Vibration Analysis of Carbon Fiber-Graphene-Reinforced Hybrid Polymer Composites Using Finite Element Techniques
Abstract
1. Introduction
2. Computational Approach
2.1. Problem Definition
2.2. Graphene Mechanical Properties in Nanoscale
2.3. Graphene/Polymer Matrix Physical Properties
2.4. Physical Properties of Composite Lamina
2.5. Finite Element Modelling of the Composite Plate
3. Results and Discussion
3.1. Effect of Graphene on Composite Lamina Physical Properties
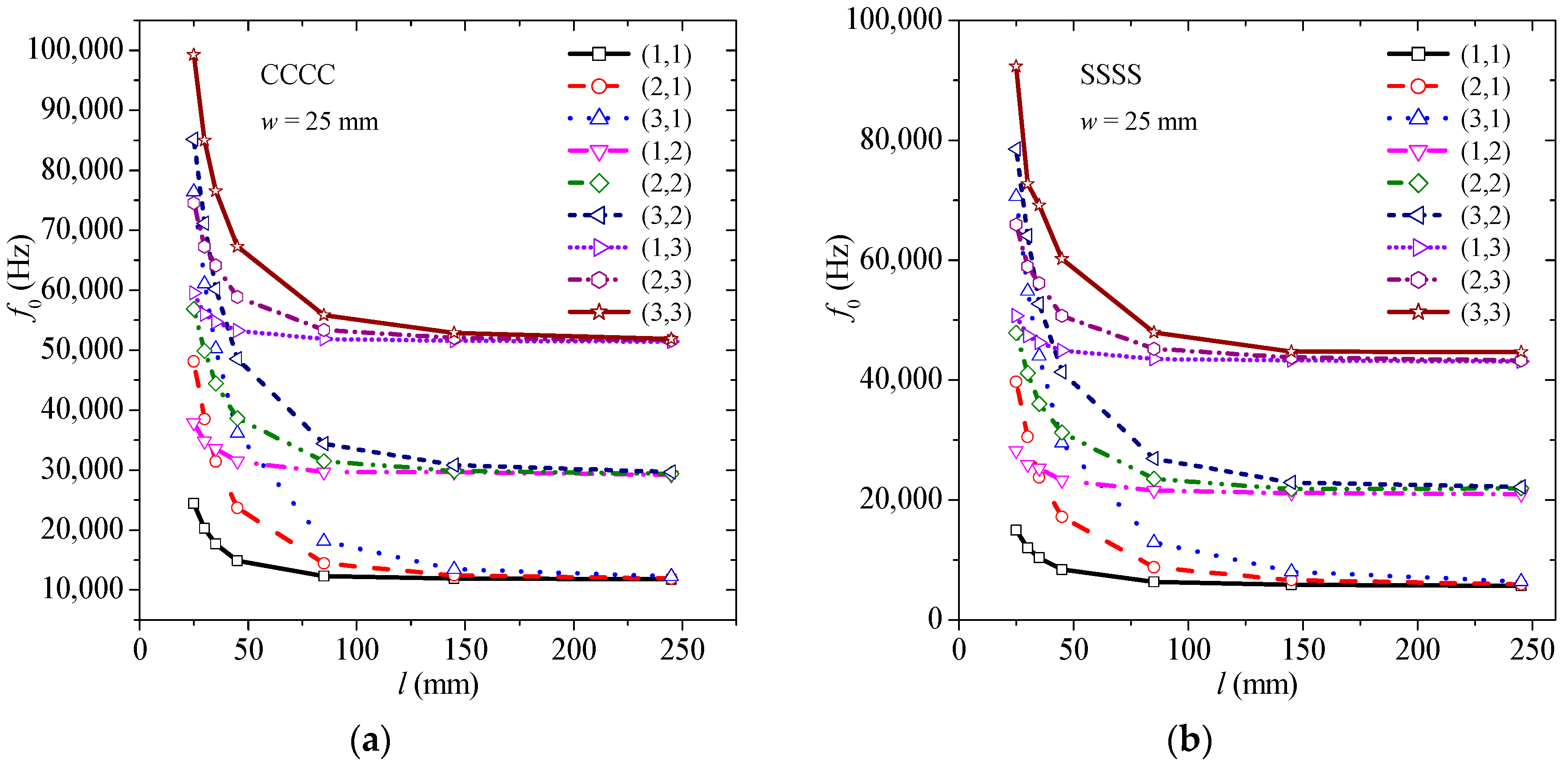
3.2. Vibrational Characteristics of the Composite Plate
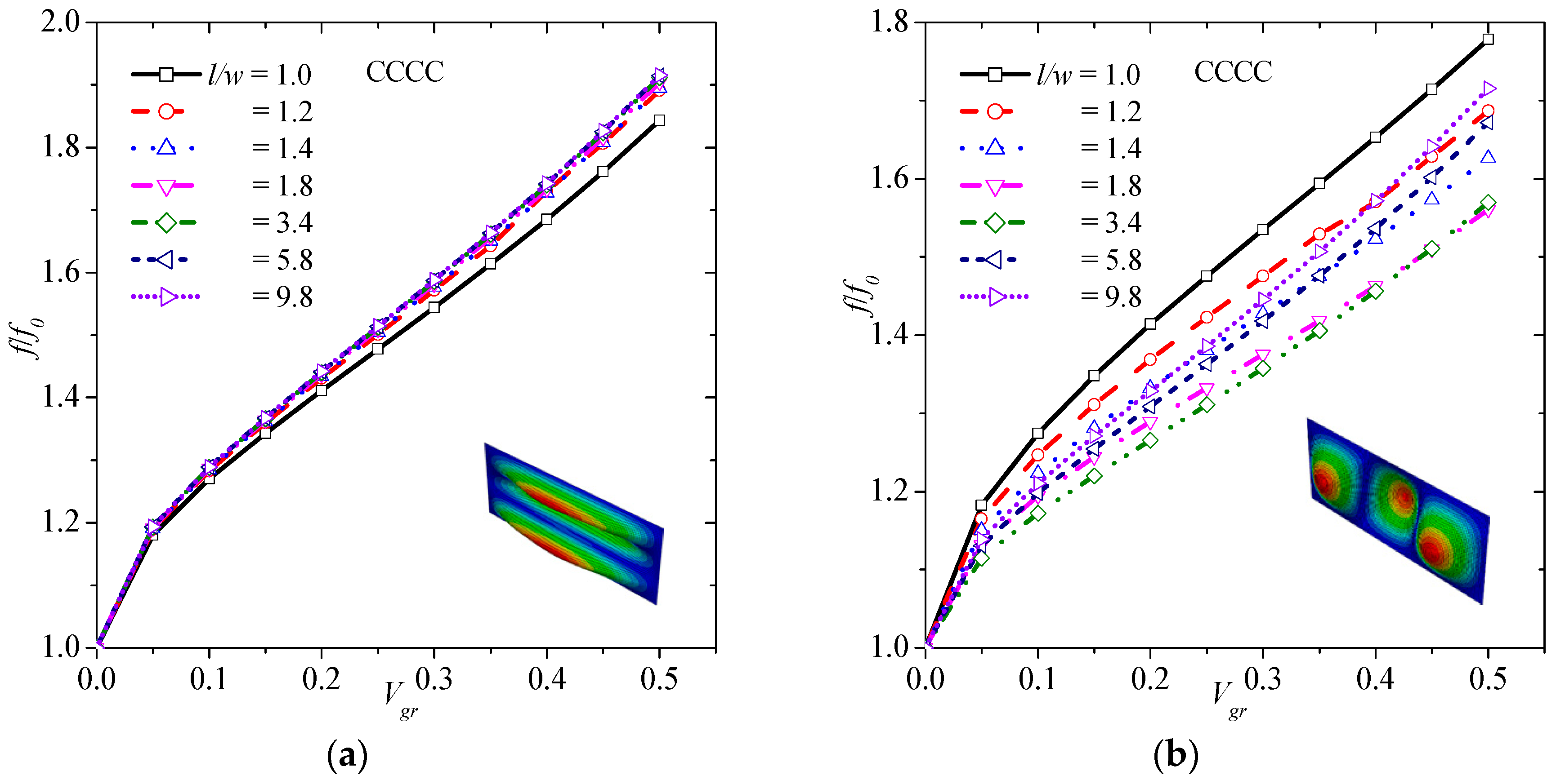
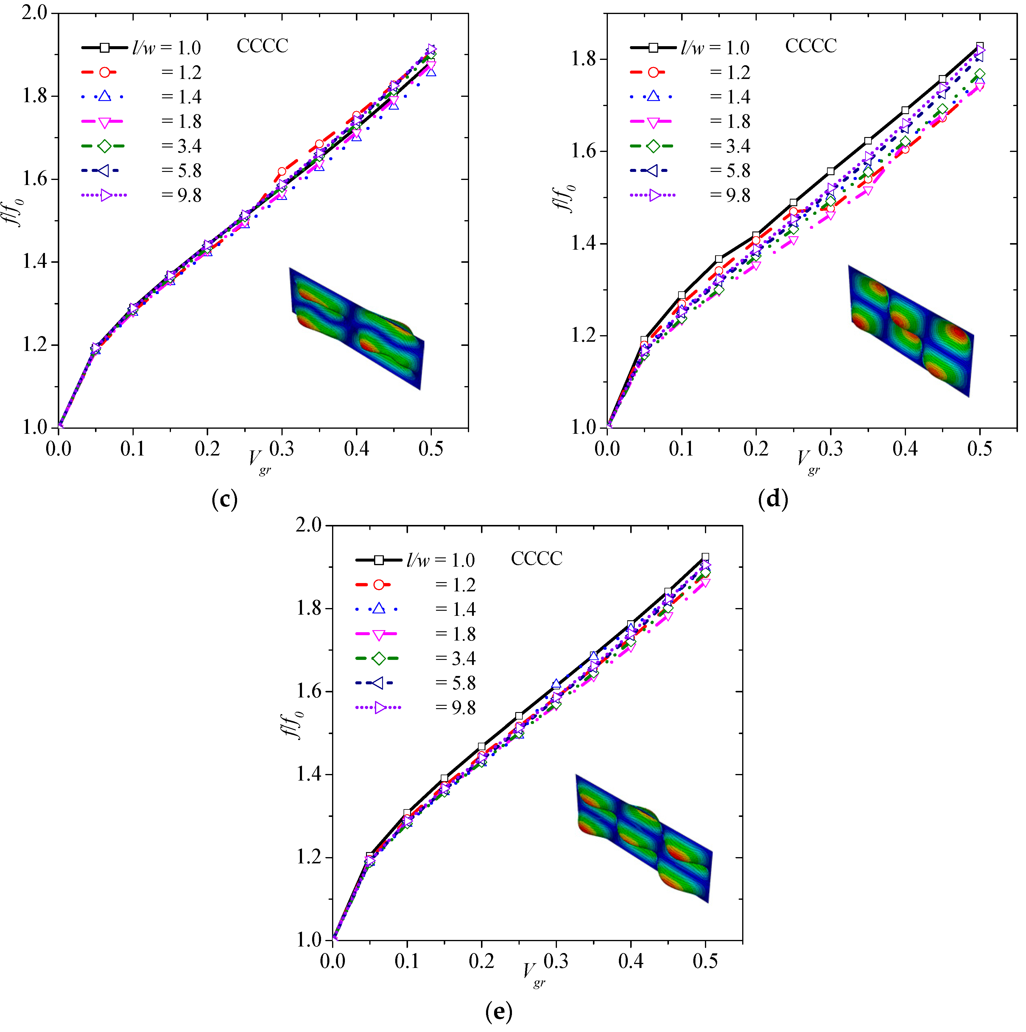
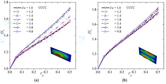
