Surface Treatment of Zn-Mn-Mg Alloys by Micro-Arc Oxidation in Silicate-Based Solutions with Different NaF Concentrations
Abstract
:1. Introduction
2. Materials and Methods
2.1. Zn-Mn-Mg Samples
2.2. MAO Process
2.3. Microstructure and Composition of MAO Coatings
2.4. Electrochemical Properties of MAO Coatings
3. Results
3.1. Microstructure of MAO Coating
3.2. Thickness of MAO Coating
3.3. XRD of MAO Coating
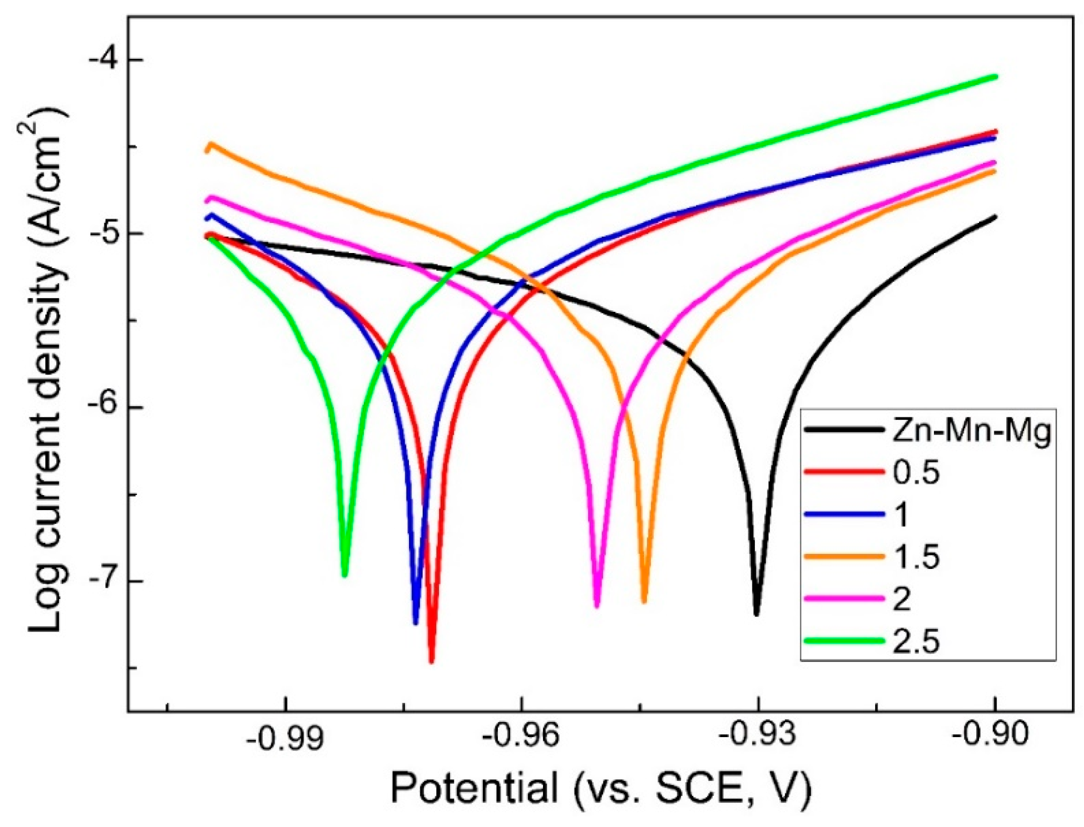
3.4. Potentiodynamic Polarization Curve of MAO Coating
3.5. EIS Curve of MAO Coating
4. Discussion
5. Conclusions
- A porous MAO coating composed of the ZnO compound was successfully prepared on the surface of Zn-Mn-Mg alloys. The MAO treatment with 1.5 g/L NaF concentrations in the silicate-based solutions might be advantageous for surface modification in consideration of the size and distribution of the porous structure.
- With an increase in the NaF concentration in the silicate-based solutions from 0.5 g/L to 2.5 g/L, the average thickness increases from 13.05 μm to 19.6 μm.
