Phonon Scattering and Suppression of Bipolar Effect in MgO/VO2 Nanoparticle Dispersed p-Type Bi0.5Sb1.5Te3 Composites
Abstract
1. Introduction
2. Materials and Methods
2.1. Synthesis
2.2. Characterization
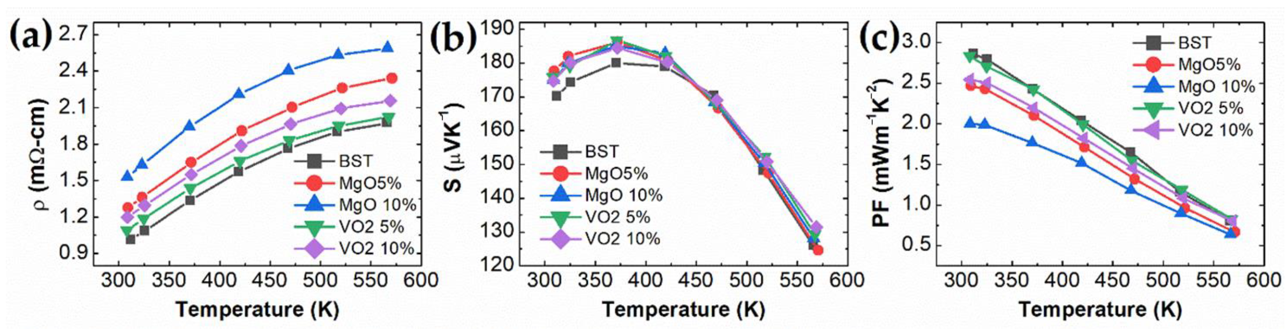
3. Results and Discussion
4. Conclusions
Author Contributions
Funding
Institutional Review Board Statement
Informed Consent Statement
Data Availability Statement
Conflicts of Interest
References
- Pei, Y.; Wang, H.; Snyder, G.J. Band engineering of thermoelectric materials. Adv. Mater. 2012, 24, 6125–6135. [Google Scholar] [CrossRef]
- Liu, W.; Tan, X.; Yin, K.; Liu, H.; Tang, X.; Shi, J.; Zhang, Q.; Uher, C. Convergence of conduction bands as a means of enhancing thermoelectric performance of n-type Mg2Si1-xSnx solid solutions. Phys. Rev. Lett. 2012, 108, 1–5. [Google Scholar] [CrossRef] [PubMed]
- Banik, A.; Shenoy, U.S.; Anand, S.; Waghmare, U.V.; Biswas, K. Mg alloying in SnTe facilitates valence band convergence and optimizes thermoelectric properties. Chem. Mater. 2015, 27, 581–587. [Google Scholar] [CrossRef]
- Shakouri, A.; LaBounty, C.; Abraham, P.; Piprek, J.; Bowers, J.E. Enhanced Thermionic Emission Cooling in High Barrier Superlattice Heterostructures. Mater. Res. Soc. Proc. 1999, 545, 449–458. [Google Scholar] [CrossRef]
- Heremans, J.P.; Thrush, C.M.; Morelli, D.T. Thermopower enhancement in lead telluride nanostructures. Phys. Rev. B Condens. Matter Mater. Phys. 2004, 70. [Google Scholar] [CrossRef]
- Cho, H.; Back, S.Y.; Yun, J.H.; Byeon, S.; Jin, H.; Rhyee, J.-S. Thermoelectric Properties and Low-Energy Carrier Filtering by Mo Microparticle Dispersion in an n-Type (CuI)0.003Bi2(Te,Se)3 Bulk Matrix. ACS Appl. Mater. Interfaces 2020, 12, 38076–38084. [Google Scholar] [CrossRef] [PubMed]
- Kim, W.; Zide, J.; Gossard, A.; Klenov, D.; Stemmer, S.; Shakouri, A.; Majumdar, A. Thermal conductivity reduction and thermoelectric figure of merit increase by embedding nanoparticles in crystalline semiconductors. Phys. Rev. Lett. 2006, 96, 1–4. [Google Scholar] [CrossRef] [PubMed]
- Poudel, B.; Hao, Q.; Ma, Y.; Lan, Y.; Minnich, A.; Yu, B.; Yan, X.; Wang, D.; Muto, A.; Vashaee, D.; et al. High-thermoelectric performance of nanostructured bismuth antimony telluride bulk alloys. Science 2008, 320, 634–638. [Google Scholar] [CrossRef]
- Biswas, K.; He, J.; Blum, I.D.; Wu, C.I.; Hogan, T.P.; Seidman, D.N.; Dravid, V.P.; Kanatzidis, M.G. High-performance bulk thermoelectrics with all-scale hierarchical architectures. Nature 2012, 489, 414–418. [Google Scholar] [CrossRef]
- Liu, Z.; Pei, Y.; Geng, H.; Zhou, J.; Meng, X.; Cai, W.; Liu, W.; Sui, J. Enhanced thermoelectric performance of Bi2S3 by synergistical action of bromine substitution and copper nanoparticles. Nano Energy 2015, 13, 554–562. [Google Scholar] [CrossRef]
- Morelli, D.T.; Jovovic, V.; Heremans, J.P. Intrinsically minimal thermal conductivity in cubic I-V-VI2 semiconductors. Phys. Rev. Lett. 2008, 101, 16–19. [Google Scholar] [CrossRef] [PubMed]
- Back, S.Y.; Cho, H.; Kim, Y.-K.; Byeon, S.; Jin, H.; Koumoto, K.; Rhyee, J.-S. Enhancement of thermoelectric properties by lattice softening and energy band gap control in Te-deficient InTe1-δ. AIP Adv. 2018, 8. [Google Scholar] [CrossRef]
