Mastering Yield Stress Evolution and Formwork Friction for Smart Dynamic Casting
Abstract
1. Introduction
2. Materials and Methods
2.1. Materials
2.1.1. Self-Compacting Concrete
- a set accelerator: SikaRapid C-100 (reportedly based on Ca(NO3)2·4H2O [21]). These mixes are noted S_C.
- a combination of aluminium sulfate solution (produced in house by dissolving Al2(SO4)3·18H2O in water to obtain 260 g/L concentration) and a superplasticizer (BASF MasterGlenium ACE 30). These mixes are noted S_A.
2.1.2. UHPFRC
2.2. Methods
2.2.1. Slump Tests
2.2.2. Penetration Tests
2.2.3. Calorimetry
2.2.4. Friction Tests
- It was first accelerated as a whole and then cast in the box all at once.
- It was gradually placed using 12 smaller batches, each accelerated separately prior to placing. This procedure was done so as to raise the level of concrete by 1.8 cm every 3 min, which mimics formwork filling during the slip-forming process.
3. Part 1: Mastering the Yield Stress Evolution
3.1. Results
3.1.1. Spread Flow
3.1.2. Penetration Tests
3.1.3. Calorimetry
3.2. Discussion
3.2.1. Initial Yield Stress after Accelerator Addition
3.2.2. Penetration Resistance/Strength Evolution
3.2.3. Cement Hydration
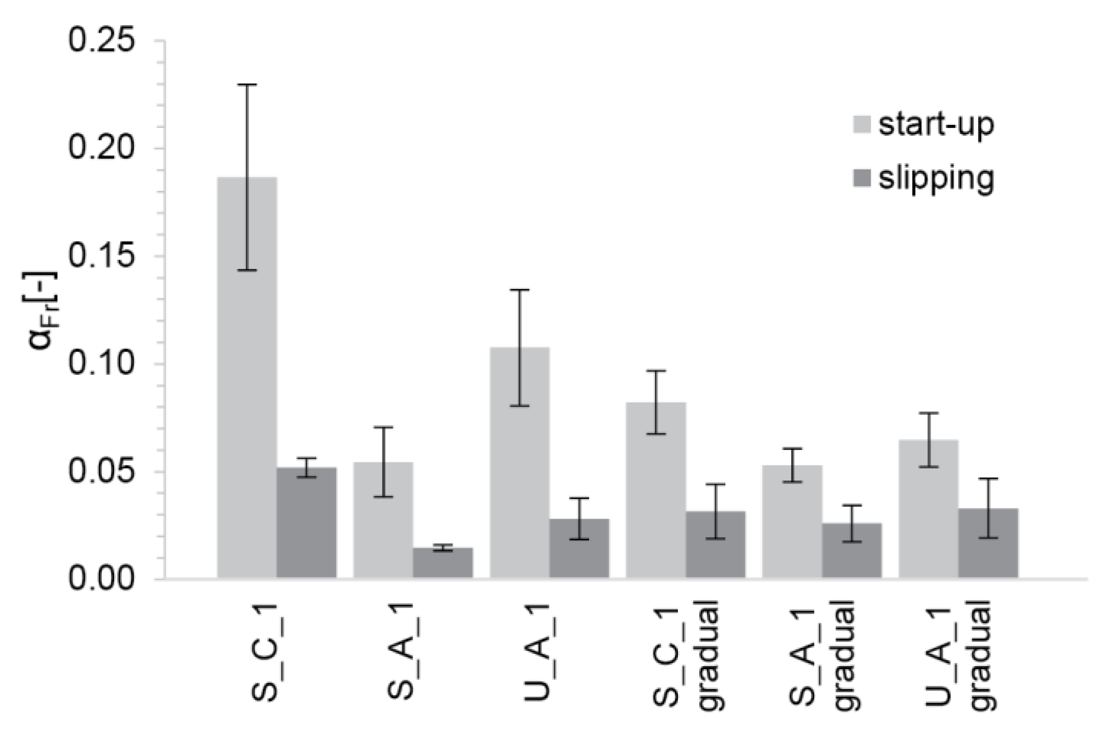
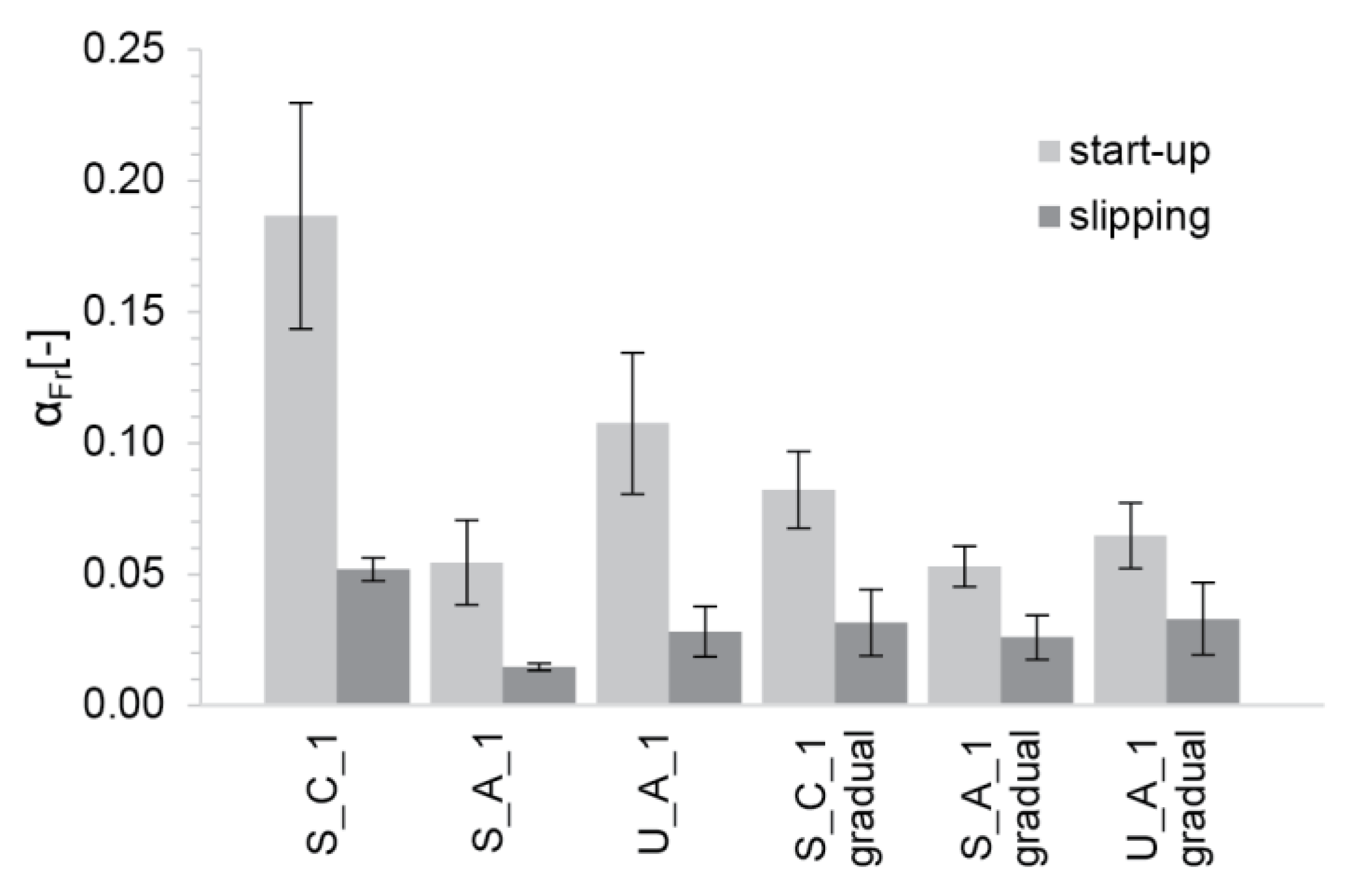
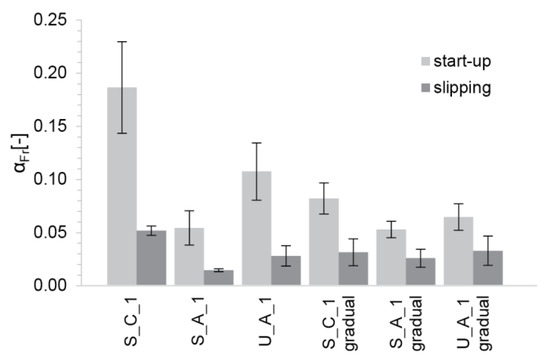
4. Part 2: Friction Tests
4.1. Results
4.2. Discussion
5. Part 3: A Theoretical Model for the SDC Process Window
5.1. Reformulating the Process Window with the SDC Number’
5.2. Practical Considerations
6. Conclusions
Author Contributions
Funding
Acknowledgments
Conflicts of Interest
Appendix A
| Base Mix | Mix for Uniform Acceleration | Mix for Adapted Acceleration | t | d1 | d2 | h | τ0 (Pa) |
|---|---|---|---|---|---|---|---|
| (hh:mm) | (cm) | (cm) | (cm) | ||||
| S | 16.2 | 16.5 | 2.1 | 128 | |||
| S_C_1 | S_C_1 | 01:00 | 26 | 25.6 | 13 | ||
| S_C_1 | 03:15 | 23.5 | 24.5 | 19 | |||
| S_C_1 | 05:05 | 21.8 | 22.2 | 29 | |||
