Edgewise Compressive Behavior of Composite Structural Insulated Panels with Magnesium Oxide Board Facings
Abstract
1. Introduction
2. Materials and Methods
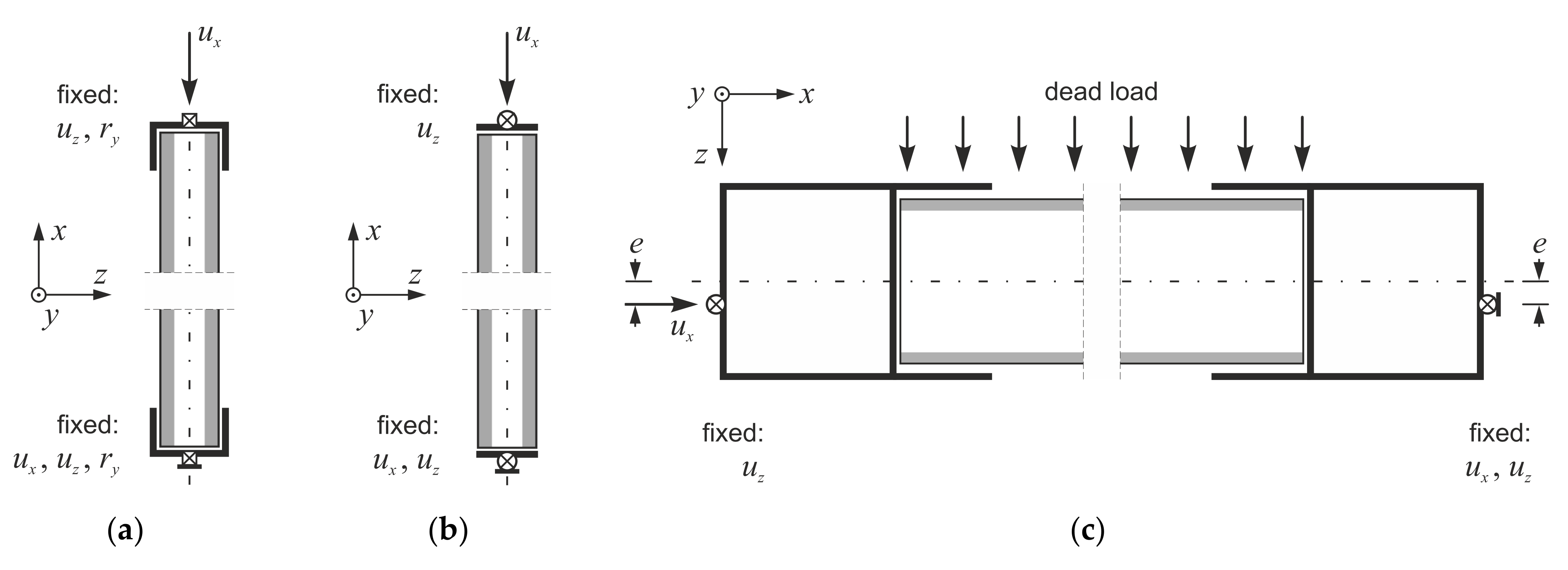
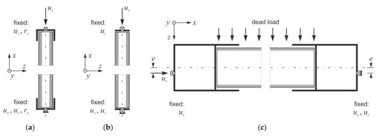
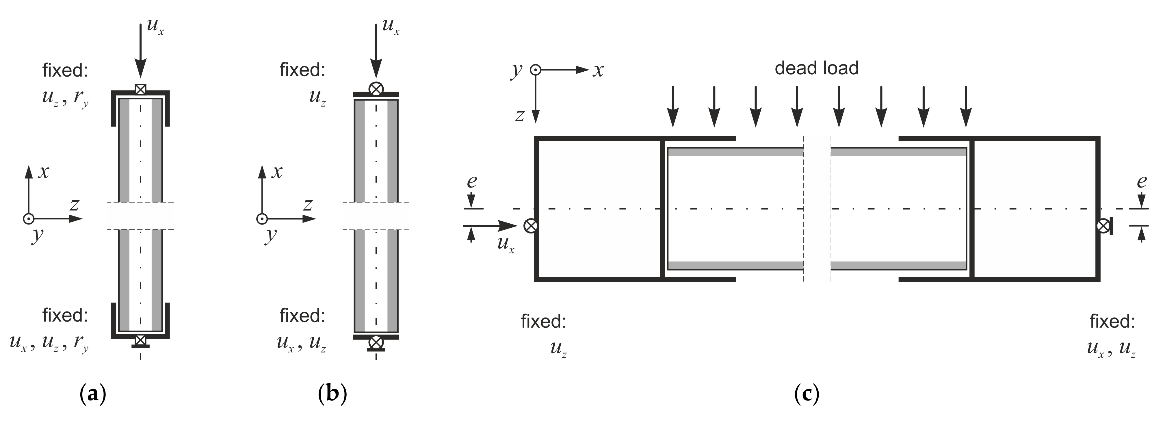
2.1. Experimental Analysis
2.2. Numerical Analysis
3. Results
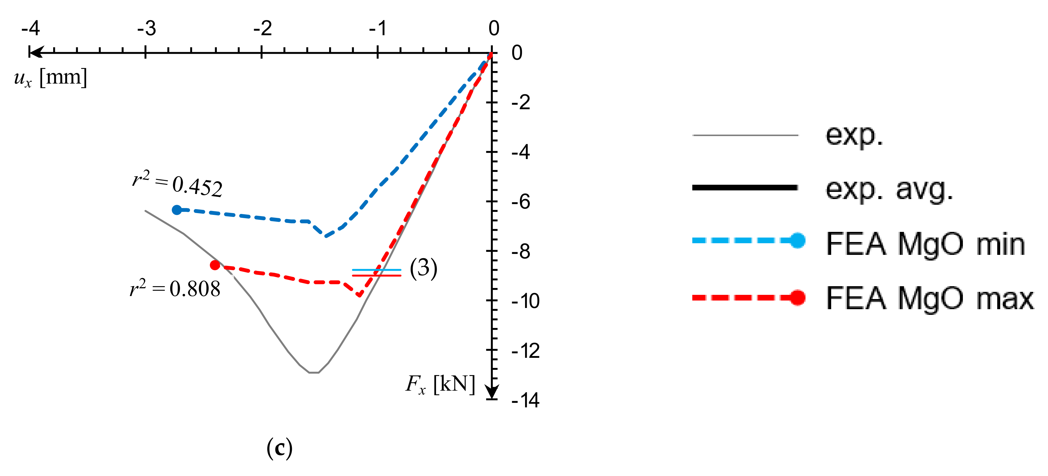