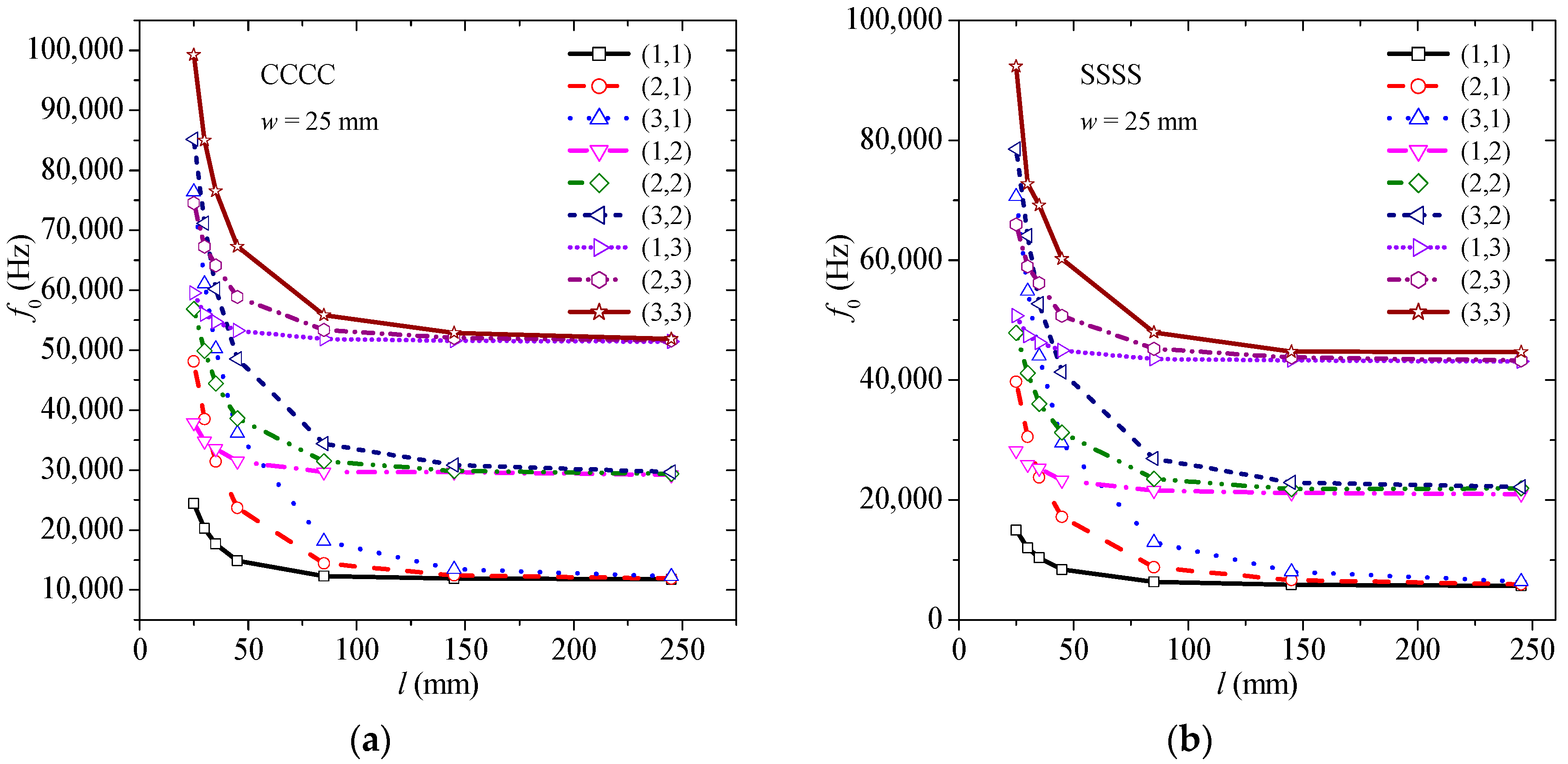
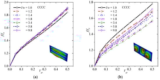
3.3. Effect of Graphene on Natural Frequancies Assuming under CCCC Boundary Conditions
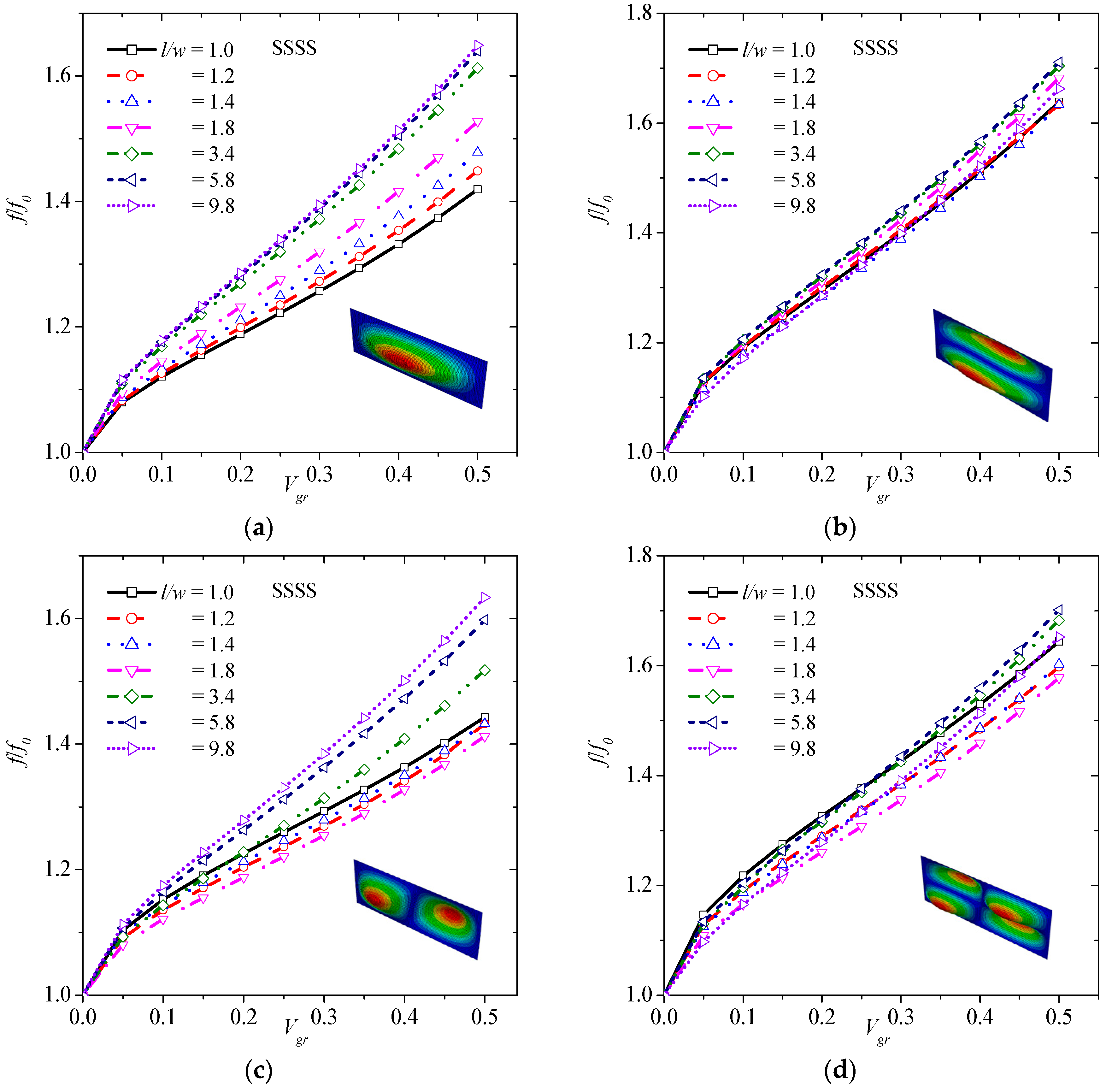
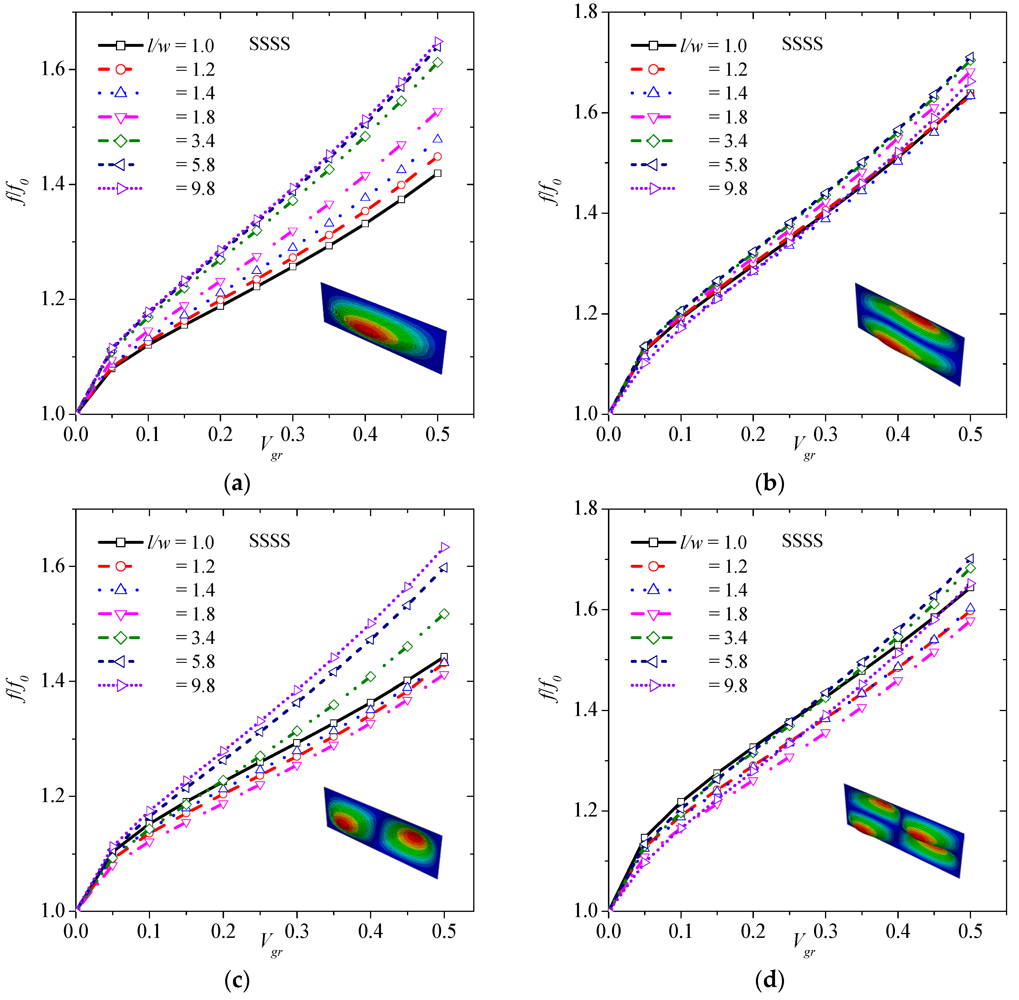
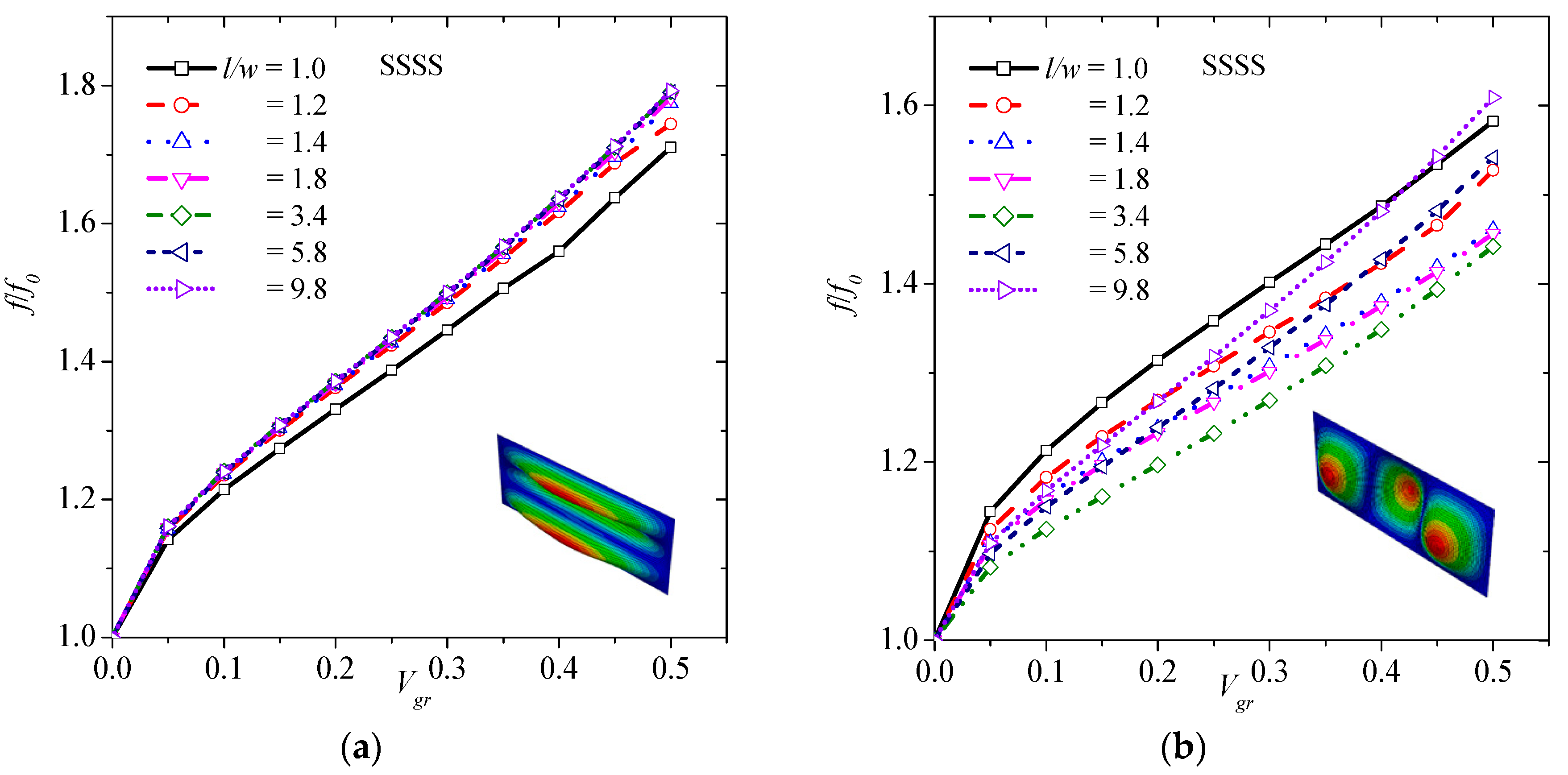
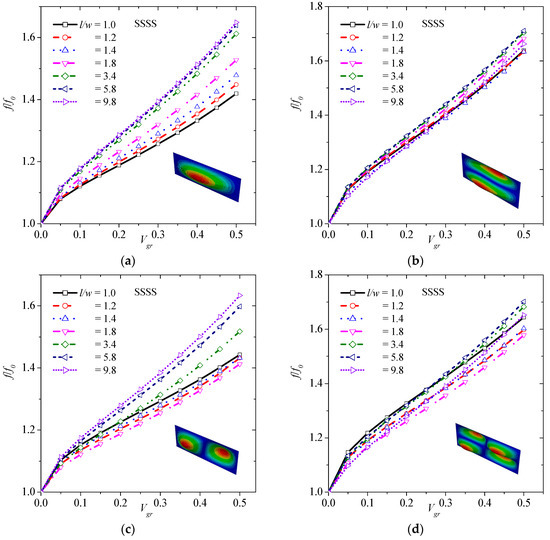
3.4. Effect of Graphene on Natural Frequancies Assuming SSSS Boundary Conditions
3.5. Average Effect of Graphene on Natural Frequencies
4. Conclusions
- The presence of graphene enhanced considerably the orthotropic mechanical properties of the polymer composite lamina;
- The presence of graphene into the composite does not influence the shape of the vibration modes, however it affects their sequence;
- The presence of graphene into the composite increase significantly natural frequencies of the structure;
- The presence of graphene into the composite increase slightly more the normalized frequency of higher order than basic modes;
- The presence of graphene into the composite increase more natural frequencies of CCCC than SSSS boundary condition.
