The Properties of Different Healing Agents Considering the Micro-Self-Healing Process of Asphalt with Encapsulations
Abstract
1. Introduction
2. Materials and Methods
2.1. Materials
2.2. Methods
3. Results and Discussion
3.1. Capillary Flow Property
3.2. Wetting Property
3.3. Viscosity Reduction Ability
3.4. Four Fractions Results
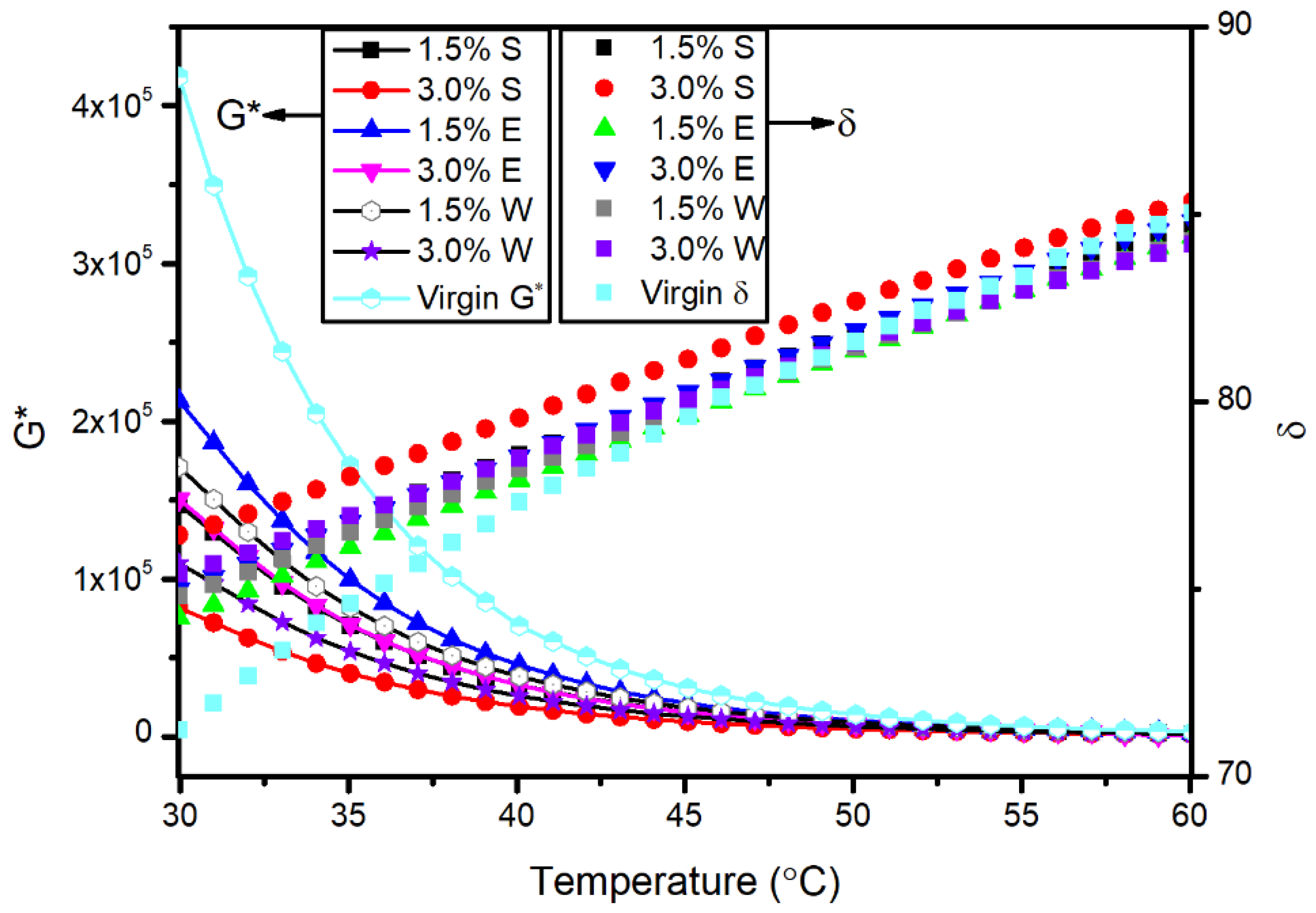
3.5. Performance Restoration
3.6. Molecular Dynamics Simulation
3.6.1. Establishment of the Molecular Model
3.6.2. Effect of Temperature
3.6.3. Effect of the Asphalt Aging
4. Conclusions
- Sunflower oil showed the best capillary flow capacity, viscosity reduction ability, and the largest infiltration rate. The capillary length and wetting rate at 15 °C were 2.61 cm and 2.145 m/s, respectively. The viscosity of the asphalt containing 3.0% S was reduced by 49%.
