Effects of Aging Process on the Damping Performance of ZK60 Magnesium Alloys Prepared by Large Strain Rolling
Abstract
:1. Introduction
2. Materials and Methods
3. Results
3.1. Microstructure
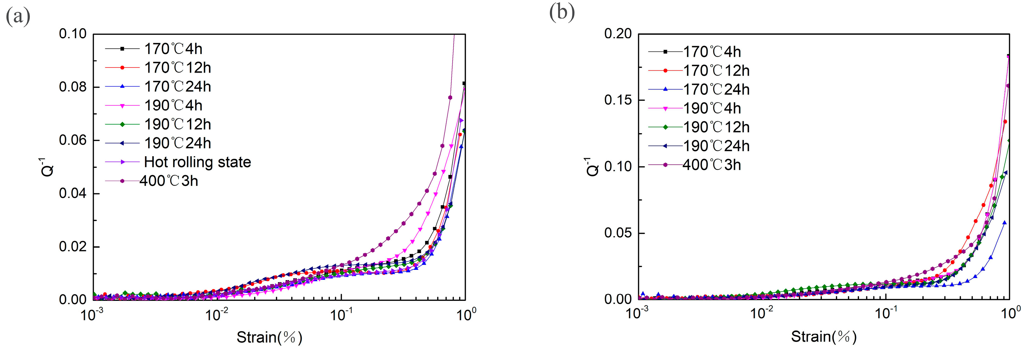
3.2. Damping Performance
4. Conclusions
Author Contributions
Funding
Conflicts of Interest
References
- Wu, W.Y.; Wu, K.; Deng, K.K.; Nie, K.B.; Wang, X.J.; Zheng, M.Y.; Hu, X.S. Damping capacities and microstructures of magnesium matrix composites reinforced by graphite particles. Mater. Des. 2010, 31, 4862–4865. [Google Scholar] [CrossRef]
- Niu, R.L.; Yan, F.J.; Wang, Y.S.; Yang, X.M. Effect of Zr content on damping property of Mg-Zr binary alloys. Mater. Sci. Eng. A 2018, 718, 418–426. [Google Scholar] [CrossRef]
- Chen, X.; Mao, J.; Pan, F.; Peng, J.; Wang, J. Influence of impurities on damping properties of ZK60 magnesium alloy. Trans. Nonferrous Met. Soc. China 2010, 20, 1305–1310. [Google Scholar] [CrossRef]
- Liu, X.; Wang, Y.Y.; Zhu, B.W.; Xie, C.; Sun, Y.P.; Yang, H. Effect of microstructures and textures on the anisotropy of mechanical properties of AZ31 magnesium alloy sheets subjected to high strain rate rolling. Mater. Res. Express 2019, 6, 106591. [Google Scholar] [CrossRef]
- Zhu, B.; Liu, X.; Xie, C.; Su, J.; Guo, P.; Tang, C.; Liu, W.H. Unveiling the underlying mechanism of forming edge cracks upon high strain-rate rolling of magnesium alloy. J. Mater. Sci. Technol. 2020, 50, 59–65. [Google Scholar] [CrossRef]
- Xu, D.D.; Wang, J.F.; Lu, R.P. Mechanical properties and damping capacity of Mg-Li alloys with different phases. Chin. J. Nonferrous Met. 2014, 24, 848–854. [Google Scholar]
- Ma, Y.L.; Pan, F.S.; Zuo, R.L. Review on the research of high-strength wrought magnesium alloy ZK60. J. Chongqing Univ. 2004, 9, 80–85. [Google Scholar]
- Zhou, H.; Wang, J.; Pan, F.S.; Xu, D.D.; Tang, A.T.; Liang, H. Influence of rolling on internal friction peak of Mg-3Cu-1Mn alloy. Trans. Nonferrous Met. Soc. China 2013, 23, 1610–1616. [Google Scholar] [CrossRef]
- Zhang, J.; Zhu, H.M.; Wu, W. Effects of rolling on damping capacity of mg-0.6zr alloy. Hot Work. Technol. 2014, 43, 53–55. [Google Scholar]
- Lu, R.; Yao, K.; Zhao, Y.; Jiao, K.; Li, K.; Hou, H. Effect of extrusion on damping and mechanical properties of Mg-Zn-Y alloy. Mater. Res. Express 2020, 7, 076520. [Google Scholar] [CrossRef]
- Zhang, Z.; Zeng, X.; Ding, W. The influence of heat treatment on damping response of AZ91D magnesium alloy. Mater. Sci. Eng. A 2005, 392, 150–155. [Google Scholar] [CrossRef]
- Li, X.W.; Yang, Y.Q.; Zhang, G.S. Influence of heat treatment on damping performance of AZ31 magnesium alloys. Hot Work. Technol. 2018, 47, 237–240. [Google Scholar]