Author Contributions
Funding
Conflicts of Interest
References
- Rubino, F.; Nisticò, A.; Tucci, F.; Carlone, P. Marine Application of Fiber Reinforced Composites: A Review. J. Mar. Sci. Eng. 2020, 8, 26. [Google Scholar] [CrossRef]
- Awad, Z.K.; Aravinthan, T.; Zhuge, Y.; Gonzalez, F. A Review of Optimization Techniques Used in the Design of Fibre Composite Structures for Civil Engineering Applications. Mater. Des. 2012, 33, 534–544. [Google Scholar] [CrossRef]
- Ye, L.; Lu, Y.; Su, Z.; Meng, G. Functionalized Composite Structures for New Generation Airframes: A Review. Compos. Sci. Technol. 2005, 65, 1436–1446. [Google Scholar] [CrossRef]
- Narayana, K.J.; Burela, R.G. A Review of Recent Research on Multifunctional Composite Materials and Structures with Their Applications. Mater. Today-Proc. 2018, 5, 5580–5590. [Google Scholar] [CrossRef]
- Mohammed, L.; Ansari, M.N.; Pua, G.; Jawaid, M.; Islam, M.S. A Review on Natural Fiber Reinforced Polymer Composite and Its Applications. Int. J. Polym. Sci. 2015, 2015, 243947. [Google Scholar] [CrossRef]
- Rajak, D.K.; Pagar, D.D.; Menezes, P.L.; Linul, E. Fiber-Reinforced Polymer Composites: Manufacturing, Properties, and Applications. Polymers 2019, 11, 1667. [Google Scholar] [CrossRef]
- Georgantzinos, S.K. A New Finite Element for An Efficient Mechanical Analysis of Graphene Structures Using Computer Aided Design/Computer Aided Engineering Techniques. J. Comput. Theor. Nanosci. 2017, 14, 5347–5354. [Google Scholar] [CrossRef]
- Cao, G. Atomistic Studies of Mechanical Properties of Graphene. Polymers 2014, 6, 2404–2432. [Google Scholar] [CrossRef]
- Georgantzinos, S.K.; Katsareas, D.E.; Anifantis, N.K. Graphene Characterization: A Fully Non-Linear Spring-Based Finite Element Prediction. Physica E Low Dimens. Syst. Nanostruct. 2011, 43, 1833–1839. [Google Scholar] [CrossRef]
- Lee, J.-H.; Park, S.-J.; Choi, J.-W. Electrical Property of Graphene and Its Application to Electrochemical Biosensing. Nanomaterials 2019, 9, 297. [Google Scholar] [CrossRef]
- Georgantzinos, S.K.; Giannopoulos, G.I.; Fatsis, A.; Vlachakis, N.V. Analytical Expressions for Electrostatics of Graphene Structures. Physica E Low Dimens. Syst. Nanostruct. 2016, 84, 27–36. [Google Scholar] [CrossRef]
- Prasher, R. Graphene Spreads the Heat. Science 2010, 328, 185–186. [Google Scholar] [CrossRef] [PubMed]
- Falkovsky, L.A. Optical Properties of Graphene. J. Phys. Conf. Ser. 2008, 129, 012004. [Google Scholar] [CrossRef]
- Liu, J.; Khan, U.; Coleman, J.; Fernandez, B.; Rodriguez, P.; Naher, S.; Brabazon, D. Graphene Oxide and Graphene Nanosheet Reinforced Aluminium Matrix Composites: Powder Synthesis and Prepared Composite Characteristics. Mater. Des. 2016, 94, 87–94. [Google Scholar] [CrossRef]
- Li, G.; Xiong, B. Effects of Graphene Content on Microstructures and Tensile Property of Graphene-Nanosheets/Aluminum Composites. J. Alloys Compd. 2017, 697, 31–36. [Google Scholar] [CrossRef]
- Abbasi, H.; Antunes, M.; Velasco, J.I. Effects of Carbon Nanotubes/Graphene Nanoplatelets Hybrid Systems on the Structure and Properties of Polyetherimide-Based Foams. Polymers 2018, 10, 348. [Google Scholar] [CrossRef] [PubMed]
- Irez, A.B.; Bayraktar, E.; Miskioglu, I. Fracture Toughness Analysis of Epoxy-Recycled Rubber-Based Composite Reinforced with Graphene Nanoplatelets for Structural Applications in Automotive and Aeronautics. Polymers 2020, 12, 448. [Google Scholar] [CrossRef]
- Spanos, K.N.; Georgantzinos, S.K.; Anifantis, N.K. Mechanical Properties of Graphene Nanocomposites: A Multiscale Finite Element Prediction. Compos. Struct. 2015, 132, 536–544. [Google Scholar] [CrossRef]