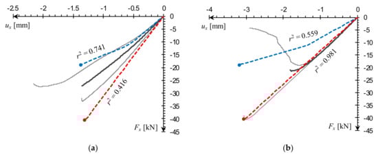
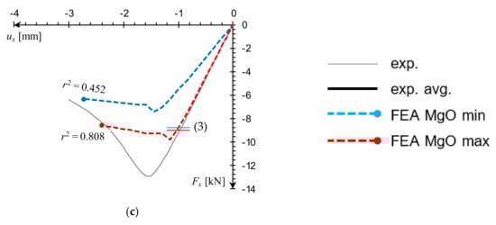
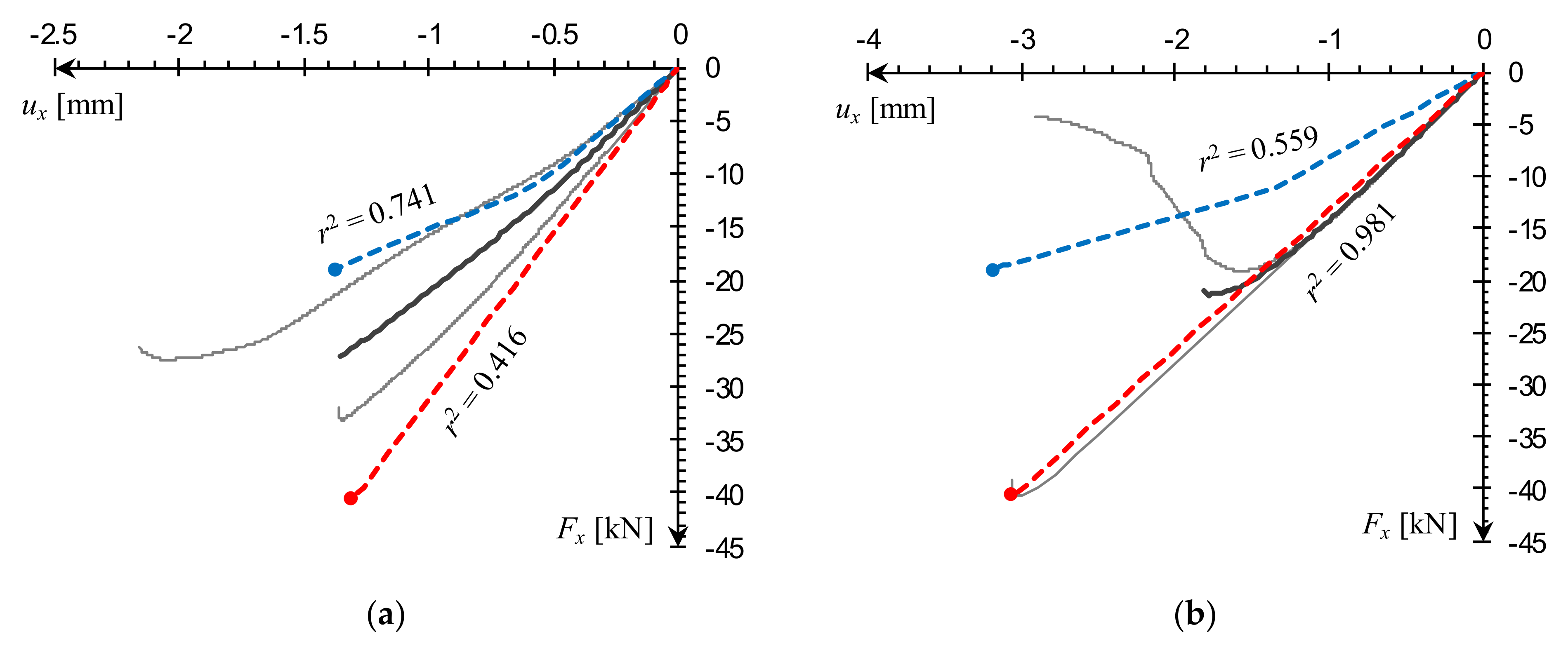
3.1. Small-Scale Sample Tests
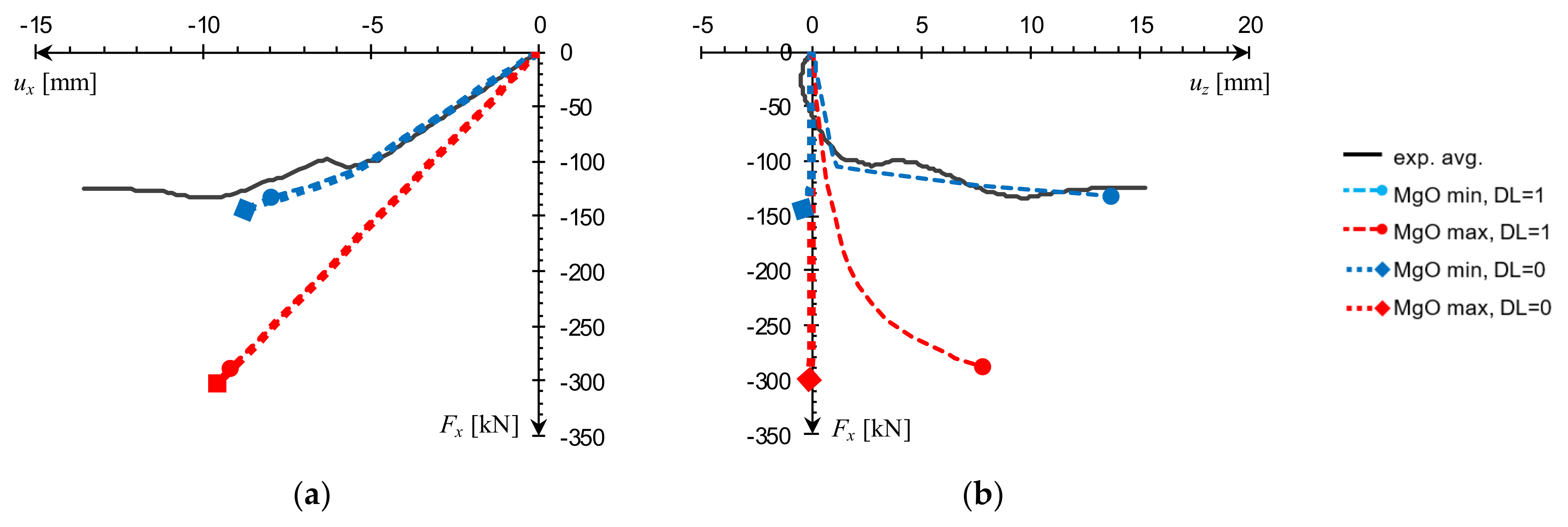
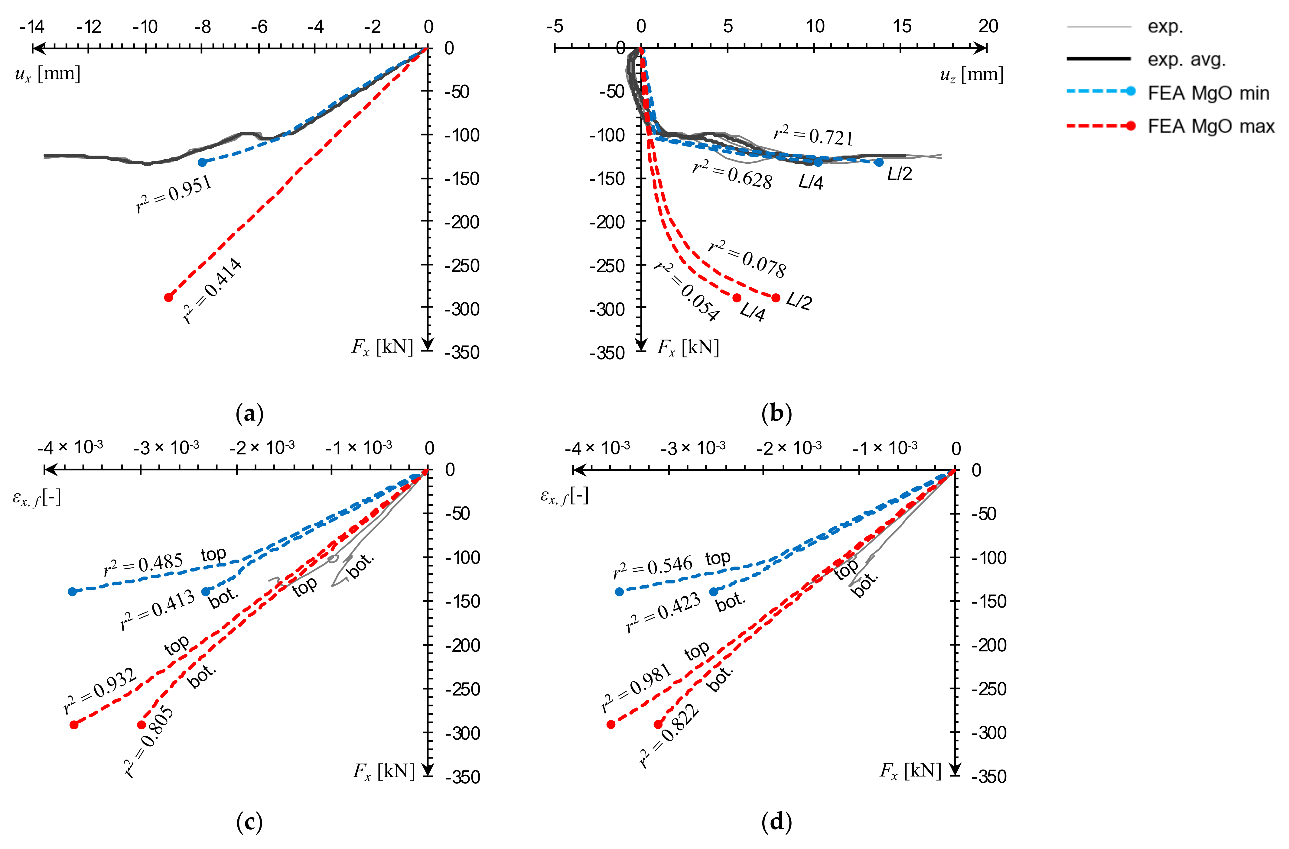
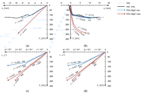
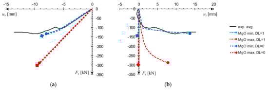
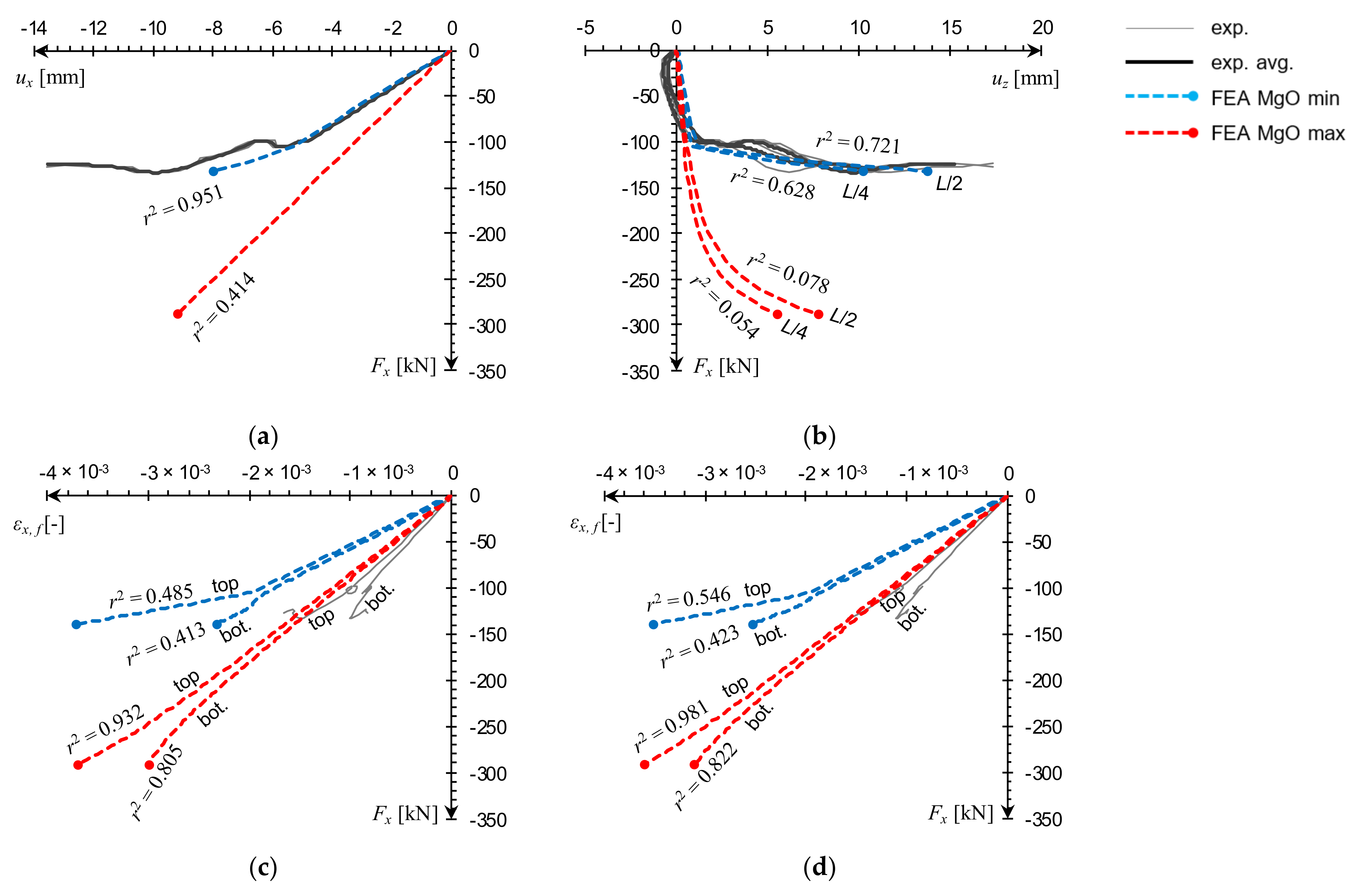
3.2. Full-Scale CSIP Tests
4. Discussion
5. Conclusions
- The proposed stress state dependent numerical approach enables an automatic differentiation of elastic, plastic, and failure properties in the entire specimen throughout the whole analysis. This functionality allows accounting for flexural action caused by load eccentricity and global buckling. The presented SSV maps show that the procedure identifies stress state distribution changes in all CSIP samples in a physically sound manner.
- The numerical model identified all failure modes correctly. It was able to capture the e0 panel’s premature failure and global buckling of the L3 column. A high level of curve similarity for both force–displacement and force–strain curves was obtained as well. A few slight differences were noted that can be attributed to the idealization of boundary conditions in FEA.