- Yan, B.; Dong, X.; Ma, R.; Chen, S.; Pan, Z.; Ling, H. Effects of heat treatment on microstructure, mechanical properties and damping capacity of Mg-Zn-Y-Zr alloy. Mater. Sci. Eng. A 2014, 594, 168–177. [Google Scholar] [CrossRef]
- Kwak, J.H.; Ko, M.S.; Kim, K.H. The Effect of Crystal Orientation on Damping Capacity in Rolled AZ31 Magnesium Alloy. Mater. Sci. Forum 2018, 941, 1127–1131. [Google Scholar] [CrossRef]
- Feng, H.; Liu, H.; Cao, H.; Yang, Y.; Xu, Y.; Guan, J. Effect of precipitates on mechanical and damping properties of Mg–Zn–Y–Nd alloys. Mater. Sci. Eng. A 2015, 639, 1–7. [Google Scholar] [CrossRef]
- Wang, J.F.; Gao, S.; Pan, F.S.; Tang, A.T.; Ding, P.D. Influence of process technology on mechanical and damping properties of ZK60 magnesium alloys. Trans. Nonferrous Met. Soc. China 2009, 19, 821–825. [Google Scholar]
- Wang, J.F.; Gao, S.; Zhao, L.; Liang, H.; Hu, Y.B.; Pan, F.S. Effects of Y on mechanical properties and damping capacity of ZK60 magnesium alloys. Trans. Nonferrous Met. Soc. China 2010, 20, s366–s370. [Google Scholar] [CrossRef]
- Zhou, X.; Yan, H.; Chen, J.; Xia, W.; Su, B.; Yu, L.; Huang, W.; Song, M. Effects of low temperature aging precipitates on damping and mechanical properties of ZK60 magnesium alloy. J. Alloys Compd. 2020, 819, 152961. [Google Scholar] [CrossRef]
- Wang, J.F.; Gao, S.; Pan, F.S.; Tang, A.T.; Ding, P.D. Influence of heat treatment on mechanical and damping properties of as-extruded ZK60 magnesium alloy. Rare Metal. Mat. Eng. 2009, 38, 1029–1032. [Google Scholar]
- Bettles, C.; Barnett, M. Advances in Wrought Magnesium Alloys: Fundamentals of Processing, Properties and Applications; Woodhead publishing: Oxford, UK, 2012; pp. 186–225. [Google Scholar] [CrossRef]
- Li, D.G.; Yin, F.J.; Chen, M.Y.; Li, C.R. Growth behavior of γ′precipitated particles in Inconel 751 during long term aging treatment. Heat Treat. Metals 2005, 30, 29–32. [Google Scholar]
- Granato, A.V.; Lucke, K. Theory of Mechanical Damping Due to Dislocations. J. Appl. Phys. 1956, 27, 583–593. [Google Scholar] [CrossRef]
- Yu, K.; Li, W.X.; Wang, R.C. Effects of heat treatment on microstructure and mechanical properties of ZK60 magnesium alloy. Chin. J. Nonferrous Met. 2007, 17, 188–192. [Google Scholar]
- Ren, L.B.; Quan, G.F.; Xu, Y.G.; Yin, D.D.; Lu, J.W.; Dang, J.T. Effect of heat treatment and pre-deformation on damping capacity of cast Mg-Y binary alloys. J. Alloys Compd. 2017, 699, 976–982. [Google Scholar] [CrossRef]
- Yan, F.; Gao, F.; Quan, G.F. Influence of microstructure on damping properties of wrought AZ80 magnesium alloy. J. Dalian Jiaotong Univ. 2010, 31, 63–66. [Google Scholar]