| S_C_3 | 03:10 | 26.4 | 26.9 | 11 | |||
| S_C_5 | 05:00 | 29.6 | 30.1 | 6.3 | |||
| S_A* | 01:05 | 13.2 | 12.8 | 3.8 | 403 | ||
| S_A_1 | S_A_1 | 01:00 | 24.2 | 23.9 | 19 | ||
| S_A_1 | 03:05 | 19.7 | 20.3 | 47 | |||
| S_A_1 | 05:05 | 19.1 | 19.7 | 54 | |||
| S_A_3 | 03:00 | 24.3 | 24.4 | 17 | |||
| S_A_5 | 05:00 | 25.3 | 25 | 15 | |||
| U | 21.2 | 21.7 | 31 | ||||
| U_A_1 | U_A_1 | 01:00 | 34.7 | 35.7 | 2.6 | ||
| U_A_1 | 03:05 | 33.5 | 35.2 | 3 | |||
| U_A_1 | 05:05 | 30 | 30.7 | 5.5 | |||
| U_A_3 | 03:00 | 33.4 | 36.7 | 2.7 | |||
| U_A_5 | 05:00 | 32.5 | 34.1 | 3.5 |
| Mix | Peak/Plateau |
|---|---|
| S_C_1 | 3.57 |
| S_A_1 | 3.74 |
| U_A_1 | 4.77 |
| S_C_1 gradual | 3.04 |
| S_A_1 gradual | 2.27 |
| U_A_1 gradual | 2.18 |
| rhy (m) | H (m) | β (-) | αFr (-) | Τ0 Lower Limit (-) SDC | Τ0 Upper Limit (-) SDC/(2*SDC+1) | ||||
|---|---|---|---|---|---|---|---|---|---|
| Start-Up | Slipping | Start-Up | Slipping | Start-Up | Slipping | ||||
| Folded Structures | |||||||||
| S_C_1 | 0.025 | 0.3 | 2.9 | 0.2 | 0.1 | 1.8 | 6.3 | 0.4 | 0.5 |
| S_A_1 | 0.025 | 0.3 | 1.5 | 0.1 | 0.0 | 3.8 | 14.0 | 0.4 | 0.5 |
| U_A_1 | 0.025 | 0.3 | 2.5 | 0.1 | 0.0 | 2.7 | 10.5 | 0.4 | 0.5 |
| S_C_1 gradual | 0.025 | 0.3 | 2.9 | 0.1 | 0.0 | 4.0 | 10.4 | 0.4 | 0.5 |
| S_A_1 gradual | 0.025 | 0.3 | 1.6 | 0.1 | 0.0 | 4.0 | 8.3 | 0.4 | 0.5 |
| U_A_1 gradual | 0.025 | 0.3 | 2.4 | 0.1 | 0.0 | 4.4 | 8.7 | 0.4 | 0.5 |
| Mullions | |||||||||
| S_C_1 | 0.075 | 0.4 | 2.9 | 0.2 | 0.1 | 3.9 | 14.2 | 0.4 | 0.5 |
| S_A_1 | 0.075 | 0.4 | 1.5 | 0.1 | 0.0 | 8.4 | 31.4 | 0.5 | 0.5 |
| U_A_1 | 0.075 | 0.4 | 2.5 | 0.1 | 0.0 | 6.2 | 23.5 | 0.5 | 0.5 |
| S_C_1 gradual | 0.075 | 0.4 | 2.9 | 0.1 | 0.0 | 9.0 | 23.4 | 0.5 | 0.5 |
| S_A_1 gradual | 0.075 | 0.4 | 1.6 | 0.1 | 0.0 | 9.1 | 18.6 | 0.5 | 0.5 |
| U_A_1 gradual | 0.075 | 0.4 | 2.4 | 0.1 | 0.0 | 10.0 | 19.5 | 0.5 | 0.5 |
| Columns | |||||||||
| S_C_1 | 0.106 | 0.4 | 2.9 | 0.2 | 0.1 | 5.6 | 20.1 | 0.5 | 0.5 |
