Controlling the Thermal Stability of Kyanite-Based Refractory Geopolymers
Abstract
1. Introduction
2. Materials and Methods
2.1. Materials
2.1.1. Preparation of the Alkaline Solution
2.1.2. Mix-Design of the Refractory Composites
2.2. Characterization Techniques
2.2.1. Thermal Analysis
2.2.2. Mineralogical Analysis
2.2.3. Physical and Mechanical Properties
2.2.4. Microstructure Analysis
3. Results and Discussion
3.1. Thermal Stability of Refractory Geopolymer Composites under Sintering Cycles
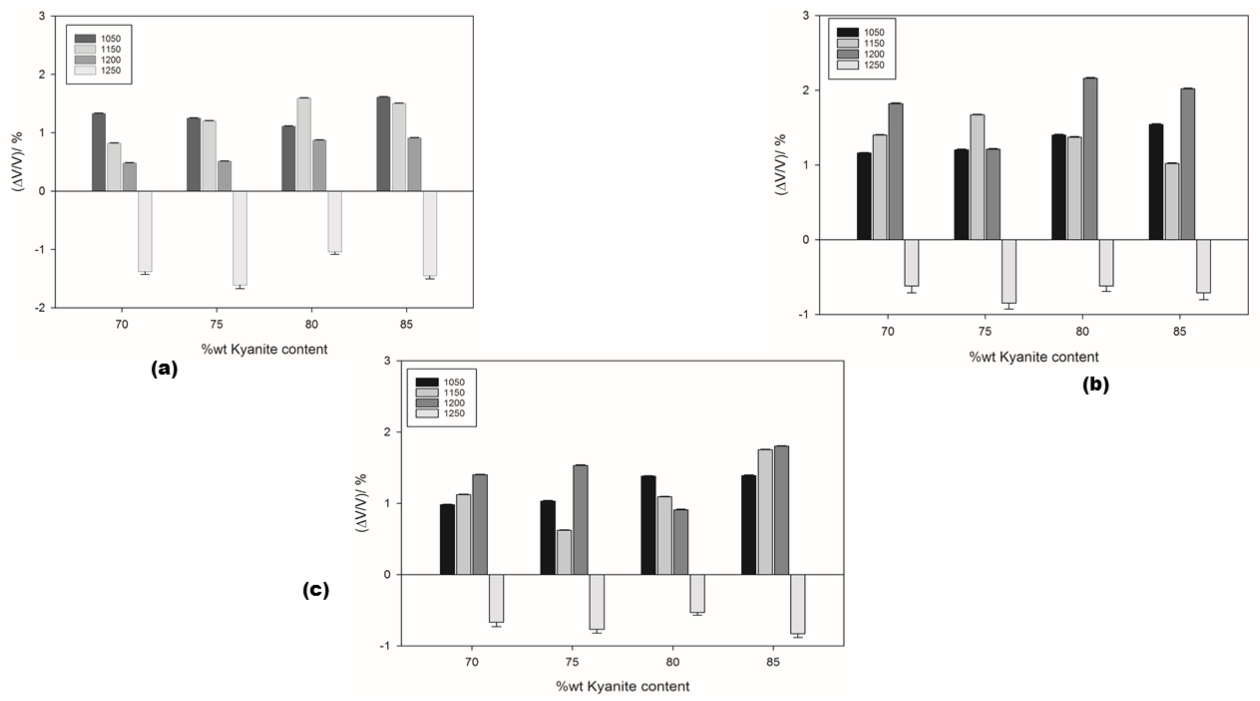
3.2. Dimensional Stability under Thermal Sintering Cycles
3.3. Phase Evolution of the Refractory Geopolymer Composites
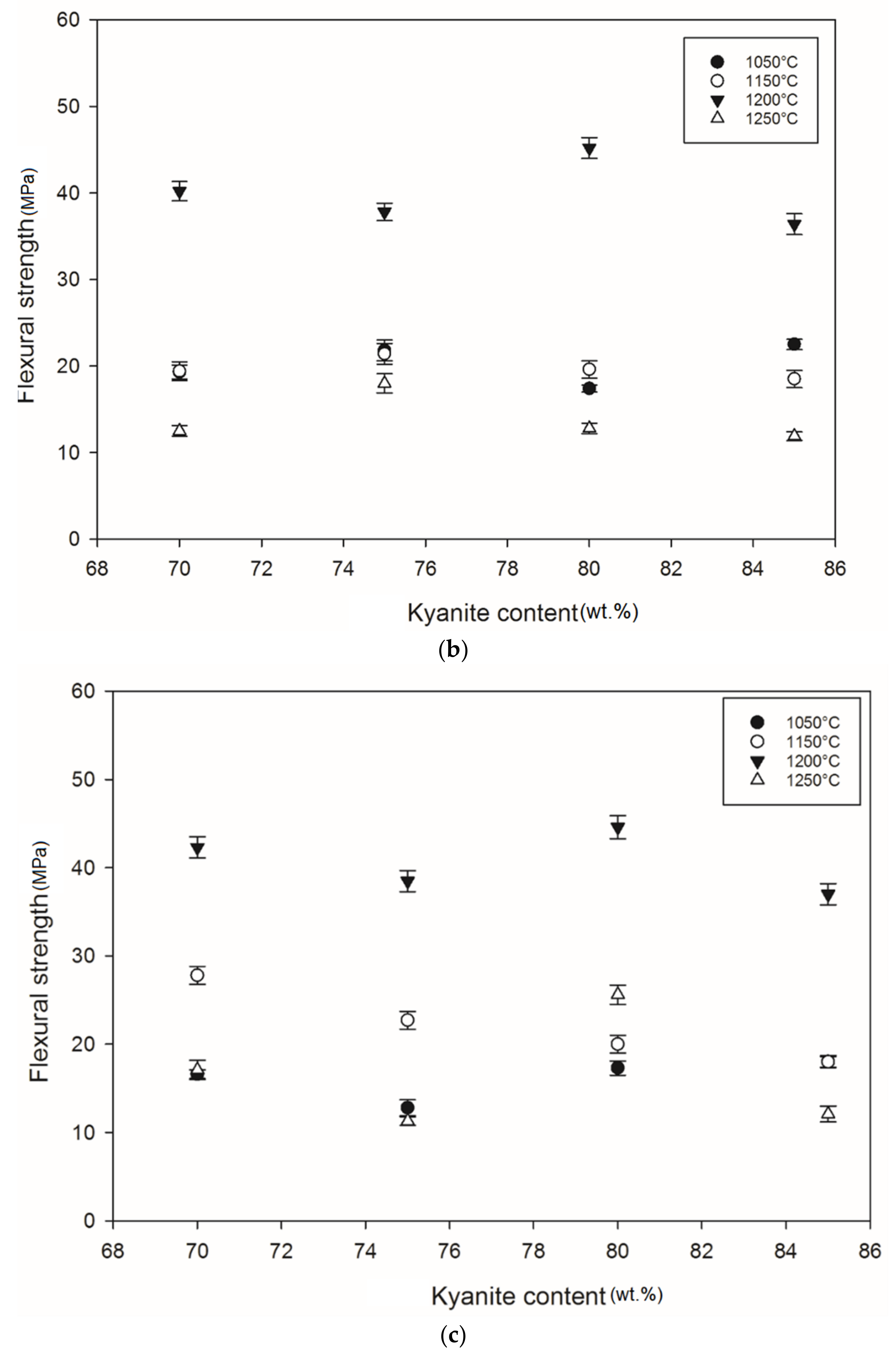
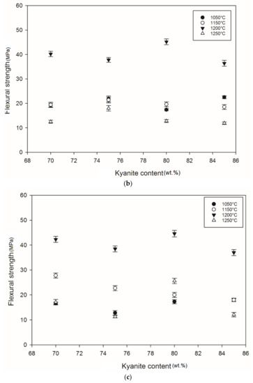
3.4. Mechanical Properties
3.5. Microstructure
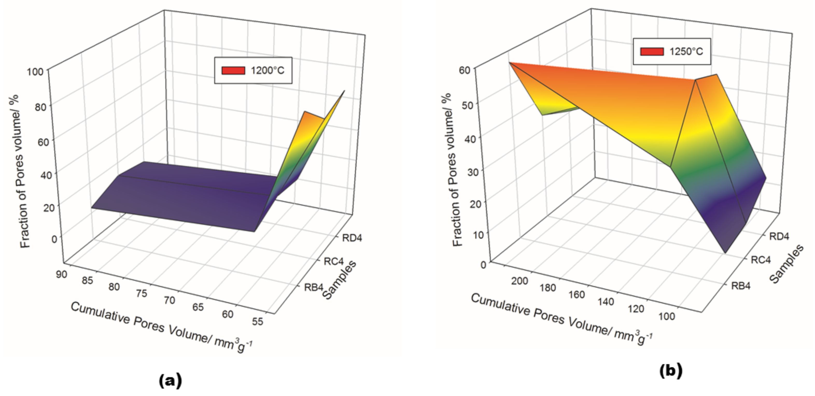
3.6. Pore Size Distribution and Structure