- The double-layer structure with a porous outer layer and a dense inner layer is formed on the surface of Zn-Mn-Mg alloys, which accelerates the corrosion of the Zn-Mn-Mg substrate. The highest corrosion rate can be obtained after MAO treatment with the electrolyte of 1.5 g/L NaF concentrations in Hank’s solution.
Author Contributions
Funding
Data Availability Statement
Acknowledgments
Conflicts of Interest
References
- Yang, H.T.; Jia, B.; Zhang, Z.C.; Qu, X.H.; Li, G.N.; Lin, W.J.; Zhu, D.H.; Dai, K.R.; Zheng, Y.F. Alloying design of biodegradable zinc as promising bone implants for load-bearing applications. Nat. Commun. 2020, 11, 401. [Google Scholar] [CrossRef] [PubMed] [Green Version]
- Wang, L.Q.; He, Y.F.; Zhao, H.; Xie, H.B.; Li, S.; Ren, Y.P.; Qin, G.W. Effect of cumulative strain on the microstructure and mechanical properties of Zn-0.02%Mg alloy wires during room-temperature drawing process. J. Alloys Compd. 2018, 740, 949–957. [Google Scholar] [CrossRef]
- Kabir, H.; Munir, K.; Wen, C.E.; Li, Y.C. Recent research and progress of biodegradable zinc alloys and composites for biomedical applications: Biomechanical and biocorrosion perspectives. Bioact. Mater. 2021, 6, 836–879. [Google Scholar] [CrossRef] [PubMed]
- Hernández-Escobar, D.; Champagne, S.; Yilmazer, H.; Dikici, B.; Boehlert, C.J.; Hermawan, H. Current status and perspectives of zinc-based absorbable alloys for biomedical applications. Acta Biomater. 2019, 97, 1–22. [Google Scholar] [CrossRef]
- Li, P.; Qian, J.Y.; Zhang, W.T.; Schille, C.; Schweizer, E.; Heiss, A.; Klotz, U.E.; Scheideler, L.; Wan, G.J.; Geis-Gerstorfer, J. Improved biodegradability of zinc and its alloys by sandblasting treatment. Surf. Coat. Technol. 2021, 405, 126678. [Google Scholar] [CrossRef]
- Panaghie, C.; Cimpoeşu, R.; Istrate, B.; Cimpoeşu, N.; Bernevig, M.; Zegan, G.; Roman, A.; Chelariu, R.; Sodor, A. New Zn3Mg-xY Alloys: Characteristic, Microstructural Evolution and Corrosion Behavior. Materials 2021, 14, 2505. [Google Scholar] [CrossRef]
- Liu, C.; Li, Y.K.; Ge, Q.Q.; Liu, Z.X.; Qiao, A.K.; Mu, Y.L. Mechanical characteristics and in vitro degradation of biodegradable Zn-Al alloy. Mater. Lett. 2021, 300, 130181. [Google Scholar] [CrossRef]
- Rocca, E.; Veys-Renaux, D.; Guessoum, K. Electrochemical behavior of zinc in KOH media at high voltage: Micro-arc oxidationof zinc. J. Electroanal. Chem. 2015, 754, 125–132. [Google Scholar] [CrossRef]
- Yang, H.; Wang, C.; Liu, C.; Chen, H.; Wu, Y.; Han, J.; Jia, Z.; Lin, W.; Zhang, D.; Li, W.; et al. Evolution of the degradation mechanism of pure zinc stent in the one-year study of rabbit abdominal aorta model. Biomaterials 2017, 145, 92–105. [Google Scholar] [CrossRef]
- Stojadinović, S.; Tadić, N.; Vasilić, R. Formation and characterization of ZnO films on zinc substrate by plasma electrolyticoxidation. Surf. Coat. Technol. 2016, 307, 650–657. [Google Scholar] [CrossRef]