| S_A_1 | 0.106 | 0.4 | 1.5 | 0.1 | 0.0 | 11.9 | 44.4 | 0.5 | 0.5 |
| U_A_1 | 0.106 | 0.4 | 2.5 | 0.1 | 0.0 | 8.7 | 33.3 | 0.5 | 0.5 |
| S_C_1 gradual | 0.106 | 0.4 | 2.9 | 0.1 | 0.0 | 12.7 | 33.1 | 0.5 | 0.5 |
| S_A_1 gradual | 0.106 | 0.4 | 1.6 | 0.1 | 0.0 | 12.9 | 26.3 | 0.5 | 0.5 |
| U_A_1 gradual | 0.106 | 0.4 | 2.4 | 0.1 | 0.0 | 14.1 | 27.6 | 0.5 | 0.5 |





References
- Buswell, R.A.; Leal de Silva, W.R.; Jones, S.Z.; Dirrenberger, J. 3D printing using concrete extrusion: A roadmap for research. Cem. Concr. Res. 2018, 112, 37–49. [Google Scholar] [CrossRef]
- Reiter, L.; Wangler, T.; Roussel, N.; Flatt, R.J. The role of early age structural build-up in digital fabrication with concrete. Cem. Concr. Res. 2018, 112, 86–95. [Google Scholar] [CrossRef]
- Hanehara, S.; Yamada, K. Rheology and early age properties of cement systems. Cem. Concr. Res. 2008, 38, 175–195. [Google Scholar] [CrossRef]
- Wolfs, R.J.M.; Bos, F.P.; Salet, T.A.M. Early age mechanical behaviour of 3D printed concrete: Numerical modelling and experimental testing. Cem. Concr. Res. 2018, 106, 103–116. [Google Scholar] [CrossRef]
- Juilland, P. Early Hydration of Cementitious Systems; EPFL: Lausanne, Switzerland, 2009. [Google Scholar]
- Roussel, N. Rheological requirements for printable concretes. Cem. Concr. Res. 2018, 112, 76–85. [Google Scholar] [CrossRef]
- Feys, D.; Cepuritis, R.; Jacobsen, S.; Lesage, K.; Secrieru, E.; Yahia, A. Measuring Rheological Properties of Cement Pastes: Most common Techniques, Procedures and Challenges. RILEM Tech. Lett. 2017, 2, 129–135. [Google Scholar] [CrossRef]
- Wangler, T.; Lloret, E.; Reiter, L.; Hack, N.; Gramazio, F.; Kohler, M.; Bernhard, M.; Dillenburger, B.; Buchli, J.; Roussel, N.; et al. Digital Concrete: Opportunities and Challenges. RILEM Tech. Lett. 2016, 1, 67. [Google Scholar] [CrossRef]
- Lloret Fritschi, E. Smart Dynamic Casting—A Digital Fabrication Method for Non-Standard Concrete Structures; ETH: Zurich, Switzerland, 2016. [Google Scholar]