- The model allows for efficient macroscale calculations and to avoid detailed mesoscale modeling. The author’s procedure enhances the capabilities of a homogenized approach in a straightforward manner.
- The availability of comprehensive material property information for different stress states is preferred; however, this approach allows for a simple introduction of additional data once it is obtained from experimental tests.
Author Contributions
Funding
Institutional Review Board Statement
Informed Consent Statement
Data Availability Statement
Acknowledgments
Conflicts of Interest
References
- Uddin, N.; Vaidya, A.; Vaidya, U.; Pillay, S. Thermoplastic composite structural insulated panels (CSIPs) for modular panelized construction. In Developments in Fiber-Reinforced Polymer (FRP) Composites for Civil Engineering; Elsevier: Amsterdam, The Netherlands, 2013; pp. 302–316. ISBN 9781845691455. [Google Scholar]
- Mohamed, M.; Hussein, R.; Abutunis, A.; Huo, Z.; Chandrashekhara, K.; Sneed, L.H. Manufacturing and Evaluation of Polyurethane Composite Structural Insulated Panels. J. Sandw. Struct. Mater. 2016, 18, 769–789. [Google Scholar] [CrossRef]
- Chróścielewski, J.; Miśkiewicz, M.; Pyrzowski, Ł.; Rucka, M.; Sobczyk, B.; Wilde, K. Modal Properties Identification of a Novel Sandwich Footbridge—Comparison of Measured Dynamic Response and FEA. Compos. Part B Eng. 2018, 151, 245–255. [Google Scholar] [CrossRef]
- Sharafi, P.; Nemati, S.; Samali, B.; Ghodrat, M. Development of an Innovative Modular Foam-Filled Panelized System for Rapidly Assembled Postdisaster Housing. Buildings 2018, 8, 97. [Google Scholar] [CrossRef]
- Murčinková, Z.; Živčák, J.; Zajac, J. Experimental Study of Parameters Influencing the Damping of Particulate, Fibre-Reinforced, Hybrid, and Sandwich Composites. Int. J. Mater. Res. 2020, 111, 688–697. [Google Scholar] [CrossRef]
- Kermani, A. Performance of Structural Insulated Panels. Proc. Inst. Civ. Eng. Struct. Build. 2006, 159, 13–19. [Google Scholar] [CrossRef]
- Panjehpour, M. Structural Insulated Panels: State-of-the-Art. Trends Civ. Eng. Archit. 2018, 3, 336–340. [Google Scholar] [CrossRef]
- El-Gammal, M.A.; El-alfy, A.M.H.; Mohamed, N.M. Using Magnesium Oxide Wallboard as an Alternative Building Façade Cladding Material in Modern Cairo Buildings. J. Appl. Sci. Res. 2012, 8, 2024–2032. [Google Scholar]
- Manalo, A. Structural Behaviour of a Prefabricated Composite Wall System Made from Rigid Polyurethane Foam and Magnesium Oxide Board. Constr. Build. Mater. 2013, 41, 642–653. [Google Scholar] [CrossRef]
- Kibert, C.J. Sustainable Construction: Green Building Design and Delivery, 3rd ed.; John Wiley & Sons, Inc.: Hoboken, NJ, USA, 2013; ISBN 9780470904459. [Google Scholar]