- Engine oil exhibited the best wetting and fatigue recovery ability. The wetting work at 15 °C was 43.61 mJ/m2. The healing indexes HI1, HI2, and HI3 were 83.8%, 34.2%, and 36.1%, respectively.
- The diffusion process of sunflower oil in the asphalt could be divided into two stages, namely, a rapid contact diffusion stage and a stable diffusion stage. The increase in temperature and the aging of the asphalt increased the diffusion rate of sunflower oil.
- Comprehensive analysis shows that sunflower oil had the best performance regarding improving the asphalt self-healing; therefore, sunflower oil is the most suitable healing agent of those tested for the fabrication of encapsulation to improve the self-healing performance of asphalt.
Author Contributions
Funding
Data Availability Statement
Acknowledgments
Conflicts of Interest
References
- Amin, G.M.; Esmail, A. Application of nano silica to improve self-healing of asphalt mixes. J. Central South. Univ. 2017, 24, 1019–1026. [Google Scholar] [CrossRef]
- Ganjei, M.A.; Aflaki, E. Application of nano-silica and styrene-butadiene-styrene to improve asphalt mixture self healing. Int. J. Pavement Eng. 2019, 20, 1–11. [Google Scholar] [CrossRef]
- Liu, Q.; Yu, W.; Wu, S.; Schlangen, E.; Pan, P. A comparative study of the induction healing behaviors of hot and warm mix asphalt. Constr. Build. Mater. 2017, 144, 663–670. [Google Scholar] [CrossRef]
- Gómez-Meijide, B.; Ajam, H.; Lastra-González, P.; Garcia, A. Effect of ageing and RAP content on the induction healing properties of asphalt mixtures. Constr. Build. Mater. 2018, 179, 468–476. [Google Scholar] [CrossRef]
- Norambuena-Contreras, J.; Aguilar, V.G.; Gonzalez-Torre, I. Physical and mechanical behaviour of a fibre-reinforced rubber membrane with self-healing purposes via microwave heating. Constr. Build. Mater. 2015, 94, 45–56. [Google Scholar] [CrossRef]
- García, Á.; Schlangen, E.; Van De Ven, M.; Sierra-Beltrán, G. Preparation of capsules containing rejuvenators for their use in asphalt concrete. J. Hazard. Mater. 2010, 184, 603–611. [Google Scholar] [CrossRef]
- Shu, B.; Wu, S.; Dong, L.; Norambuena-Contreras, J.; Li, Y.; Li, C.; Yang, X.; Liu, Q.; Wang, Q.; Wang, F.; et al. Self-healing capability of asphalt mixture containing polymeric composite fibers under acid and saline-alkali water solutions. J. Clean. Prod. 2020, 268, 122387. [Google Scholar] [CrossRef]
- Shu, B.; Wu, S.; Dong, L.; Wang, Q.; Liu, Q. Microfluidic Synthesis of Ca-Alginate Microcapsules for Self-Healing of Bituminous Binder. Materials 2018, 11, 630. [Google Scholar] [CrossRef]
- Chung, K.; Lee, S.; Cho, W.; Seo, J.; Hong, Y. Rheological analysis of self-healing property of microcapsule-containing asphalt. J. Ind. Eng. Chem. 2018, 64, 284–291. [Google Scholar] [CrossRef]