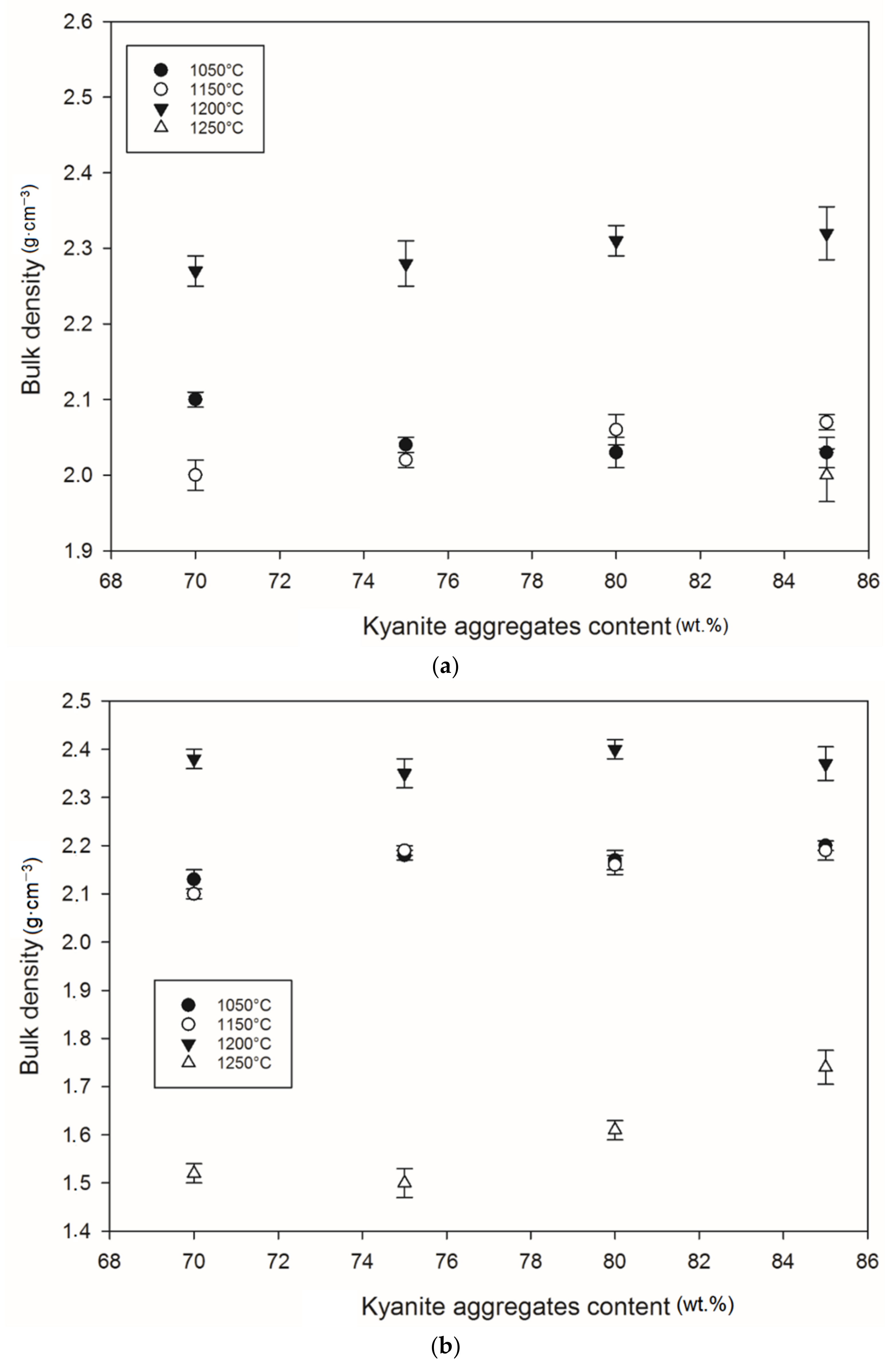
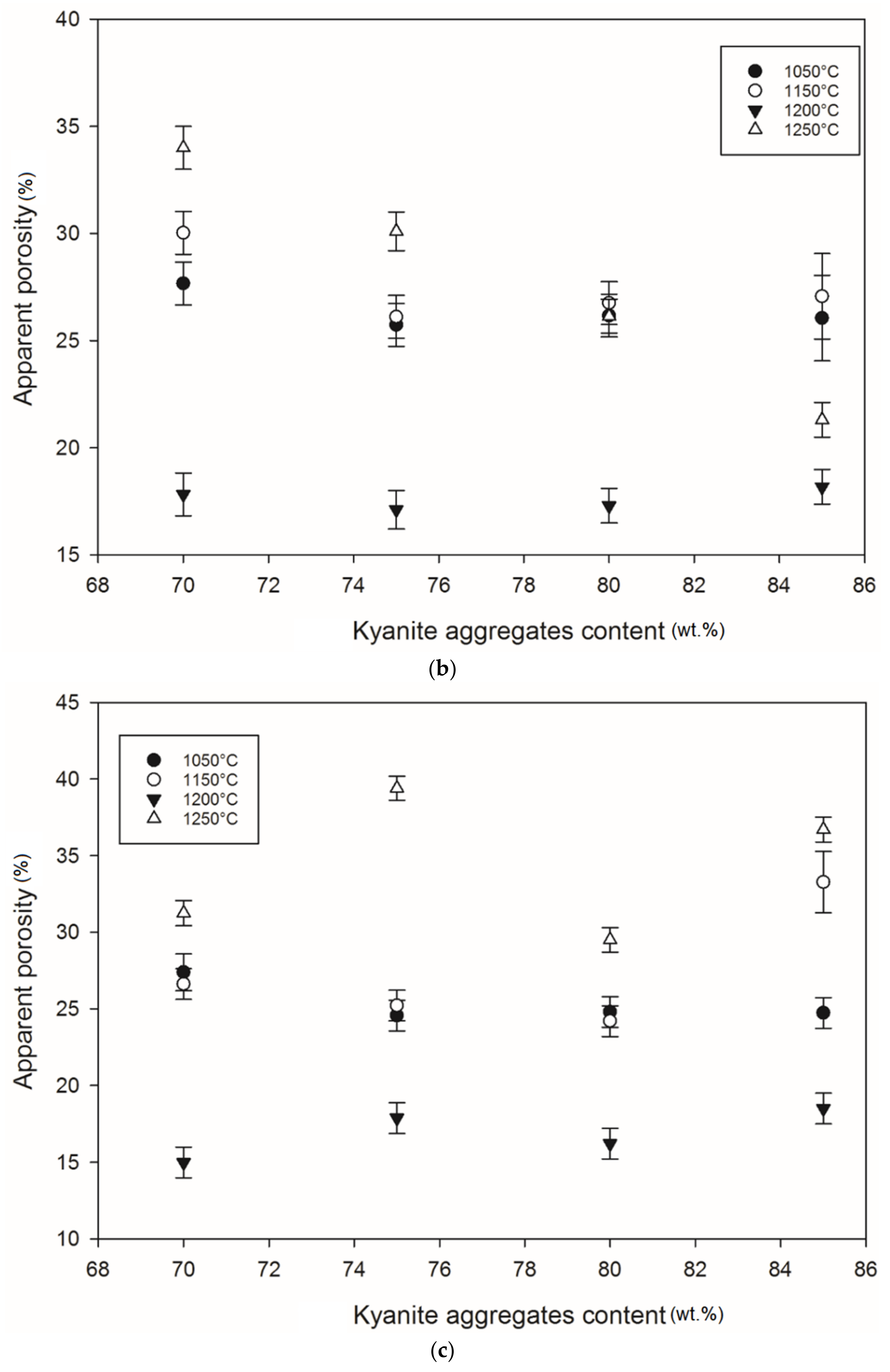
3.7. Densification and Porosity Evolution
4. Conclusions
- Both kyanite content and kyanite powder finesse greatly influenced the thermomechanical performances of the geopolymer matrices subjected to thermal treatments up to 1250 °C;
- The kyanite aggregates were efficient for controlling the melting of the gel binders within the formed matrices;
- At temperatures below 1200 °C, larger amounts of kyanite induced higher particle density within the matrices, resulting in the improvement of flexural strength;
- Coarser kyanite aggregates favored the reduction of pore volume but induced the development of larger pores. This was related to poor cohesion or open voids among the coarse grains of kyanite and the crystalline phases (mullite, cordierite, leucite, etc.) within the matrices.