- Choi, I.; Kim, J.; Kim, H.-R. Composite Behavior of Insulated Concrete Sandwich Wall Panels Subjected to Wind Pressure and Suction. Materials 2015, 8, 1264–1282. [Google Scholar] [CrossRef]
- Carlsson, L.A.; Kardomateas, G.A. Structural and Failure Mechanics of Sandwich Composites; Solid Mechanics and Its Applications; Springer: Dordrecht, The Netherlands, 2011; Volume 121, ISBN 978-1-4020-3224-0. [Google Scholar]
- Gdoutos, E.E.; Daniel, I.M.; Wang, K.-A. Compression Facing Wrinkling of Composite Sandwich Structures. Mech. Mater. 2003, 35, 511–522. [Google Scholar] [CrossRef]
- Mousa, M.A.; Uddin, N. Global Buckling of Composite Structural Insulated Wall Panels. Mater. Des. 2011, 32, 766–772. [Google Scholar] [CrossRef]
- Mousa, M.A.; Uddin, N. Structural Behavior and Modeling of Full-Scale Composite Structural Insulated Wall Panels. Eng. Struct. 2012, 41, 320–334. [Google Scholar] [CrossRef]
- Boccaccio, A.; Casavola, C.; Lamberti, L.; Pappalettere, C. Structural Response of Polyethylene Foam-Based Sandwich Panels Subjected to Edgewise Compression. Materials 2013, 6, 4545–4564. [Google Scholar] [CrossRef] [PubMed]
- Mathieson, H.; Fam, A. Axial Loading Tests and Simplified Modeling of Sandwich Panels with GFRP Skins and Soft Core at Various Slenderness Ratios. J. Compos. Constr. 2015, 19, 4014040. [Google Scholar] [CrossRef]
- Abdolpour, H.; Escusa, G.; Sena-Cruz, J.M.; Valente, I.B.; Barros, J.A.O. Axial Performance of Jointed Sandwich Wall Panels. J. Compos. Constr. 2017, 21, 4017009. [Google Scholar] [CrossRef]
- Wang, L.; Wu, Z.; Liu, W.; Wan, L. Structural Behavior of Load-Bearing Sandwich Wall Panels with GFRP Skin and a Foam-Web Core. Sci. Eng. Compos. Mater. 2018, 25, 173–188. [Google Scholar] [CrossRef]
- Pozorska, J.; Pozorski, Z. Analysis of the Failure Mechanism of the Sandwich Panel at the Supports. Procedia Eng. 2017, 177, 168–174. [Google Scholar] [CrossRef]
- Studziński, R.; Pozorski, Z. Experimental and Numerical Analysis of Sandwich Panels with Hybrid Core. J. Sandw. Struct. Mater. 2018, 20, 271–286. [Google Scholar] [CrossRef]
- Vervloet, J.; Tysmans, T.; El Kadi, M.; De Munck, M.; Kapsalis, P.; Van Itterbeeck, P.; Wastiels, J.; Van Hemelrijck, D. Validation of a Numerical Bending Model for Sandwich Beams with Textile-Reinforced Cement Faces by Means of Digital Image Correlation. Appl. Sci. 2019, 9, 1253. [Google Scholar] [CrossRef]
- Jacques, E.; Makar, J. Behaviour of Structural Insulated Panels (SIPs) Subjected to Short-Term out-of-Plane Transverse Loads. Can. J. Civ. Eng. 2019, 46, 858–869. [Google Scholar] [CrossRef]
- Smakosz, Ł.; Tejchman, J. Evaluation of Strength, Deformability and Failure Mode of Composite Structural Insulated Panels. Mater. Des. 2014, 54, 1068–1082. [Google Scholar] [CrossRef]
- Smakosz, Ł. Experimental and Numerical Analysis of Sandwich Panels with Magnesium-Oxide Board Facings and an Expanded Polystyrene Core. Ph.D. Thesis, Gdańsk University of Technology, Gdańsk, Poland, 2017. (In Polish). [Google Scholar]