- Su, J.; Schlangen, E.; Wang, Y.-Y. Investigation the self-healing mechanism of aged bitumen using microcapsules containing rejuvenator. Constr. Build. Mater. 2015, 85, 49–56. [Google Scholar] [CrossRef]
- Sun, D.; Lu, T.; Xingyi, Z.; Li, B.; Tian, Y. Optimization of synthesis technology to improve the design of asphalt self-healing microcapsules. Constr. Build. Mater. 2018, 175, 88–103. [Google Scholar] [CrossRef]
- Xu, S.; Tabaković, A.; Liu, X.; Palin, D.; Schlangen, E. Optimization of the Calcium Alginate Capsules for Self-Healing Asphalt. Appl. Sci. 2019, 9, 468. [Google Scholar] [CrossRef]
- Shu, B.; Zhang, L.; Wu, S.; Dong, L.; Liu, Q.; Wang, Q. Synthesis and characterization of compartmented Ca-alginate/silica self-healing fibers containing bituminous rejuvenator. Constr. Build. Mater. 2018, 190, 623–631. [Google Scholar] [CrossRef]
- Liu, Q.; Zhang, J.; Liu, W.; Guo, F.; Pei, J.; Zhu, C.; Zhang, W. Preparation and characterization of self-healing microcapsules embedding waterborne epoxy resin and curing agent for asphalt materials. Constr. Build. Mater. 2018, 183, 384–394. [Google Scholar] [CrossRef]
- Chung, K.; Lee, S.; Park, M.; Yoo, P.; Hong, Y. Preparation and characterization of microcapsule-containing self-healing asphalt. J. Ind. Eng. Chem. 2015, 29, 330–337. [Google Scholar] [CrossRef]
- Zhang, L.; Liu, Q.; Li, H.; Norambuena-Contreras, J.; Wu, S.; Bao, S.; Shu, B. Synthesis and characterization of multi-cavity Ca-alginate capsules used for self-healing in asphalt mixtures. Constr. Build. Mater. 2019, 211, 298–307. [Google Scholar] [CrossRef]
- Garcia, A.; Jelfs, J.; Austin, C.J. Internal asphalt mixture rejuvenation using capsules. Constr. Build. Mater. 2015, 101, 309–316. [Google Scholar] [CrossRef]
- Norambuena-Contreras, J.; Liu, Q.; Zhang, L.; Wu, S.; Yalcin, E.; Garcia, A. Influence of encapsulated sunflower oil on the mechanical and self-healing properties of dense-graded asphalt mixtures. Mater. Struct. 2019, 52, 78. [Google Scholar] [CrossRef]
- Shirzad, S.; Hassan, M.D.; Aguirre, M.A.; Mohammad, L.N.; Daly, W.H. Evaluation of Sunflower Oil as a Rejuvenator and Its Microencapsulation as a Healing Agent. J. Mater. Civ. Eng. 2016, 28, 04016116. [Google Scholar] [CrossRef]
- Sun, D.; Hu, J.; Xingyi, Z. Size optimization and self-healing evaluation of microcapsules in asphalt binder. Colloid Polym. Sci. 2015, 293, 3505–3516. [Google Scholar] [CrossRef]
- Su, J.; Qiu, J.; Schlangen, E.; Wang, Y.-Y. Investigation the possibility of a new approach of using microcapsules containing waste cooking oil: In situ rejuvenation for aged bitumen. Constr. Build. Mater. 2015, 74, 83–92. [Google Scholar] [CrossRef]
- Shu, B.; Wu, S.; Dong, L.; Li, C.; Kong, D.; Yang, X.; Norambuena-Contreras, J.; Liu, Q.; Wang, Q. Synthesis and properties of microwave and crack responsive fibers encapsulating rejuvenator for bitumen self-healing. Mater. Res. Express 2019, 6, 085306. [Google Scholar] [CrossRef]