- Lloret, E.; Shahab, A.R.; Linus, M.; Flatt, R.J.; Gramazio, F.; Kohler, M.; Langenberg, S. Complex concrete structures: Merging existing casting techniques with digital fabrication. CAD Comput. Aided Des. 2015, 60, 40–49. [Google Scholar] [CrossRef]
- Szabo, A.; Reiter, L.; Lloret-Fritschi, E.; Gramazio, F.; Kohler, M.; Flatt, R.J. Adapting Smart Dynamic Casting to Thin Folded Geometries. In Proceedings of the First RILEM International Conference on Concrete and Digital Fabrication—Digital Concrete 2018; Wangler, T., Flatt, R.J., Eds.; Springer International Publishing: Cham, Switzerland, 2019; pp. 81–93. [Google Scholar]
- Szabo, A.; Lloret-Fritschi, E.; Reiter, L.; Gramazio, F.; Kohler, M.; Flatt, R.J. Revisiting Folded Forms with Digital Fabrication. In Proceedings of the eCAADe SIGraDi 2019, Architecture in the Age of the 4th Industrial Revolution; Sousa, J.P., Castro Henriques, G., Xavier, J.P., Eds.; FAUP: Porto, Portugal, 2019; Volume 2, pp. 191–200. [Google Scholar]
- Lloret Fritschi, E.; Kohler, M.; Reiter, L.; Gramazio, F.; Flatt, R.J.; Wangler, T. Smart Dynamic Casting: Slipforming with Flexible Formwork—Inline Measurement and Control; HPC/CIC: Tromsø, Norway, 2017. [Google Scholar]
- Lloret-Fritschi, E.; Scotto, F.; Gramazio, F.; Kohler, M.; Graser, K.; Wangler, T.; Reiter, L.; Flatt, R.J.; Mata-Falcón, J. Challenges of Real-Scale Production with Smart Dynamic Casting. In First RILEM International Conference on Concrete and Digital Fabrication—Digital Concrete 2018; Wangler, T., Flatt, R.J., Eds.; Springer International Publishing: Cham, Switzerland, 2019; Volume 19, pp. 299–310. ISBN 978-3-319-99518-2. [Google Scholar]
- Scotto, F.; Lloret-Fritschi, E.; Gramazio, F.; Kohler, M.; Flatt, R.J. Adaptive Control System for Smart Dynamic Casting. In Proceedings of Learning, Adapting and Prototyping-Proceedings of the 23rd CAADRIA Conference, Beijing, China, 17–19 May 2018. [Google Scholar]