- Mostaed, E.; Sikora-Jasinska, M.; Drelich, J.W.; Vedani, M. Zinc-based alloys for degradable vascular stent applications. Acta Biomater. 2018, 71, 1–23. [Google Scholar] [CrossRef]
- Liu, X.W.; Sun, J.K.; Zhou, F.Y.; Yang, Y.H.; Chang, R.C.; Qiu, K.J.; Pu, Z.J.; Li, L.; Zheng, Y.F. Micro-alloying with Mn in Zn-Mg alloy for future biodegradable metals application. Mater. Des. 2016, 94, 95–104. [Google Scholar] [CrossRef]
- Lou, D.F.; Wang, L.Q.; Ren, Y.P.; Li, H.X.; Qin, G.W. Textural evolution and improved ductility in Zn-0.2Mg-0.8Mn (wt%) alloys at different extrusion temperature. J. Alloys Compd. 2021, 860, 158530. [Google Scholar] [CrossRef]
- Sun, J.; Zhang, X.; Shi, Z.Z.; Gao, X.X.; Li, H.Y.; Zhao, F.Y.; Wang, J.Q.; Wang, L.N. Development of a high-strength Zn-Mn-Mg alloy for ligament reconstruction fixation. Acta Biomater. 2021, 119, 485–498. [Google Scholar] [CrossRef]
- Blawert, C.; Karpushenkov, S.A.; Serdechnova, M.; Karpushenkava, L.S.; Zheludkevich, M.L. Plasma electrolytic oxidation of zinc alloy in a phosphate-aluminate electrolyte. Appl. Surf. Sci. 2020, 505, 144552. [Google Scholar] [CrossRef]
- Chen, J.F.; Lin, W.X.; Liang, S.Y.; Zou, L.C.; Wang, C.; Wang, B.S.; Yan, M.F.; Cui, X.P. Effect of alloy cations on corrosion resistance of LDH/MAO coating on magnesium alloy. Appl. Surf. Sci. 2019, 463, 536–544. [Google Scholar] [CrossRef]
- Dong, X.; Su, Y.J.; Wu, Z.M.; Xu, X.D.; Xiang, Z.H.; Shi, Y.L.; Chen, W.Y.; Dai, J.H.; Huang, Z.Y.; Wang, T.; et al. Reactive pulsed DC magnetron sputtering deposition of vanadium oxide thin films: Role of pulse frequency on the film growth and properties. Appl. Surf. Sci. 2021, 562, 150138. [Google Scholar] [CrossRef]
- Behunová, D.; Gallios, G.; Girman, V.; Kolev, H.; Kaňuchová, M.; Dolinská, S.; Václaviková, M. Electrophoretic Deposition of Graphene Oxide on Stainless Steel Substrate. Nanomaterials 2021, 11, 1779. [Google Scholar]
- Yoshida, M.; YamanaKa, H.; Tomori, K.; Kulinich, S.; Maeda, S.; Iwamori, S. Elucidation of the thickness inside the niobium anodic oxide film and its effect on adhesion to polyimide film. Vacuum 2021, 190, 110265. [Google Scholar] [CrossRef]
- Seo, B.; Park, H.; Park, K.; Kang, H.; Park, K. Effect of hydrogen peroxide on Cr oxide formation of additive manufactured CoCr alloys during plasma electrolytic polishing. Mater. Lett. 2021, 294, 129736. [Google Scholar] [CrossRef]
- Paswan, S.; Singh, J.; Singh, D.D.N. Effect of lead alloying on corrosion characteristics of galvanized coatings exposed in atmosphere, simulated laboratory and a service environment. Surf. Interfaces 2020, 21, 100752. [Google Scholar]