- Shu, B.; Wu, S.; Dong, L.; Norambuena-Contreras, J.; Yang, X.; Li, C.; Liu, Q.; Wang, Q. Microfluidic synthesis of polymeric fibers containing rejuvenating agent for asphalt self-healing. Constr. Build. Mater. 2019, 219, 176–183. [Google Scholar] [CrossRef]
- Sun, D.; Pang, Q.; Xingyi, Z.; Tian, Y.; Lu, T.; Yang, Y. Enhanced Self-Healing Process of Sustainable Asphalt Materials Containing Microcapsules. ACS Sustain. Chem. Eng. 2017, 5, 9881–9893. [Google Scholar] [CrossRef]
- Pauli, A.T. Chemomechanics of Damage Accumulation and Damage-Recovery Healing in Bituminous Asphalt Binders. Ph.D. Thesis, Faculty of Civil Engineering & Geosciences, Delft University of Technology, Delft, The Netherlands, 2014. [Google Scholar] [CrossRef]
- Zhang, L.; Greenfield, M.L. Effects of Polymer Modification on Properties and Microstructure of Model Asphalt Systems. Energy Fuels 2008, 22, 3363–3375. [Google Scholar] [CrossRef]
- Groenzin, H.; Mullins, O.C. Molecular Size and Structure of Asphaltenes from Various Sources. Energy Fuels 2000, 14, 677–684. [Google Scholar] [CrossRef]
- Li, D.D.; Greenfield, M.L. Chemical compositions of improved model asphalt systems for molecular simulations. Fuel 2014, 115, 347–356. [Google Scholar] [CrossRef]
- Zhou, X.; Sun, B.; Wu, S.; Zhang, X.; Liu, Q.; Xiao, Y. Evaluation on Self-healing Mechanism and Hydrophobic Performance of Asphalt Modified by Siloxane and Polyurethane. J. Wuhan Univ. Technol. Mater. Sci. Ed. 2019, 34, 630–637. [Google Scholar] [CrossRef]
- Xiao, Y.; Li, C.; Wan, M.; Zhou, X.; Wang, Y.; Wu, S. Study of the Diffusion of Rejuvenators and Its Effect on Aged Bitumen Binder. Appl. Sci. 2017, 7, 397. [Google Scholar] [CrossRef]
- Yang, T.; Chen, M.; Zhou, X.; Xie, J. Evaluation of Thermal-Mechanical Properties of Bio-Oil Regenerated Aged Asphalt. Materials 2018, 11, 2224. [Google Scholar] [CrossRef]
- Li, Y.; Wu, S.; Liu, Q.; Dai, Y.; Li, C.; Li, H.; Nie, S.; Song, W. Aging degradation of asphalt binder by narrow-band UV radiations with a range of dominant wavelengths. Constr. Build. Mater. 2019, 220, 637–650. [Google Scholar] [CrossRef]
- Li, Y.; Wu, S.; Liu, Q.; Xie, J.; Li, H.; Dai, Y.; Li, C.; Nie, S.; Song, W. Aging effects of ultraviolet lights with same dominant wavelength and different wavelength ranges on a hydrocarbon-based polymer (asphalt). Polym. Test. 2019, 75, 64–75. [Google Scholar] [CrossRef]
- Veropalumbo, R.; Russo, F.; Viscione, N.; Biancardo, S.A.; Oreto, C. Investigating the rheological properties of hot bituminous mastics made up using plastic waste materials as filler. Constr. Build. Mater. 2020, 121394. [Google Scholar] [CrossRef]




















| Codes | Interpretation | Codes | Interpretation |
|---|---|---|---|
| 1.5% S, 3.0% S | Asphalt samples with 1.5 wt.% and 3 wt.% sunflower oil, respectively | 1.5% S1, 1.5% S2 | Asphalt samples with 1.5 wt.% sunflower oil before and after healing, respectively, in the fatigue–healing–fatigue test |