- Lloret Fritschi, E.; Reiter, L.; Wangler, T.; Gramazio, F.; Kohler, M.; Flatt, R.J. Smart dynamic casting: Slipforming with flexible formwork—inline measurement and control. HPCCIC Tromsø 2017, 2017, 27. [Google Scholar]
- Reiter, L.; Palacios, M.; Wangler, T.; Flatt, R.J. Putting Concrete to Sleep and Waking It Up with Chemical Admixtures. In Proceedings of the 11th International Conference on Superplasticizers and Other Chemical Admixtures in Concrete, Ottawa, ON, Canada, 10–13 July 2015; Volume 302, pp. 145–154. [Google Scholar]
- Le, T.T.; Austin, S.A.; Lim, S.; Buswell, R.A.; Gibb, A.G.F.; Thorpe, T. Mix design and fresh properties for high-performance printing concrete. Mater. Struct. Constr. 2012, 45, 1221–1232. [Google Scholar] [CrossRef]
- Agustí-Juan, I.; Müller, F.; Hack, N.; Wangler, T.; Habert, G. Potential benefits of digital fabrication for complex structures: Environmental assessment of a robotically fabricated concrete wall. J. Clean. Prod. 2017, 154, 330–340. [Google Scholar]
- Engel, H.; Rapson, R. Tragsysteme—Structure Systems; Hatje Cantz Verlag: Berlin, Germany, 2007; ISBN 978-3-3-7757-1876-9. [Google Scholar]
- SikaRapid ® C-100. Available online: https://che.sika.com/dms/getdocument.get/2c0a5740-fc68-389d-acb5-944e817deb27/441388_CH_D.PDF (accessed on 9 April 2020).
- Hajiesmaeili, A.; Denarié, E. Next Generation UHPFRC for Sustainable Structural Applications. 2018. Available online: http://infoscience.epfl.ch/record/253042 (accessed on 9 April 2020).
- Wetzel, A.; Glotzbach, C.; Maryamh, K.; Middendorf, B. Microstructural investigations on the skinning of ultra-high performance concrete. Cem. Concr. Compos. 2015, 57, 27–33. [Google Scholar]
- Roussel, N.; Coussot, P. “Fifty-cent rheometer” for yield stress measurements: From slump to spreading flow. J. Rheol. 2005, 49, 705–718. [Google Scholar] [CrossRef]
- Mettler, L.K.; Wittel, F.K.; Flatt, R.J.; Herrmann, H.J. Evolution of strength and failure of SCC during early hydration. Cem. Concr. Res. 2016, 89, 288–296. [Google Scholar] [CrossRef]