- Song, W.H.; Wang, B.; Fan, L.H.; Ge, F.Q.; Wang, C.X. Graphene oxide/waterborne polyurethane composites for fine pattern fabrication and ultrastrong ultraviolet protection cotton fabric via screen printing. Appl. Surf. Sci. 2019, 463, 403–411. [Google Scholar] [CrossRef]
- Behera, P.; Rajagopalan, S.; Brahimi, S.; Venturella, C.; Gaydos, S.; Straw, R.; Yue, S. Effect of brush plating process variables on the microstructures of Cd and ZnNi coatings and hydrogen embrittlement. Surf. Coat. Technol. 2021, 417, 127181. [Google Scholar] [CrossRef]
- Bai, H.Q.; Zhong, L.S.; Kang, L.; Liu, J.B.; Zhuang, W.J.; Lv, Z.L.; Xu, Y.H. A review on wear-resistant coating with high hardness and high toughness on the surface of titanium alloy. J. Alloys Compd. 2021, 882, 160645. [Google Scholar] [CrossRef]
- Lin, Z.S.; Wang, T.L.; Yu, X.M.; Sun, X.T.; Yang, H.Z. Functionalization treatment of micro-arc oxidation coatings on magnesium alloys: A review. J. Alloys Compd. 2021, 879, 160453. [Google Scholar] [CrossRef]
- Cui, L.Y.; Liu, H.P.; Zhang, W.L.; Han, Z.Z.; Deng, M.X.; Zeng, R.C.; Li, S.Q.; Wang, Z.L. Corrosion resistance of a superhydrophobic micro-arc oxidation coating on Mg-4Li-1Ca alloy. J. Mater. Sci. Technol. 2017, 33, 1263–1271. [Google Scholar] [CrossRef]
- Cao, X.; Zhou, J.; Zhai, Z.; Li, S.; Yuan, G.; Qin, G. Synchronous growth of porous MgO and half-embedded nano-Ru on a Mg plate: A monolithic catalyst for fast hydrogen production. ACS Sustain. Chem. Eng. 2021, 9, 3616–3623. [Google Scholar] [CrossRef]
- Mashtalyar, D.; Nadaraia, K.; Gnedenkov, A.; Imshinetskiy, I.; Piatkova, M.; Pleshkova, A.; Belov, E.; Filonina, V.; Suchkov, S.; Sinebryukhov, S.; et al. Bioacive Coatings Formed on Titanium by Plasma Electrolytic Oxidation: Composition and Properties. Materials 2020, 13, 4121. [Google Scholar] [CrossRef]
- Husak, Y.; Michalska, J.; Oleksandr, O.; Korniienko, V.; Grundsteins, K.; Dryhval, B.; Altundal, S.; Mishchenko, O.; Viter, R.; Pogorielov, M.; et al. Bioactivity Performance of Pure Mg after Plasma Electrolytic Oxidation in Silicate-Based Solutions. Molecules 2021, 26, 2094. [Google Scholar] [CrossRef]
- Guo, H.X.; Liu, Z.Y.; Wang, Y.X.; Li, J.L. Tribological mechanism of micro-arc oxidation coatings prepared by different electrolyte systems in artificial seawater. Ceram. Int. 2021, 47, 7344–7352. [Google Scholar] [CrossRef]
- Qin, Y.; Wu, G.H.; Atrens, A.; Zhang, X.L.; Zhang, L.; Ding, W.J. Effect of NaOH concentration on microstructure and corrosion resistance of MAO coating on cast Al−Li alloy. Trans. Nonferr. Met. Soc. 2021, 31, 913–924. [Google Scholar] [CrossRef]
- Dong, K.H.; Song, Y.W.; Shan, D.Y.; Han, E.H. Formation mechanism of a self-sealing pore micro-arc oxidation film on AM60 magnesium alloy. Surf. Coat. Technol. 2015, 266, 188–196. [Google Scholar] [CrossRef]
- Yuan, W.; Li, B.; Chen, D.F.; Zhu, D.H.; Han, Y.; Zheng, Y.F. Formation Mechanism, Corrosion Behavior, and Cytocompatibility of Microarc Oxidation Coating on Absorbable High-Purity Zinc. ACS Biomater. Sci. Eng. 2019, 5, 487–497. [Google Scholar] [CrossRef]