- Zhang, X.N.; Chen, S.G.; Zhang, D.; Wu, R.J. Study on damping behavior of Gr/Mg composite. J. Mater. Eng. 1997, 8, 19–21. [Google Scholar]
- Hu, X.S.; Wu, K.; Zheng, M.Y.; Gan, W.M.; Wang, X.J. Low frequency damping capacities and mechanical properties of Mg–Si alloys. Mater. Sci. Eng. A 2007, 452, 374–379. [Google Scholar] [CrossRef]
- Rogers, D.H. An Extension of a Theory of Mechanical Damping Due to Dislocations. J. Appl. Phys. 1962, 33, 781. [Google Scholar] [CrossRef]







| Alloy No. | Zn | Zr | Fe | Cu | Ni | Mn | Si | Al | Mg |
|---|---|---|---|---|---|---|---|---|---|
| ZK60 | 5.57 | 0.69 | 0.0010 | 0.0032 | 0.0026 | 0.021 | ≤0.01 | ≤0.01 | Bal |
| Process No. | Temperature | Time |
|---|---|---|
| T5 | 170 °C | 4, 12, 24 h |
| 190 °C | 4, 12, 24 h | |
| T6 | 400 °C, 3 h + 170 °C | 4, 12, 24 h |
| 400 °C, 3 h + 190 °C | 4, 12, 24 h |
| Heat Treatment Process | C1 | C2 |
|---|---|---|
| Hot rolling state | 0.222664305 | 1.62422 |
| 170 °C 4 h | 0.306382793 | 1.67621 |
| 170 °C 24 h | 0.216317077 | 1.65848 |
| 190 °C 12 h | 0.209590427 | 1.59952 |
| 400 °C 3 h | 0.370567376 | 1.45567 |
| 400 °C 3 h + 170 °C 4 h | 0.929117563 | 2.01992 |
| 400 °C 3 h + 170 °C 24 h | 0.53361536 | 1.82115 |
| 400 °C 3 h + 190 °C 12 h | 0.590261276 | 1.94533 |
Publisher’s Note: MDPI stays neutral with regard to jurisdictional claims in published maps and institutional affiliations. |
© 2020 by the authors. Licensee MDPI, Basel, Switzerland. This article is an open access article distributed under the terms and conditions of the Creative Commons Attribution (CC BY) license (http://creativecommons.org/licenses/by/4.0/).
Share and Cite
Feng, X.; Sun, Y.; Wan, S.; Chen, G.; He, J. Effects of Aging Process on the Damping Performance of ZK60 Magnesium Alloys Prepared by Large Strain Rolling. Materials 2020, 13, 5574. https://doi.org/10.3390/ma13235574
Feng X, Sun Y, Wan S, Chen G, He J. Effects of Aging Process on the Damping Performance of ZK60 Magnesium Alloys Prepared by Large Strain Rolling. Materials. 2020; 13(23):5574. https://doi.org/10.3390/ma13235574
Chicago/Turabian StyleFeng, Xuhui, Youping Sun, Siyu Wan, Gang Chen, and Jiangmei He. 2020. "Effects of Aging Process on the Damping Performance of ZK60 Magnesium Alloys Prepared by Large Strain Rolling" Materials 13, no. 23: 5574. https://doi.org/10.3390/ma13235574
APA StyleFeng, X., Sun, Y., Wan, S., Chen, G., & He, J. (2020). Effects of Aging Process on the Damping Performance of ZK60 Magnesium Alloys Prepared by Large Strain Rolling. Materials, 13(23), 5574. https://doi.org/10.3390/ma13235574