- Szabo, A.; Reiter, L.; Lloret-Fritschi, E.; Gramazio, F.; Kohler, M.; Flatt, R.J. Processing of Set on Demand Solutions for Digital Fabrication in Architecture. In Rheology and Processing of Construction Materials; Springer: Cham, France, 2020; pp. 440–447. [Google Scholar]
- Lootens, D.; Jousset, P.; Martinie, L.; Roussel, N.; Flatt, R.J. Yield stress during setting of cement pastes from penetration tests. Cem. Concr. Res. 2009, 39, 401–408. [Google Scholar]
- Mantellato, S. Flow Loss in Superplasticized Cement Pastes; ETH: Zürich, Switzerland, 2017. [Google Scholar]
- Mantellato, S.; Palacios, M.; Flatt, R.J. Relating early hydration, specific surface and flow loss of cement pastes. Mater. Struct. 2019, 52, 5. [Google Scholar] [CrossRef]
- Reiter, L.; Wangler, T.; Anton, A.-M.; Flatt, R.J. Setting on Demand for Digital Concrete—Principles, Measurements, Chemistry, Validation. In Cement and Concrete Research; Elsevier: Oxford, UK, 2020. [Google Scholar]
- Tenoutasse, N. The hydration mechanism of C3A and C3S in the presence of calcium chloride and calcium sulphate. Proc. Int. Symp. Chem. Cem. 1968, 2, 372–378. [Google Scholar]
- Roussel, N. Rheology of fresh concrete: From measurements to predictions of casting processes. Mater. Struct. 2007, 40, 1001–1012. [Google Scholar] [CrossRef]
- Aïtcin, P.-C. Accelerators. In Science and Technology of Concrete Admixtures; Woodhead Publishing: Cambridge, UK, 2016; pp. 405–413. ISBN 978-0-08-100693-1. [Google Scholar]

















| Retarded Mix [kg/m3] | Mix S | Mix U |
|---|---|---|
| Sand (0–4 mm) | 1367.60 | |
| Quartz sand (0.125–0.5 mm) | 616.40 | |
| Glass fibres (Fibre Technologies AR2500H103) | 7.35 | |
| Cement (CEM I 52.5R or N) | 615.06 (R) | 547.50 (N) |
| Silica fume (BASF Masterlife SF100) | 32.37 | 191.60 |
| Limestone 5–15 µm d50% (OMYA Betocarb-HP) | 183.10 | |
| Limestone 3 µm d50% (OMYA Betoflow-D) | 419.10 | |