- Rhyee, J.S.; Lee, K.H.; Lee, S.M.; Cho, E.; Kim, S.I.; Lee, E.; Kwon, Y.S.; Shim, J.H.; Kotliar, G. Peierls distortion as a route to high thermoelectric performance in In4Se3-δ crystals. Nature 2009, 459, 965–968. [Google Scholar] [CrossRef] [PubMed]
- Rhyee, J.S.; Ahn, K.; Lee, K.H.; Ji, H.S.; Shim, J.H. Enhancement of the thermoelectric figure-of-merit in a wide temperature range in In4Se3–xCl0.03 Bulk Crystals. Adv. Mater. 2011, 23, 2191–2194. [Google Scholar] [CrossRef] [PubMed]
- Lee, M.H.; Yun, J.H.; Kim, G.; Lee, J.E.; Park, S.D.; Reith, H.; Schierning, G.; Nielsch, K.; Ko, W.; Li, A.P.; et al. Synergetic Enhancement of Thermoelectric Performance by Selective Charge Anderson Localization-Delocalization Transition in n-Type Bi-Doped PbTe/Ag2Te Nanocomposite. ACS Nano 2019. [Google Scholar] [CrossRef] [PubMed]
- Austin, I.G. The optical properties of bismuth telluride. Proc. Phys. Soc. 1958, 72, 545–552. [Google Scholar] [CrossRef]
- Park, K.; Ahn, K.; Cha, J.; Lee, S.; Chae, S.I.; Cho, S.P.; Ryee, S.; Im, J.; Lee, J.; Park, S.D.; et al. Extraordinary Off-Stoichiometric Bismuth Telluride for Enhanced n-Type Thermoelectric Power Factor. J. Am. Chem. Soc. 2016, 138, 14458–14468. [Google Scholar] [CrossRef]
- Cao, S.; Huang, Z.Y.; Zu, F.Q.; Xu, J.; Yang, L.; Chen, Z.G. Enhanced Thermoelectric Properties of Ag-Modified Bi0.5Sb1.5Te3 Composites by a Facile Electroless Plating Method. ACS Appl. Mater. Interfaces 2017, 9, 36478–36482. [Google Scholar] [CrossRef] [PubMed]
- Kim, K.; Kim, G.; Lee, H.; Lee, K.H.; Lee, W. Band engineering and tuning thermoelectric transport properties of p-type Bi0.52Sb1.48Te3 by Pb doping for low-temperature power generation. Scr. Mater. 2018, 145, 41–44. [Google Scholar] [CrossRef]
- Choo, S.S.; Cho, H.J.; Kim, J.I.; Kim, S.I. Quantitative analysis on the influence of Nb substitutional doping on electronic and thermal properties of n-type Cu0.008Bi2Te2.7Se0.3 alloys. Phys. B Condens. Matter 2019, 552, 147–150. [Google Scholar] [CrossRef]
- Choi, H.; Jeong, K.; Chae, J.; Park, H.; Baeck, J.; Kim, T.H.; Song, J.Y.; Park, J.; Jeong, K.-H.; Cho, M.-H. Enhancement in thermoelectric properties of Te-embedded Bi2Te3 by preferential phonon scattering in heterostructure interface. Nano Energy 2018, 47, 374–384. [Google Scholar] [CrossRef]
- Kim, K.T.; Koo, H.Y.; Lee, G.G.; Ha, G.H. Synthesis of alumina nanoparticle-embedded-bismuth telluride matrix thermoelectric composite powders. Mater. Lett. 2012, 82, 141–144. [Google Scholar] [CrossRef]
- Jiang, Q.; Yang, J.; Xin, J.; Zhou, Z.; Zhang, D.; Yan, H. Carriers concentration tailoring and phonon scattering from n-type zinc oxide (ZnO) nanoinclusion in p- and n-type bismuth telluride (Bi2Te3): Leading to ultra low thermal conductivity and excellent thermoelectric properties. J. Alloys Compd. 2017, 694, 864–868. [Google Scholar] [CrossRef]
- Joo, S.J.; Son, J.H.; Min, B.K.; Lee, J.E.; Kim, B.S.; Ryu, B.; Park, S.D.; Lee, H.W. Thermoelectric properties of Bi2Te2.7Se0.3 nanocomposites embedded with MgO nanoparticles. J. Korean Phys. Soc. 2016, 69, 1314–1320. [Google Scholar] [CrossRef]