- Smakosz, Ł.; Kreja, I. Experimental and numerical evaluation of mechanical behaviour of composite structural insulated wall panels under edgewise compression. In Advances in Mechanics: Theoretical, Computational and Interdisciplinary Issues; CRC Press: Boca Raton, FL, USA, 2016; pp. 521–524. [Google Scholar]
- Smakosz, Ł.; Kreja, I.; Pozorski, Z. Flexural Behavior of Composite Structural Insulated Panels with Magnesium Oxide Board Facings. Arch. Civ. Mech. Eng. 2020, 20, 105. [Google Scholar] [CrossRef]
- ASTM C364/C364M-16. Standard Test Method for Edgewise Compressive Strength of Sandwich Constructions; ASTM International: West Conshohocken, PA, USA, 2016. [Google Scholar]
- Dassault Systèmes Simulia Corp. ABAQUS/CAE User’s Manual; Dassault Systèmes: Providence, RI, USA, 2011. [Google Scholar]
- Montgomery, D.C.; Runger, G.C. Applied Statistics and Probability for Engineers, 3rd ed.; John Wiley & Sons, Inc.: Hoboken, NJ, USA, 2003; ISBN 0-471-20454-4. [Google Scholar]






















| Sample | n | Core Type | tf mm | tc mm | a mm | L mm | e mm | Rotation at Supp. | Le mm | λ |
|---|---|---|---|---|---|---|---|---|---|---|
| L1 | 2 | EPS15 | 11 | 20 | 100 | 275 | 0 | Fixed | 138 | 8.7 |
| L2 | 2 | EPS21 | 11 | 20 | 100 | 645 | 0 | Fixed | 323 | 20.4 |
| L3 | 1 | EPS15 | 11 | 20 | 100 | 955 | 0 | Free | 955 | 60.4 |
| e0 | 1 | EPS21 | 11 | 152 | 1000 | 2750 | 0 | Free | 3080 | 37.3 |
| e1 | 1 | EPS21 | 11 | 152 | 1000 | 2750 | 27 | Free | 3080 | 37.3 |
| e2 | 1 | EPS21 | 11 | 152 | 1000 | 2750 | 54 | Free | 3080 | 37.3 |
| Material Model | SSV | E MPa | υ | σpl MPa | Epl MPa | β | ψ | pt0 MPa | εpl,eq | η |
|---|---|---|---|---|---|---|---|---|---|---|
| MgO min | −1 | 2430 | 0.18 | 5.0 | 1205 | 25 | 10 | 8 | 1.6 × 10−3 | −3.2 × 10−1 |
| 1 | 6325 | 0.18 | 4.8 | 1940 | 25 | 10 | 8 | 1.4 × 10−3 | 3.3 × 10−1 | |
| MgO max | −1 | 3885 | 0.18 | 18.2 | 1130 | 25 | 10 | 8 | 3.0 × 10−4 | −3.2 × 10−1 |
| 1 | 8845 | 0.18 | 6.1 | 1495 | 25 | 10 | 8 | 1.3 × 10−3 | 3.3 × 10−1 | |
| EPS15 | −1 | 5.0 | 0.09 | 0.075 | 0.14 | 1 | 1 | 0.7 | 1.0 | −1.0 |
| 0 | 6.1 | 0.09 | 0.075 | 3.45 | 1 | 1 | 0.7 | 8.3 × 10−3 | −1.5 × 10−2 | |
| 1 | 7.2 | 0.09 | 0.135 | 4.08 | 1 | 1 | 0.7 | 8.0 × 10−3 | 3.3 × 10−1 | |
| EPS21 | −1 | 6.8 | 0.12 | 0.090 | 0.18 | 2 | 2 | 0.5 | 1.0 | −1.0 |
| 0 | 9.2 | 0.12 | 0.090 | 5.21 | 2 | 2 | 0.5 | 1.4 × 10−2 | −1.5 × 10−2 | |
| 1 | 10.5 | 0.12 | 0.160 | 5.94 | 2 | 2 | 0.5 | 7.1 × 10−3 | 3.3 × 10−1 |
| Sample | Experimental | FEA | Comparison | Failure Mode Pred. | |||||
|---|---|---|---|---|---|---|---|---|---|
| Fxu kN | σx,f u MPa | Fac. Mat. Variant | Fxu kN | σx,f u MPa | δFxu % | δσx,f u % | r2 | ||
| L1 | −27.08 | −14.13 | MgO min | −18.93 | −9.04 | 30.1 | 36.0 | 0.741 | Correct |