| Water | 247.19 | 192.20 |
| Superplasticizer (BASF MasterGlenium ACE-30) | 1.55 | 6.00 |
| Sucrose (Sigma Aldrich 99.5% purity D(+)) | 0.68 | 1.33 |
| Ca(NO3)2 (SigmaAldrich) | 0.03 | |
| w/b (-) | 0.38 | 0.26 |
| Accelerator (g/lretarded concrete) | Mix S_C | Mix S_A | Mix U_A | |||||||
|---|---|---|---|---|---|---|---|---|---|---|
| S_C_1 | S_C_3 | S_C_5 | S_A * | S_A_1 | S_A_3 | S_A_5 | U_A_1 | U_A_3 | U_A_5 | |
| Sika Rapid C100 | 15.38 | 20.00 | 24.60 | |||||||
| Al2(SO4)3·18H2O | 9.23 | 9.23 | 9.23 | 9.23 | 13.69 | 12.59 | 11.50 | |||
| Water | 31.95 | 31.95 | 32.20 | 32.44 | 75.48 | 71.85 | 68.21 | |||
| Superplasticizer * | 1.85 | 2.20 | 2.55 | |||||||
| w/b acc. (-) | 0.39 | 0.40 | 0.40 | 0.43 | 0.43 | 0.43 | 0.43 | 0.36 | 0.36 | 0.35 |
© 2020 by the authors. Licensee MDPI, Basel, Switzerland. This article is an open access article distributed under the terms and conditions of the Creative Commons Attribution (CC BY) license (http://creativecommons.org/licenses/by/4.0/).
Share and Cite
Szabo, A.; Reiter, L.; Lloret-Fritschi, E.; Gramazio, F.; Kohler, M.; Flatt, R.J. Mastering Yield Stress Evolution and Formwork Friction for Smart Dynamic Casting. Materials 2020, 13, 2084. https://doi.org/10.3390/ma13092084
Szabo A, Reiter L, Lloret-Fritschi E, Gramazio F, Kohler M, Flatt RJ. Mastering Yield Stress Evolution and Formwork Friction for Smart Dynamic Casting. Materials. 2020; 13(9):2084. https://doi.org/10.3390/ma13092084
Chicago/Turabian StyleSzabo, Anna, Lex Reiter, Ena Lloret-Fritschi, Fabio Gramazio, Matthias Kohler, and Robert J. Flatt. 2020. "Mastering Yield Stress Evolution and Formwork Friction for Smart Dynamic Casting" Materials 13, no. 9: 2084. https://doi.org/10.3390/ma13092084
APA StyleSzabo, A., Reiter, L., Lloret-Fritschi, E., Gramazio, F., Kohler, M., & Flatt, R. J. (2020). Mastering Yield Stress Evolution and Formwork Friction for Smart Dynamic Casting. Materials, 13(9), 2084. https://doi.org/10.3390/ma13092084