- Lin, F.; Xiang, Y.; Shen, H.S. Temperature Dependent Mechanical Properties of Graphene Reinforced Polymer Nanocomposites–A Molecular Dynamics Simulation. Compos. Part B Eng. 2017, 111, 261–269. [Google Scholar] [CrossRef]
- Montazeri, A.; Rafii-Tabar, H. Multiscale Modeling of Graphene-And Nanotube-Based Reinforced Polymer Nanocomposites. Phys. Lett. A 2011, 375, 4034–4040. [Google Scholar] [CrossRef]
- Heidarhaei, M.; Shariati, M.; Eipakchi, H.R. Analytical Investigation of Interfacial Debonding In Graphene-Reinforced Polymer Nanocomposites with Cohesive Zone Interface. Mech. Adv. Mater. Struct. 2019, 26, 1008–1017. [Google Scholar] [CrossRef]
- Roach, C.C.; Lu, Y.C. Analytical Modeling of Effect of Interlayer on Effective Moduli of Layered Graphene-Polymer Nanocomposites. J. Mater. Sci. Technol. 2017, 33, 827–833. [Google Scholar] [CrossRef]
- Heidarhaei, M.; Shariati, M.; Eipakchi, H. Experimental and Analytical Investigations of the Tensile Behavior of Graphene-Reinforced Polymer Nanocomposites. Mech. Adv. Mater. Struct. 2018. [Google Scholar] [CrossRef]
- Kumar, A.; Sharma, K.; Dixit, A.R. A Review of the Mechanical and Thermal Properties of Graphene and Its Hybrid Polymer Nanocomposites for Structural Applications. J. Mater. Sci. 2019, 54, 5992–6026. [Google Scholar] [CrossRef]
- Rafiee, M.; Nitzsche, F.; Laliberte, J.; Thibault, J.; Labrosse, M.R. Simultaneous Reinforcement of Matrix and Fibers for Enhancement of Mechanical Properties of Graphene-Modified Laminated Composites. Polym. Compos. 2019, 40, E1732–E1745. [Google Scholar] [CrossRef]
- Kostagiannakopoulou, C.; Loutas, T.H.; Sotiriadis, G.; Markou, A.; Kostopoulos, V. On the Interlaminar Fracture Toughness of Carbon Fiber Composites Enhanced with Graphene Nano-Species. Compos. Sci. Technol. 2015, 118, 217–225. [Google Scholar] [CrossRef]
- Taş, H.; Soykok, I.F. Effects of Carbon Nanotube Inclusion into the Carbon Fiber Reinforced Laminated Composites on Flexural Stiffness: A Numerical and Theoretical Study. Compos. Part B Eng. 2019, 159, 44–52. [Google Scholar] [CrossRef]
- Guo, H.; Cao, S.; Yang, T.; Chen, Y. Vibration of laminated composite quadrilateral plates reinforced with graphene nanoplatelets using the element-free IMLS-Ritz method. Int. J. Mech. Sci. 2018, 142, 610–621. [Google Scholar] [CrossRef]
- Shen, H.S.; Xiang, Y.; Lin, F. Nonlinear vibration of functionally graded graphene-reinforced composite laminated plates in thermal environments. Comput. Methods Appl. Mech. Eng. 2017, 319, 175–193. [Google Scholar] [CrossRef]
- Shen, H.S.; Xiang, Y.; Fan, Y.; Hui, D. Nonlinear vibration of functionally graded graphene-reinforced composite laminated cylindrical panels resting on elastic foundations in thermal environments. Compos. Part B Eng. 2018, 136, 177–186. [Google Scholar] [CrossRef]
- Shen, H.S.; Xiang, Y.; Fan, Y. Nonlinear vibration of functionally graded graphene-reinforced composite laminated cylindrical shells in thermal environments. Compos. Struct. 2017, 182, 447–456. [Google Scholar] [CrossRef]
- Wang, M.; Xu, Y.G.; Qiao, P.; Li, Z.M. A two-dimensional elasticity model for bending and free vibration analysis of laminated graphene-reinforced composite beams. Compos. Struct. 2019, 211, 364–375. [Google Scholar] [CrossRef]
- Giannopoulos, G.I.; Liosatos, I.A.; Moukanidis, A.K. Parametric Study of Elastic Mechanical Properties of Graphene Nanoribbons by a New Structural Mechanics Approach. Physica E Low Dimens. Syst. Nanostruct. 2011, 44, 124–134. [Google Scholar] [CrossRef]
- Georgantzinos, S.K.; Markolefas, S.I.; Mavrommatis, S.A.; Stamoulis, K.P. Finite element modelling of carbon fiber-carbon nanostructure-polymer hybrid composite structures. MATEC Web Conf. 2020, 314, 02004. [Google Scholar] [CrossRef]
