creative Commons Attribution (CC BY) license (https://creativecommons.org/licenses/by/4.0/).
Share and Cite
Kotb, H.M.; Khater, H.A.; Saber, O.; Ahmad, M.M. Sintering Temperature, Frequency, and Temperature Dependent Dielectric Properties of Na0.5Sm0.5Cu3Ti4O12 Ceramics. Materials 2021, 14, 4805. https://doi.org/10.3390/ma14174805
Kotb HM, Khater HA, Saber O, Ahmad MM. Sintering Temperature, Frequency, and Temperature Dependent Dielectric Properties of Na0.5Sm0.5Cu3Ti4O12 Ceramics. Materials. 2021; 14(17):4805. https://doi.org/10.3390/ma14174805
Chicago/Turabian StyleKotb, Hicham Mahfoz, Hassan A. Khater, Osama Saber, and Mohamad M. Ahmad. 2021. "Sintering Temperature, Frequency, and Temperature Dependent Dielectric Properties of Na0.5Sm0.5Cu3Ti4O12 Ceramics" Materials 14, no. 17: 4805. https://doi.org/10.3390/ma14174805
APA StyleKotb, H. M., Khater, H. A., Saber, O., & Ahmad, M. M. (2021). Sintering Temperature, Frequency, and Temperature Dependent Dielectric Properties of Na0.5Sm0.5Cu3Ti4O12 Ceramics. Materials, 14(17), 4805. https://doi.org/10.3390/ma14174805