Author Contributions
Funding
Institutional Review Board Statement
Informed Consent Statement
Data Availability Statement
Acknowledgments
Conflicts of Interest
References
- Muñoz, I.; Soto, A.; Maza, D.; Bayón, F. Life cycle assessment of refractory waste management in a Spanish steel works. Waste Manag. 2020, 111, 1–9. [Google Scholar] [CrossRef]
- Huarachi, D.A.R.; Gonçalves, G.; de Francisco, A.C.; Canteri, M.H.G.; Piekarski, C.M. Life cycle assessment of traditional and alternative bricks: A review. Environ. Impact Assess. Rev. 2020, 80, 106335. [Google Scholar] [CrossRef]
- Ren, W.; Xue, B.; Lu, C.; Zhang, Z.; Zhang, Y.; Jiang, L. Evaluation of GHG emissions from the production of magnesia refrac-tory raw materials in Dashiqiao, China. J. Clean. Prod. 2016, 135, 214–222. [Google Scholar] [CrossRef]
- Nath, A.J.; Lal, R.; Das, A.K. Fired Bricks: CO2 Emission and Food Insecurity. Glob. Chall. 2018, 2, 1700115. [Google Scholar] [CrossRef]
- Coppola, B.; Tardivat, C.; Richaud, S.; Tulliani, J.-M.; Montanaro, L.; Palmero, P. Alkali-activated refractory wastes exposed to high temperatures: Development and characterization. J. Eur. Ceram. Soc. 2020, 40, 3314–3326. [Google Scholar] [CrossRef]
- Djangang, C.N.; Tealdi, C.; Cattaneo, A.S.; Mustarelli, P.; Kamseu, E.; Leonelli, C. Cold-setting refractory composites from cordierite and mullite–cordierite design with geopolymer paste as binder: Thermal behavior and phase evolution. Mater. Chem. Phys. 2015, 154, 66–77. [Google Scholar] [CrossRef]
- Kutyla, G.P.; Kriven, W.M. Properties and characterization of alumina platelet reinforced geopolymer composites. J. Am. Ceram. Soc. 2020, 103, 5178–5185. [Google Scholar] [CrossRef]
- Kamseu, E.; Djangang, C.; Veronesi, P.; Fernanda, A.; Melo, U.C.; Sglavo, V.M.; Leonelli, C. Transformation of the geopolymer gels to crystalline bonds in cold-setting refractory concretes: Pore evolution, mechanical strength and microstructure. Mater. Des. 2015, 88, 336–344. [Google Scholar] [CrossRef]
- Moosavi, A.; Asadi, S.; Shoraki, H.J. Microstructure and mechanical properties of tabular alumina composites with geopoly-mer binder at elevated temperatures. Ceram. Int. 2019, 45, 9092–9098. [Google Scholar] [CrossRef]
- Mbakop, T.T.; Deutou, J.G.N.; Boubakar, L.; Billong, N.; Melo, U.C.; Kamseu, E.; Sglavo, V.M. Enhancing the crystallization phenomena and strength of porcelain stoneware: The role of CaO. J. Therm. Anal. Calorim. 2021, 144, 91–106. [Google Scholar] [CrossRef]
- Kriven, W.M.; Bell, J.L.; Gordon, M. Microstructure and Microchemistry of Fully-Reacted Geopolymers and Geopolymer Matrix Composites. Ceram. Trans. 2006, 227–250. [Google Scholar] [CrossRef]
- Bahtli, T.; Hopa, D.Y.; Bostanci, V.M.; Yasti, S.Y. Investigation of thermal shock behaviour of MgO–C refractories by incorpo-ration of pyrolytic liquid as a binder. Mater. Chem. Phys. 2018, 213, 14–22. [Google Scholar] [CrossRef]
- Ma, M.; Chen, Q.; Wang, C.; Fu, H.; Li, T. High-performance organosilicon–refractory bauxite: Coating and fundamental properties. Constr. Build. Mater. 2019, 207, 563–571. [Google Scholar] [CrossRef]
- Pelissari, P.; Pandolfelli, V.; Carnelli, D.; Bouville, F. Refractory interphase and its role on the mechanical properties of boron containing nacre-like ceramic. J. Eur. Ceram. Soc. 2020, 40, 165–172. [Google Scholar] [CrossRef]
- Stjernberg, J.; Lindblom, B.; Wikström, J.; Antti, M.-L.; Odén, M. Microstructural characterization of alkali metal mediated high temperature reactions in mullite based refractories. Ceram. Int. 2010, 36, 733–740. [Google Scholar] [CrossRef]