| 1.5% E, 3.0% E | Asphalt samples with 1.5 wt% and 3 wt.% engine oil, respectively | 1.5% E1, 1.5% E2 | Asphalt samples with 1.5 wt.% engine oil before and after healing, respectively, in the fatigue–healing–fatigue test |
| 1.5% W, 3.0% W | Asphalt samples with 1.5 wt.% and 3 wt.% waste cooking oil, respectively | 1.5% W1, 1.5% W2 | Asphalt samples with 1.5 wt.% waste cooking oil before and after healing, respectively, in the fatigue–healing–fatigue test |
| Three groups of parallel samples tests were carried out for the performance experiments on the asphalt | |||
| Healing Agent | Viscosity (cp) | Surface Tension (mN/m) | |
|---|---|---|---|
| E | 367 | 50.40 | 30.1/0.8652 |
| S | 45 | 54.56 | 39.8/0.7687 |
| W | 83 | 51.87 | 37.2/0.7965 |
| Samples | ||||||||
|---|---|---|---|---|---|---|---|---|
| 70# | 10.7 | 5.38 | 9.03 | 768 | 217 | 67.9 | 19.2 | 24.9 |
| 1.5% S | 6.86 | 3.43 | 6.01 | 744 | 297 | 75.3 | 30.0 | 35.1 |
| 1.5% E | 9.48 | 4.74 | 8.72 | 881 | 360 | 83.8 | 34.2 | 36.1 |
| 1.5% W | 7.45 | 3.73 | 6.70 | 775 | 315 | 79.6 | 32.3 | 35.3 |
| Samples | Temperature (°C) | D (10−10 m2/s) | R2 |
|---|---|---|---|
| 70# virgin + 3% S | 0 | 5.439 | 0.9846 |
| 20 | 6.934 | 0.9912 | |
| 40 | 7.587 | 0.9975 | |
| 70# aging + 3% S | 0 | 6.269 | 0.9981 |
| 20 | 7.256 | 0.9894 | |
| 40 | 8.676 | 0.9962 |
Publisher’s Note: MDPI stays neutral with regard to jurisdictional claims in published maps and institutional affiliations. |
© 2020 by the authors. Licensee MDPI, Basel, Switzerland. This article is an open access article distributed under the terms and conditions of the Creative Commons Attribution (CC BY) license (http://creativecommons.org/licenses/by/4.0/).
Share and Cite
Shu, B.; Zhou, M.; Yang, T.; Li, Y.; Ma, Y.; Liu, K.; Bao, S.; Barbieri, D.M.; Wu, S. The Properties of Different Healing Agents Considering the Micro-Self-Healing Process of Asphalt with Encapsulations. Materials 2021, 14, 16. https://doi.org/10.3390/ma14010016
Shu B, Zhou M, Yang T, Li Y, Ma Y, Liu K, Bao S, Barbieri DM, Wu S. The Properties of Different Healing Agents Considering the Micro-Self-Healing Process of Asphalt with Encapsulations. Materials. 2021; 14(1):16. https://doi.org/10.3390/ma14010016
Chicago/Turabian StyleShu, Benan, Min Zhou, Tengyu Yang, Yongling Li, Yunlong Ma, Kai Liu, Shiwen Bao, Diego Maria Barbieri, and Shaopeng Wu. 2021. "The Properties of Different Healing Agents Considering the Micro-Self-Healing Process of Asphalt with Encapsulations" Materials 14, no. 1: 16. https://doi.org/10.3390/ma14010016
APA StyleShu, B., Zhou, M., Yang, T., Li, Y., Ma, Y., Liu, K., Bao, S., Barbieri, D. M., & Wu, S. (2021). The Properties of Different Healing Agents Considering the Micro-Self-Healing Process of Asphalt with Encapsulations. Materials, 14(1), 16. https://doi.org/10.3390/ma14010016