- Lv, G.H.; Chen, H.; Wang, X.Q.; Pang, H.; Zhang, G.L.; Zou, B.; Lee, H.J.; Yang, S.Z. Effect of additives on structure and corrosion resistance of plasma electrolytic oxidation coatings on AZ91D magnesium alloy in phosphate based electrolyte. Surf. Coat. Technol. 2010, 205, 36–40. [Google Scholar] [CrossRef]
- Venkateswarlu, K.; Rameshbabu, N.; Sreekanth, D.; Bose, A.C.; Muthupandi, V.; Subramanian, S. Fabrication and characterization of micro-arc oxidized fluoride containing titania film an Cp Yi. Ceram. Int. 2013, 39, 801–812. [Google Scholar] [CrossRef]
- Zhang, D.D.; Peng, F.; Liu, X.Y. Protection of magnesium alloys: From physical barrier coating to smart self-healing coating. J. Alloys Compd. 2021, 853, 157010. [Google Scholar] [CrossRef]
- Hu, Y.L.; Wang, Z.Q.; Ai, J.Y.; Bu, S.C.; Liu, H.W. Preparation of Coating on Titanium Surface by Micro-Arc Oxidation to Improve Corrosion Resistance. Coatings 2021, 11, 230. [Google Scholar] [CrossRef]
- Moreno, L.; Mohedano, M.; Mingo, B.; Arrabal, R.; Matykina, E. Degradation Behaviour of Mg0.6Ca and Mg0.6Ca2Ag Alloys with Bioactive Plasma Electrolytic Oxidation Coatings. Coatings 2019, 9, 383. [Google Scholar] [CrossRef] [Green Version]
- Hu, J.L.; Li, H.X.; Wang, X.Y.; Yang, L.; Chen, M.; Wang, R.X.; Qin, G.W.; Chen, D.F.; Zhang, E.L. Effect of ultrasonic micro-arc oxidation on the antibacterial properties and cell biocompatibility of Ti-Cu alloy for biomedical application. Mater. Sci. Eng. C 2020, 115, 110921. [Google Scholar] [CrossRef]
- Mwema, F.M.; Akinlabi, E.T.; Oladijo, O.P.; Fatoba, O.S.; Akinlabi, S.A.; Ţălu, Ş. Advances in Manufacturing Analysis: Fractal Theory in Modern Manufacturing. Modern Manufacturing Processes, 1st ed.; Kumar, K., Davim, J., Eds.; Woodhead Publishing: Cambridge, UK, 2020; Chapter 2; pp. 13–39. [Google Scholar]
- Ţălu, Ş. Micro and Nanoscale Characterization of Three Dimensional Surfaces. Basics and Applications; Napoca Star Publishing House: Cluj-Napoca, Romania, 2015. [Google Scholar]
- Nezhad, A.N.; Davoodi, A.; Zahrani, E.M.; Arefinia, R. The effects of an inorganic corrosion inhibitor on the electrochemical behavior of superhydrophobic micronano structured Ni films in 3.5% NaCl solution. Surf. Coat. Technol. 2020, 395, 125946. [Google Scholar]
- Liu, X.; Yang, H.T.; Liu, Y.; Xiong, P.; Guo, H.; Huang, H.H.; Zheng, Y.F. Comparative studies on degradation behavior of pure zinc in various simulated body fluids. JOM 2019, 71, 1414–1425. [Google Scholar] [CrossRef]
- Liu, L.; Zhu, G.; Li, Q.; Liu, E.Y.; Xiong, W.; Wang, B.Y.; Yang, X.Z. Corrosion and wear resistance of micro-arc oxidation coating on glass microsphere reinforced Mg alloy composite. J. Mater. Sci. 2021, 56, 15379–15396. [Google Scholar] [CrossRef]