- Kohout, J.; Koutník, P. Effect of Filler Type on the Thermo-Mechanical Properties of Metakaolinite-Based Geopolymer Composites. Materials 2020, 13, 2395. [Google Scholar] [CrossRef] [PubMed]
- Deutou, J.G.N.; Mohamed, H.; Nzeukou, N.A.; Kamseu, E.; Melo, U.C.; Beda, T.; Leonelli, C. The role of kyanite in the im-provement in the crystallization and densification of the high strength mullite matrix. J. Therm. Anal. Calorim. 2016, 126, 1211–1222. [Google Scholar] [CrossRef]
- Deutou, N.; Beda, T.; Biesuz, M.; Boubakar, L.; Melo, U.; Kamseu, E.; Sglavo, V.M. Design and characterization of porous mullite based semi-vitrified ceramics. Ceram. Int. 2018, 44, 7939–7948. [Google Scholar] [CrossRef]
- Kamseu, E.; Deutou, N.J.G.; Nzeukou, N.A.; Melo, U.C.; Magdalena, L.G.; Sglavo, V.M.; Beda, T.; Lionelli, C. The role of kyanite in the crystallization and densification of the high strength mullite matrix composites. J. Therm. Anal. Calorim. 2017, 131, 969–982. [Google Scholar] [CrossRef]
- Deutou, J.N.; Kamga, V.E.L.; Kaze, R.; Kamseu, E.; Sglavo, V.M. Thermal behaviour and phases evolution during the sintering of porous inorganic membranes. J. Eur. Ceram. Soc. 2020, 40, 2151–2162. [Google Scholar] [CrossRef]
- Deutou, J.N.G.; Zounedou, N.; Kaze, R.C.; Mohamed, H.; Beda, T.; Melo, U.C.; Kamseu, E.; Sglavo, V.M. Semi-vitrified porous kyanite mullite ceramics: Young modulus, microstructure and pore size evolution. SN Appl. Sci. 2019, 2, 126. [Google Scholar] [CrossRef]
- Kaze, C.R.; Alomayri, T.; Hasan, A.; Tome, S.; Lecomte-Nana, G.L.; Nemaleu, J.G.D.; Tchakoute, H.K.; Kamseu, E.; Melo, U.C.; Rahier, H. Reaction kinetics and rheological behaviour of meta-halloysite based geopolymer cured at room temperature: Effect of thermal activation on physicochemical and microstructural properties. Appl. Clay Sci. 2020, 196, 105773. [Google Scholar] [CrossRef]
- Mimboe, A.G.; Abo, M.T.; Djobo, J.N.Y.; Tome, S.; Kaze, R.C.; Deutou, J.G.N. Lateritic soil based-compressed earth bricks stabi-lized with phosphate binder. J. Build. Eng. 2020, 31, 101465. [Google Scholar] [CrossRef]
- Tanis-Kanbur, M.B.; Peinador, R.I.; Calvo, J.I.; Hernández, A.; Chew, J.W. Porosimetric membrane characterization techniques: A review. J. Membr. Sci. 2021, 619, 118750. [Google Scholar] [CrossRef]
- Tanis-Kanbur, M.B.; Peinador, R.I.; Hu, X.; Calvo, J.I.; Chew, J.W. Membrane characterization via evapoporometry (EP) and liquid-liquid displacement porosimetry (LLDP) techniques. J. Membr. Sci. 2019, 586, 248–258. [Google Scholar] [CrossRef]
- De Brito, I.P.; de Almeida, E.P.; de Araújo Neves, G.; de Lucena Lira, H.; Menezes, R.R.; da Silva, V.J.; de Lima Santana, L.N. Development of cordierite/mullite composites using industrial wastes. Int. J. Appl. Ceram. Technol. 2021, 18, 253–261. [Google Scholar] [CrossRef]
- Kim, D.-G.; Konar, B.; Jung, I.-H. Thermodynamic optimization of the K2O-Al2O3-SiO2 system. Ceram. Int. 2018, 44, 16712–16724. [Google Scholar] [CrossRef]
- Kozhukhova, N.; Kozhukhova, M.; Zhernovskaya, I.; Promakhov, V. The Correlation of Temperature-Mineral Phase Trans-formation as a Controlling Factor of Thermal and Mechanical Performance of Fly Ash-Based Alkali-Activated Binders. Materials 2020, 13, 5181. [Google Scholar] [CrossRef] [PubMed]
- Wan, Q.; Yin, H.; Tang, Y.; Yuan, H.; Ren, X.; Xin, Y.; Liu, Y. Effect of carbon sources on the properties of lightweight corun-dum-spinel refractory with density gradient. Int. J. Appl. Ceram. Technol. 2020, 17, 598–605. [Google Scholar] [CrossRef]