- Li, C.; Ma, S.; Wei, P.; Zhu, W.; Nie, X.; Sang, X.; Sun, Z.; Zhang, Q.; Zhao, W. Magnetism-induced huge enhancement of the room-temperature thermoelectric and cooling performance of p-type BiSbTe alloys. Energy Environ. Sci. 2020, 13, 535–544. [Google Scholar] [CrossRef]
- Kim, E.B.; Dharmaiah, P.; Lee, K.-H.; Lee, C.-H.; Lee, J.-H.; Yang, J.-K.; Jang, D.-H.; Kim, D.-S.; Hong, S.-J. Enhanced thermoelectric properties of Bi0.5Sb1.5Te3 composites with in-situ formed senarmontite Sb2O3 nanophase. J. Alloys Compd. 2019, 777, 703–711. [Google Scholar] [CrossRef]
- Pakdel, A.; Guo, Q.; Nicolosi, V.; Mori, T. Enhanced thermoelectric performance of Bi–Sb–Te/Sb2O3 nanocomposites by energy filtering effect. J. Mater. Chem. A 2018, 6, 21341–21349. [Google Scholar] [CrossRef]
- Li, F.; Huang, X.; Sun, Z.; Ding, J.; Jiang, J.; Jiang, W.; Chen, L. Enhanced thermoelectric properties of n-type Bi2Te3-based nanocomposite fabricated by spark plasma sintering. J. Alloys Compd. 2011, 509, 4769–4773. [Google Scholar] [CrossRef]
- Suryanarayana, C.; Norton, M.G. X-ray Diffraction: A Practical Approach; Springer: New York, NY, USA, 1988. [Google Scholar]
- Yang, F.; Ikeda, T.; Snyder, G.J.; Dames, C. Effective thermal conductivity of polycrystalline materials with randomly oriented superlattice grains. J. Appl. Phys. 2010, 108, 034310. [Google Scholar] [CrossRef]
- Kim, H.S.; Liu, W.; Chen, G.; Chu, C.W.; Ren, Z. Relationship between thermoelectric figure of merit and energy conversion efficiency. Proc. Natl. Acad. Sci. USA 2015, 112, 8205–8210. [Google Scholar] [CrossRef]




| - | (nm) | (10−4) | (1019 cm−3) | (cm2 V−1 s−1) | |
|---|---|---|---|---|---|
| BST | 72 | 0.4568 | 3.45 | 189 | 0.8841 |
| BST/MgO 5% | 75 | 1.3825 | 3.17 | 161 | 0.8711 |
| BST/MgO 10% | 79 | 1.7254 | 2.94 | 146 | 0.8150 |
| BST/VO2 5% | 75 | 1.2638 | 3.09 | 173 | 0.8540 |
| BST/VO2 10% | 73 | 1.5063 | 3.23 | 168 | 0.8667 |
Publisher’s Note: MDPI stays neutral with regard to jurisdictional claims in published maps and institutional affiliations. |
© 2021 by the authors. Licensee MDPI, Basel, Switzerland. This article is an open access article distributed under the terms and conditions of the Creative Commons Attribution (CC BY) license (https://creativecommons.org/licenses/by/4.0/).
Share and Cite
Back, S.Y.; Yun, J.H.; Cho, H.; Kim, G.; Rhyee, J.-S. Phonon Scattering and Suppression of Bipolar Effect in MgO/VO2 Nanoparticle Dispersed p-Type Bi0.5Sb1.5Te3 Composites. Materials 2021, 14, 2506. https://doi.org/10.3390/ma14102506
Back SY, Yun JH, Cho H, Kim G, Rhyee J-S. Phonon Scattering and Suppression of Bipolar Effect in MgO/VO2 Nanoparticle Dispersed p-Type Bi0.5Sb1.5Te3 Composites. Materials. 2021; 14(10):2506. https://doi.org/10.3390/ma14102506
Chicago/Turabian StyleBack, Song Yi, Jae Hyun Yun, Hyunyong Cho, Gareoung Kim, and Jong-Soo Rhyee. 2021. "Phonon Scattering and Suppression of Bipolar Effect in MgO/VO2 Nanoparticle Dispersed p-Type Bi0.5Sb1.5Te3 Composites" Materials 14, no. 10: 2506. https://doi.org/10.3390/ma14102506
APA StyleBack, S. Y., Yun, J. H., Cho, H., Kim, G., & Rhyee, J.-S. (2021). Phonon Scattering and Suppression of Bipolar Effect in MgO/VO2 Nanoparticle Dispersed p-Type Bi0.5Sb1.5Te3 Composites. Materials, 14(10), 2506. https://doi.org/10.3390/ma14102506