| MgO max | −40.51 | −19.02 | 49.6 | 34.6 | 0.416 | Correct | |||
| L2 | −21.36 | −13.71 | MgO min | −18.91 | −9.05 | 11.5 | 34.0 | 0.559 | Correct |
| MgO max | −40.49 | −19.03 | 89.5 | 38.8 | 0.981 | Correct | |||
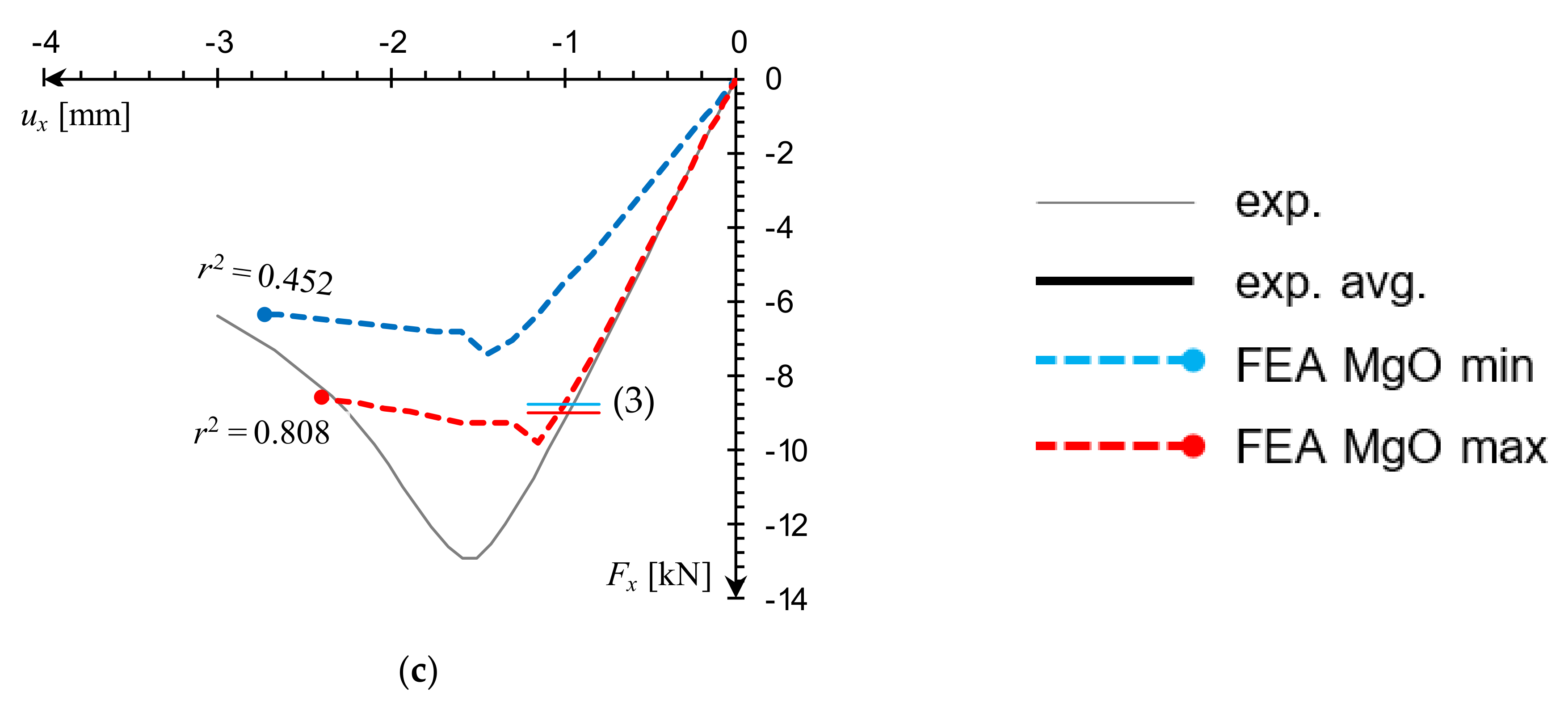
| L3 | −12.91 a | −5.95 a | MgO min | −7.48 a | −3.47 a | 42.3 | 41.7 | 0.452 | Correct |
| MgO max | −9.83 a | −4.98 a | 24.1 | 16.3 | 0.808 | Correct | |||
| Sample | Experimental | FEA | Comparison | r2 (-) | Failure Mode Pred. | ||||||||||
|---|---|---|---|---|---|---|---|---|---|---|---|---|---|---|---|
| Fxu kN | σx,f u MPa | Fac. Mat. Variant | Fxu kN | σx,f u MPa | δFxu % | δσx,f u % | Fx(ux) | Fx(uz) L/2 | Fx(uz) L/4 | Fx(εx, f) L/2 top | F(εx, f) L/2 bot | Fx(εx, f) L/4 top | Fx(εx, f) L/4 bot | ||
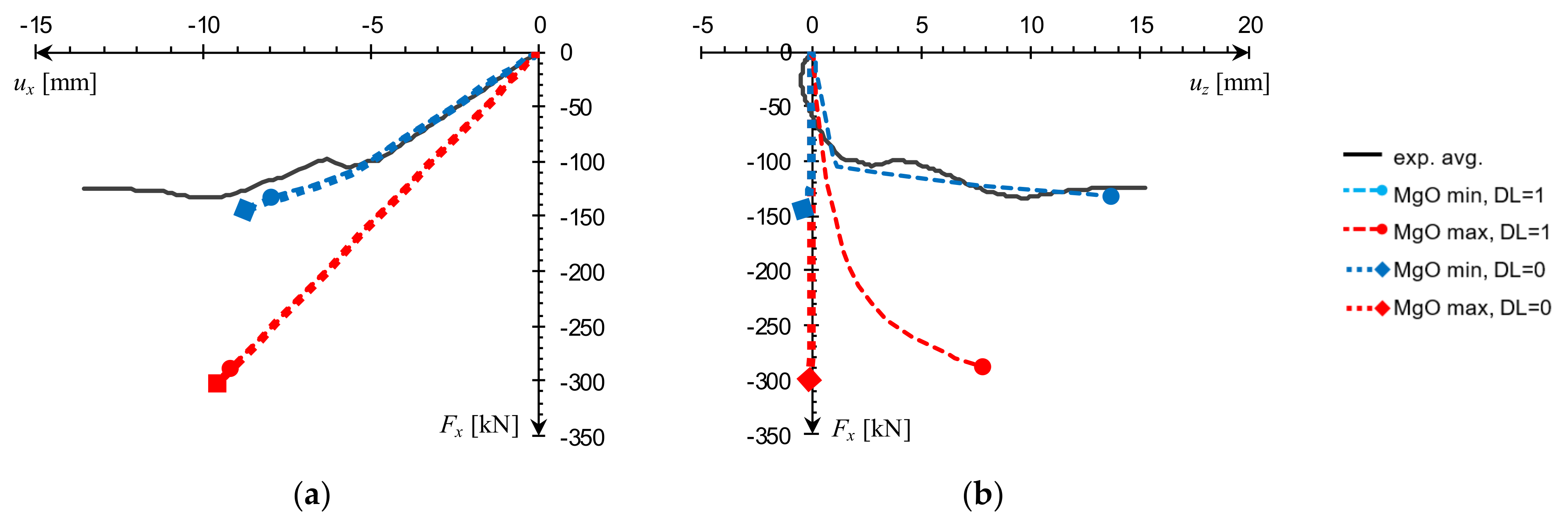
| e0 | −133.3 | −5.77 | MgO min | −133.0 | −9.59 | 0.3 | 66.2 | 0.951 | 0.721 | 0.628 | 0.485 | 0.413 | 0.546 | 0.423 | Correct |
| MgO max | −288.0 | −20.66 | 116.0 | 258.1 | 0.414 | 0.078 | 0.054 | 0.932 | 0.805 | 0.981 | 0.822 | Correct | |||
| e1 | −199.8 | −12.35 | MgO min | −109.1 | −9.12 | 45.4 | 26.2 | 0.604 | 0.303 | 0.344 | 0.915 | 0.383 | 0.807 | 0.407 | Correct |
| MgO max | −211.2 | −19.58 | 5.7 | 58.5 | 0.860 | 0.981 | 0.941 | 0.686 | 0.910 | 0.909 | 0.926 | Correct | |||
| e2 | −161.9 | −10.10 | MgO min | −86.3 | −9.12 | 46.7 | 9.7 | 0.691 | 0.376 | 0.379 | −0.219 | 0.446 | - | - | Correct |
| MgO max | −165.3 | −19.59 | 2.1 | 94.0 | 0.698 | 0.954 | 0.881 | 0.086 | 0.985 | - | - | Correct | |||
Publisher’s Note: MDPI stays neutral with regard to jurisdictional claims in published maps and institutional affiliations. |
© 2021 by the authors. Licensee MDPI, Basel, Switzerland. This article is an open access article distributed under the terms and conditions of the Creative Commons Attribution (CC BY) license (https://creativecommons.org/licenses/by/4.0/).
Share and Cite
Smakosz, Ł.; Kreja, I.; Pozorski, Z. Edgewise Compressive Behavior of Composite Structural Insulated Panels with Magnesium Oxide Board Facings. Materials 2021, 14, 3030. https://doi.org/10.3390/ma14113030
Smakosz Ł, Kreja I, Pozorski Z. Edgewise Compressive Behavior of Composite Structural Insulated Panels with Magnesium Oxide Board Facings. Materials. 2021; 14(11):3030. https://doi.org/10.3390/ma14113030
Chicago/Turabian StyleSmakosz, Łukasz, Ireneusz Kreja, and Zbigniew Pozorski. 2021. "Edgewise Compressive Behavior of Composite Structural Insulated Panels with Magnesium Oxide Board Facings" Materials 14, no. 11: 3030. https://doi.org/10.3390/ma14113030
APA StyleSmakosz, Ł., Kreja, I., & Pozorski, Z. (2021). Edgewise Compressive Behavior of Composite Structural Insulated Panels with Magnesium Oxide Board Facings. Materials, 14(11), 3030. https://doi.org/10.3390/ma14113030