- Nana, A.; Kaze, R.C.; Alomayri, T.S.; Assaedi, H.S.; Deutou, J.G.N.; Ngouné, J.; Tchakouté, H.K.; Kamseu, E.; Leonelli, C. Innovative porous ceramic matrices from inorganic polymer composites (IPCs): Micro-structure and mechanical properties. Constr. Build. Mater. 2021, 273, 122032. [Google Scholar] [CrossRef]
- Wang, L.; He, G.; Yang, Z.; Li, J. Combustion synthesis of high flexural strength, low linear shrinkage and machinable porous β-Si3N4 ceramics. J. Eur. Ceram. Soc. 2020, 41, 2395–2399. [Google Scholar] [CrossRef]
- Chen, W.; Shui, A.; Shan, Q.; Lian, J.; Wang, C.; Li, J. The influence of different additives on microstructure and mechanical properties of aluminum titanate ceramics. Ceram. Int. 2021, 47, 1169–1176. [Google Scholar] [CrossRef]
- Ge, X.; Zhou, M.; Wang, H.; Chen, L.; Li, X.; Chen, X. Effects of flux components on the properties and pore structure of ceramic foams produced from coal bottom ash. Ceram. Int. 2019, 45, 12528–12534. [Google Scholar] [CrossRef]
- Xiao, J.; Chen, J.; Wei, Y.; Zhang, Y.; Zhang, S.; Li, N. Oxidation behaviors of MgO-C refractories with different Si/SiC ratio in the 1100–1500 °C range. Ceram. Int. 2019, 45, 21099–21107. [Google Scholar] [CrossRef]
- Chen, Y.; Liu, G.; Gu, Q.; Li, S.; Fan, B.; Zhang, R.; Li, H. Preparation of corundum-mullite refractories with lightweight, high strength and high thermal shock resistance. Materialia 2019, 8, 100517. [Google Scholar] [CrossRef]
- Liang, X.; Li, Y.; Pan, L.; Sang, S.; Zhu, T.; Li, B.; Aneziris, C.G. Preparation and enhancement of mullite reticulated porous ce-ramics for porous media combustion. Ceram. Int. 2019, 45, 22226–22232. [Google Scholar] [CrossRef]
- Ma, J.; Xi, X.; He, C.; Chen, W.; Tian, W.; Li, J.; Wang, C.; Luo, B.; Shui, A.; Hua, K. High-performance macro-porous alumi-na-mullite ceramic membrane supports fabricated by employing coarse alumina and colloidal silica. Ceram. Int. 2019, 45, 17946–17954. [Google Scholar] [CrossRef]
- Son, M.-A.; Chae, K.-W.; Kim, J.S.; Kim, S.-H. Structural origin of negative thermal expansion of cordierite honeycomb ce-ramics and crystal phase evolution with sintering temperature. J. Eur. Ceram. Soc. 2019, 39, 2484–2492. [Google Scholar] [CrossRef]
- Vakalova, T.; Pogrebenkov, V.; Revva, I.; Rusinov, P.; Balamygin, D. Effect of fluorine-containing additive on the synthesis and sintering of compositions from natural raw materials in the “cordierite–mullite” system. Ceram. Int. 2019, 45, 9695–9703. [Google Scholar] [CrossRef]
- Guo, H.; Li, W. Effects of Al2O3 crystal types on morphologies, formation mechanisms of mullite and properties of porous mullite ceramics based on kyanite. J. Eur. Ceram. Soc. 2018, 38, 679–686. [Google Scholar] [CrossRef]
- Rovnaník, P.; Bayer, P.; Rovnaníková, P. Characterization of alkali activated slag paste after exposure to high temperatures. Constr. Build. Mater. 2013, 47, 1479–1487. [Google Scholar] [CrossRef]
- Dudek, M.; Sitarz, M.J.M. Analysis of Changes in the Microstructure of Geopolymer Mortar after Exposure to High Temperatures. Materials 2020, 13, 4263. [Google Scholar] [CrossRef]
- Rovnaník, P.; Šafránková, K. Thermal Behaviour of Metakaolin/Fly Ash Geopolymers with Chamotte Aggregate. Materials 2016, 9, 535. [Google Scholar] [CrossRef] [PubMed]
- Shaikh, F.U.A. Effects of slag content on the residual mechanical properties of ambient air-cured geopolymers exposed to elevated temperatures. J. Asian Ceram. Soc. 2018, 6, 342–358. [Google Scholar] [CrossRef]



















| Series | Samples | Metakaokin (MK) | Calcined Bauxite (MB) | Calcined Talc (MT) | Kyanite Aggregates | Alkaline Solution/Solid Ratio |
|---|---|---|---|---|---|---|
| 80 µm | RB1 | 46.4 | 12.8 | 40.52 | 69.8 | 0.2 |