- Gibson, R. Mechanics of Composite Materials, 4th ed.; CRC press: Boca Raton, FL, USA, 2016; pp. 107–112. [Google Scholar]
- Affdl, J.H.; Kardos, J.L. The Halpin-Tsai equations: A review. Polym. Eng. Sci. 1976, 16, 344–352. [Google Scholar] [CrossRef]
- Hibbitt, H.D.; Karlsson, B.I.; Sorensen, P. ABAQUS Theory Manual, Version 6; ABAQUS Inc.: Pawtucket, RI, USA, 2006. [Google Scholar]
- Kara, Y.; Akbulut, H. Mechanical behavior of helical springs made of carbon nanotube additive epoxy composite reinforced with carbon fiber. J. Fac. Eng. Archit. Gaz. 2017, 32, 417–427. [Google Scholar]
- Mohan, V.B.; Lau, K.T.; Hui, D.; Bhattacharyya, D. Graphene-based materials and their composites: A review on production, applications and product limitations. Compos. Part B Eng. 2018, 142, 200–220. [Google Scholar] [CrossRef]











| Direction | ||||||||||
|---|---|---|---|---|---|---|---|---|---|---|
| Zig zag | 676 | 13640 | −2532 | 58250 | 19170 | 11760 | −4.7 × 10−4 | 63.72 | 85900 | 17870 |
| Armchair | 2.98 | 3.03 | 13.55 | 0.893 | −1.197 | 3.042 | 19.53 | 1.1487 × 10−1 | 1.225 | −1.634 |
| Carbon Fiber [38] | Polyester Resin [27] | Graphene (Equation (1)) | |||
|---|---|---|---|---|---|
| Ef11 (MPa) | 230,000 | Em (MPa) | 3000 | Egr (MPa) | 735,000 |
| Ef22 (MPa) | 15,410 | υm | 0.316 | wgr (nm) | 10.02 |
| υf23 | 0.46 | Gm (MPa) | 1139.8 | lgr (nm) | 9.97 |
| υf12 | 0.29 | ρm (g/cm3) | 1.20 | ρgr (g/cm3) | 2.26 |
| Gf12 (MPa) | 10,040 | ||||
| Gf23 (MPa) | 5287 | ||||
| ρf (g/cm3) | 1.80 | ||||
| Vgr | E1 (GPa) | E2 (GPa) | v12 | v23 | G12 (GPa) | G23 (GPa) | ρc (g/cm3) |
|---|---|---|---|---|---|---|---|
| 0.00 | 139.20 | 7.799 | 0.300 | 0.397 | 4.924 | 3.493 | 1.560 |
| 0.05 | 142.21 | 13.280 | 0.300 | 0.397 | 8.451 | 5.732 | 1.581 |
| 0.10 | 145.47 | 16.673 | 0.300 | 0.397 | 10.589 | 7.466 | 1.602 |
| 0.15 | 149.04 | 19.828 | 0.300 | 0.397 | 12.552 | 9.233 | 1.624 |
| 0.20 | 152.95 | 23.073 | 0.300 | 0.397 | 14.559 | 11.124 | 1.645 |
| 0.25 | 157.25 | 26.537 | 0.300 | 0.397 | 16.693 | 13.182 | 1.666 |
| 0.30 | 162.00 | 30.305 | 0.300 | 0.397 | 19.010 | 15.445 | 1.687 |
| 0.35 | 167.29 | 34.453 | 0.300 | 0.397 | 21.558 | 17.953 | 1.708 |
| 0.40 | 173.20 | 39.064 | 0.300 | 0.397 | 24.388 | 20.752 | 1.730 |
| 0.45 | 179.86 | 44.237 | 0.300 | 0.397 | 27.562 | 23.901 | 1.751 |
| 0.50 | 187.42 | 50.094 | 0.300 | 0.397 | 31.154 | 27.473 | 1.772 |
© 2020 by the authors. Licensee MDPI, Basel, Switzerland. This article is an open access article distributed under the terms and conditions of the Creative Commons Attribution (CC BY) license (http://creativecommons.org/licenses/by/4.0/).
Share and Cite
Georgantzinos, S.K.; Giannopoulos, G.I.; Markolefas, S.I. Vibration Analysis of Carbon Fiber-Graphene-Reinforced Hybrid Polymer Composites Using Finite Element Techniques. Materials 2020, 13, 4225. https://doi.org/10.3390/ma13194225
Georgantzinos SK, Giannopoulos GI, Markolefas SI. Vibration Analysis of Carbon Fiber-Graphene-Reinforced Hybrid Polymer Composites Using Finite Element Techniques. Materials. 2020; 13(19):4225. https://doi.org/10.3390/ma13194225
Chicago/Turabian StyleGeorgantzinos, Stelios K., Georgios I. Giannopoulos, and Stylianos I. Markolefas. 2020. "Vibration Analysis of Carbon Fiber-Graphene-Reinforced Hybrid Polymer Composites Using Finite Element Techniques" Materials 13, no. 19: 4225. https://doi.org/10.3390/ma13194225
APA StyleGeorgantzinos, S. K., Giannopoulos, G. I., & Markolefas, S. I. (2020). Vibration Analysis of Carbon Fiber-Graphene-Reinforced Hybrid Polymer Composites Using Finite Element Techniques. Materials, 13(19), 4225. https://doi.org/10.3390/ma13194225