- Cui, L.Y.; Zeng, R.C.; Guan, S.K.; Qi, W.C.; Zhang, F.; Li, S.Q.; Han, E.H. Degradation mechanism of micro-arc oxidation coatings on biodegradable Mg-Ca alloys: The influence of porosity. J. Alloys Compd. 2017, 695, 2464–2476. [Google Scholar] [CrossRef]
- Wang, M.; Zuo, X.; Li, K.; Wang, K. Effects of electrolyte on micro-structure and properties of BaxSr(1−x)TiO3 films prepared by micro-arc oxidation. J. Mater. Sci. 2020, 31, 8174–8182. [Google Scholar]
- Li, C.Y.; Feng, X.L.; Fan, X.L.; Yu, X.T.; Yin, Z.Z.; Kannan, M.B.; Chen, X.B.; Guan, S.K.; Zhang, J.; Zeng, R.C. Corrosion and Wear Resistance of Micro-Arc Oxidation Composite Coatings on Magnesium Alloy AZ31—The Influence of Inclusions of Carbon Spheres. Adv. Eng. Mater. 2019, 21, 1900446. [Google Scholar] [CrossRef]
- Wang, Z.Y.; Ma, Y.; Wang, Y.S. Effect of V2O5 Additive on Micro-Arc Oxidation Coatings Fabricated on Magnesium Alloys with Different Loading Voltages. Metals 2020, 10, 1146. [Google Scholar] [CrossRef]
- Li, C.Y.; Gao, L.; Fan, R.C.; Zeng, R.C.; Chen, D.C.; Zhi, K.Q. In vitro degradation and cytocompatibility of a low temperature in-situ grown self-healing Mg-Al LDH coating on MAO-coated magnesium alloy AZ31. Bioact. Mater. 2020, 5, 364–376. [Google Scholar] [CrossRef]
- Wang, S.N.; Gu, Y.H.; Geng, Y.L.; Liang, J.; Zhao, J.; Kang, J. Investigating local corrosion behavior and mechanism of MAO coated 7075 aluminum alloy. J. Alloys Compd. 2020, 826, 153976. [Google Scholar] [CrossRef]
- Cao, X.Q.; Zhou, J.; Wang, H.N.; Li, S.; Wang, W.; Qin, G.W. Abnormal thermal stability of sub-10 nm Au nanoparticles and their high catalytic activity. J. Mater. Chem. A 2019, 7, 10980–10987. [Google Scholar] [CrossRef]
- Yan, X.D.; Zhao, M.C.; Yang, Y.; Tan, L.L.; Zhao, Y.C.; Yin, D.F.; Yang, K.; Atrens, A. Improvement of biodegradable and antibacterial properties by solution treatment and micro-arc oxidation (MAO) of a magnesium alloy with a trace of copper. Corros. Sci. 2019, 156, 125–138. [Google Scholar] [CrossRef]
- Sakiewicz, P.; Piotrowski, K.; Bajorek, A.; Młynarek, K.; Babilas, R.; Simka, W. Surface Modification of Biomedical MgCa4.5 and MgCa4.5Gd0.5 Alloys by Micro-Arc Oxidation. Materials 2021, 14, 1360. [Google Scholar] [CrossRef]
- Lin, T.Y.; Zhang, X.Y.; Huang, X.; Gong, X.P.; Zhang, J.J.; Hu, X.J. Microstructure and properties of microarc oxidation coating formed on aluminum alloy with compound additives nano-TiO2 and nano-ZnO. Rare Met. 2018, 37, 976–982. [Google Scholar] [CrossRef]
- Liao, S.C.; Chang, C.T.; Chen, C.Y.; Lee, C.H.; Lin, W.L. Functionalization of pure titanium MAO coatings by surface modifications for biomedical applications. Surf. Coat. Technol. 2020, 394, 125812. [Google Scholar] [CrossRef]