| RB2 | 46.4 | 12.8 | 40.52 | 74.79 | ||
| RB3 | 46.4 | 12.8 | 40.52 | 79.76 | ||
| RB4 | 46.4 | 12.8 | 40.52 | 84.74 | ||
| 200 µm | RC1 | 46.4 | 12.8 | 40.52 | 69.8 | 0.2 |
| RC2 | 46.4 | 12.8 | 40.52 | 74.79 | ||
| RC3 | 46.4 | 12.8 | 40.52 | 79.76 | ||
| RC4 | 46.4 | 12.8 | 40.52 | 84.74 | ||
| 500 µm | RD1 | 46.4 | 12.8 | 40.52 | 69.8 | 0.2 |
| RD2 | 46.4 | 12.8 | 40.52 | 74.79 | ||
| RD3 | 46.4 | 12.8 | 40.52 | 79.76 | ||
| RD4 | 46.4 | 12.8 | 40.52 | 84.74 |
| Temperature (°C) | RB4 | RC4 | RD4 | ||||||
|---|---|---|---|---|---|---|---|---|---|
| APR (µm) | CPV (mm3·g−1) | PSA (m2·g−1) | APR (µm) | CPV (mm3·g−1) | PSA (m2·g−1) | APR (µm) | CPV (mm3·g−1) | PSA (m2·g−1) | |
| 1200 | 2.00 | 91.4 | 0.4 | 6.42 | 61.2 | 0.71 | 13.4 | 53.7 | 1.02 |
| 1250 | 9.00 | 85.3 | 1.30 | 0.31 | 122.3 | 2.92 | 0.32 | 231.0 | 6.92 |
| Samples with 85 wt.% of Kyanite Aggregates | Temperature | Pore Size Proportions (%) | ||
|---|---|---|---|---|
| Micropores (Radius d < 0.1 μm) | Mesopores (1 < Radius < 0.1 μm) | Macropores (Radius ≥ 1 µm) | ||
| RB4 | 1200 °C | 3.5 | 10.4 | 86.1 |
| 1250 °C | 10 | 33.3 | 56.7 | |
| RC4 | 1200 °C | 11.4 | 18.2 | 70.4 |
| 1250 °C | 11.7 | 53.5 | 34.8 | |
| RD4 | 1200 °C | 7.9 | 15.7 | 76.4 |
| 1250 °C | 19.5 | 34.8 | 30.5 | |
| Raw Materials/Filler | Exposure Temperatures | Class of Pores | References |
|---|---|---|---|
| >MK, calcined bauxite, calcined talc and kyanite (63, 200 and 500 µm) | 1050, 1150, 1200 and 1250 °C | micropores, mesopores and macropores | In this study |
| Chamotte, alumina–zirconia–silica | 800, 1000, 1200 and 1400 °C | micropores, mesopores and macropores | Coppola et al. (2020) [5] |
| Granulated blast furnace (GBF) | 200, 400, 600, 800, 1000 and 1200 °C | gel pores, capillary pores and large capillary pores | Rovnanik et al. (2013) [41] |
| FA, ground granulated blast furnace slag and sand | 200, 400, 600, 800 and 1000 °C | gel pores, capillary pores and large capillary pores | Dudek and Sitarz (2020) [42] |
| MK, FA and chamotte | 200, 400, 600, 800, 1000 and 1200 °C | gel pores, capillary pores and large capillary pores | Rovranik and Safarkova (2016) [43] |
| Class F fly ash and slag | 400, 600 and 800 °C | gel pores and capillary pores | Shaikh (2018) [44] |
| MK, quartz sand, corundum, chamotte and cordierite | 200, 400, 600, 800, 1000 and 1200 °C | gel pores and capillary pores | Kohout and Koutnik (2020) [16] |
Publisher’s Note: MDPI stays neutral with regard to jurisdictional claims in published maps and institutional affiliations. |
© 2021 by the authors. Licensee MDPI, Basel, Switzerland. This article is an open access article distributed under the terms and conditions of the Creative Commons Attribution (CC BY) license (https://creativecommons.org/licenses/by/4.0/).
Share and Cite
Deutou, J.G.N.; Kaze, R.C.; Kamseu, E.; Sglavo, V.M. Controlling the Thermal Stability of Kyanite-Based Refractory Geopolymers. Materials 2021, 14, 2903. https://doi.org/10.3390/ma14112903
Deutou JGN, Kaze RC, Kamseu E, Sglavo VM. Controlling the Thermal Stability of Kyanite-Based Refractory Geopolymers. Materials. 2021; 14(11):2903. https://doi.org/10.3390/ma14112903
Chicago/Turabian StyleDeutou, Juvenal Giogetti Nemaleu, Rodrigue Cyriaque Kaze, Elie Kamseu, and Vincenzo M. Sglavo. 2021. "Controlling the Thermal Stability of Kyanite-Based Refractory Geopolymers" Materials 14, no. 11: 2903. https://doi.org/10.3390/ma14112903
APA StyleDeutou, J. G. N., Kaze, R. C., Kamseu, E., & Sglavo, V. M. (2021). Controlling the Thermal Stability of Kyanite-Based Refractory Geopolymers. Materials, 14(11), 2903. https://doi.org/10.3390/ma14112903