- Zhao, M.C.; Zhao, Y.C.; Yin, D.F.; Wang, S.; Shangguan, Y.M.; Liu, C.; Tan, L.L.; Shuai, C.J.; Yang, K.; Atren, A. Biodegradation Behavior of Coated As-Extruded Mg–Sr Alloy in Simulated Body Fluid. Acta Metall. Sin. (Engl. Lett.) 2019, 32, 1195–1206. [Google Scholar] [CrossRef] [Green Version]
- Weng, W.X.; Wu, W.W.; Yu, X.M.; Sun, M.Y.; Lin, Z.S.; Ibrahim, M.; Yang, H.Z. Effect of GelMA Hydrogel Coatings on Corrosion Resistance and Biocompatibility of MAO-Coated Mg Alloys. Materials 2021, 13, 3834. [Google Scholar]








| NaF (g/L) | Corrosion Voltage (V) | Corrosion Current Density (μA/cm2) | Corrosion Rate (mm/a) |
|---|---|---|---|
| - | −0.9305 | 3.89 ± 0.04 | 0.058 ± 0.003 |
| 0.5 | −0.9715 | 5.49 ± 0.08 | 0.082 ± 0.005 |
| 1 | −0.9735 | 6.46 ± 0.09 | 0.097 ± 0.006 |
| 1.5 | −0.9445 | 8.91 ± 0.07 | 0.133 ± 0.004 |
| 2 | −0.9505 | 5.42 ± 0.06 | 0.081 ± 0.003 |
| 2.5 | −0.9825 | 6.92 ± 0.08 | 0.103 ± 0.005 |
| NaF (g/L) | R1 (Ω cm2) | CPE1 (μF/cm2) | R2 (Ω cm2) | R3 (Ω cm2) | CPE2 (μF/cm2) |
|---|---|---|---|---|---|
| - | 43.56 ± 0.08 | 0.79554 ± 0.00006 | 4497 ± 5 | - | - |
| 0.5 | 50.53 ± 0.11 | 0.49847 ± 0.00008 | 85.33 ± 0.09 | 2900 ± 12 | 0.75837 ± 0.00008 |
| 1 | 46.45 ± 0.09 | 0.44991 ± 0.00005 | 85.75 ± 0.11 | 2224 ± 9 | 0.84871 ± 0.0001 |
| 1.5 | 43.92 ± 0.07 | 0.48519 ± 0.00004 | 34.9 ± 0.3 | 1859 ± 6 | 0.84904 ± 0.00009 |
| 2 | 94.93 ± 0.15 | 0.50795 ± 0.00005 | 42.51 ± 0.15 | 2576 ± 13 | 0.82355 ± 0.00006 |
| 2.5 | 52.28 ± 0.12 | 0.47861 ± 0.00003 | 62.28 ± 0.0.27 | 3541 ± 12 | 0.78621 ± 0.00007 |
Publisher’s Note: MDPI stays neutral with regard to jurisdictional claims in published maps and institutional affiliations. |
© 2021 by the authors. Licensee MDPI, Basel, Switzerland. This article is an open access article distributed under the terms and conditions of the Creative Commons Attribution (CC BY) license (https://creativecommons.org/licenses/by/4.0/).
Share and Cite
Sun, S.; Ye, G.; Lu, Z.; Weng, Y.; Ma, G.; Liu, J. Surface Treatment of Zn-Mn-Mg Alloys by Micro-Arc Oxidation in Silicate-Based Solutions with Different NaF Concentrations. Materials 2021, 14, 4289. https://doi.org/10.3390/ma14154289
Sun S, Ye G, Lu Z, Weng Y, Ma G, Liu J. Surface Treatment of Zn-Mn-Mg Alloys by Micro-Arc Oxidation in Silicate-Based Solutions with Different NaF Concentrations. Materials. 2021; 14(15):4289. https://doi.org/10.3390/ma14154289
Chicago/Turabian StyleSun, Shineng, Guo Ye, Ziting Lu, Yuming Weng, Guofeng Ma, and Jiatao Liu. 2021. "Surface Treatment of Zn-Mn-Mg Alloys by Micro-Arc Oxidation in Silicate-Based Solutions with Different NaF Concentrations" Materials 14, no. 15: 4289. https://doi.org/10.3390/ma14154289
APA StyleSun, S., Ye, G., Lu, Z., Weng, Y., Ma, G., & Liu, J. (2021). Surface Treatment of Zn-Mn-Mg Alloys by Micro-Arc Oxidation in Silicate-Based Solutions with Different NaF Concentrations. Materials, 14(15), 4289. https://doi.org/10.3390/ma14154289

