Adsorption and Corrosion Performance of New Cationic Gemini Surfactants Derivatives of Fatty Amido Ethyl Aminium Chloride with Ester Spacer for Mild Steel in Acidic Solutions
Abstract
1. Introduction
2. Materials and Methods
2.1. Synthesis
- Synthesis of N-(2-(dimethylamino)ethyl)dodecanamide (DAEA12)
- Synthesis of the ester spacer (Ethane-1,2-diyl bis(2-chloroethanoate) (ES)The Gao method was used to synthesize ethane-1,2-diyl bis(2-chloroethanoate) [26].
- Synthesis of 2-2′-(Ethane-1,2-diylbis(oxy)) bis(N-(2-alkanamidoethyl)-N,N’-dimethyl-2-oxoethan-1-aminium)) dichloride (CGSES12-CGSES16)
2.2. Specimens
2.3. Electrochemical Techniques
2.4. Gravimetric Measurements
2.5. Surface Tension Measurements
3. Results and Discussion
3.1. Construction Explanation
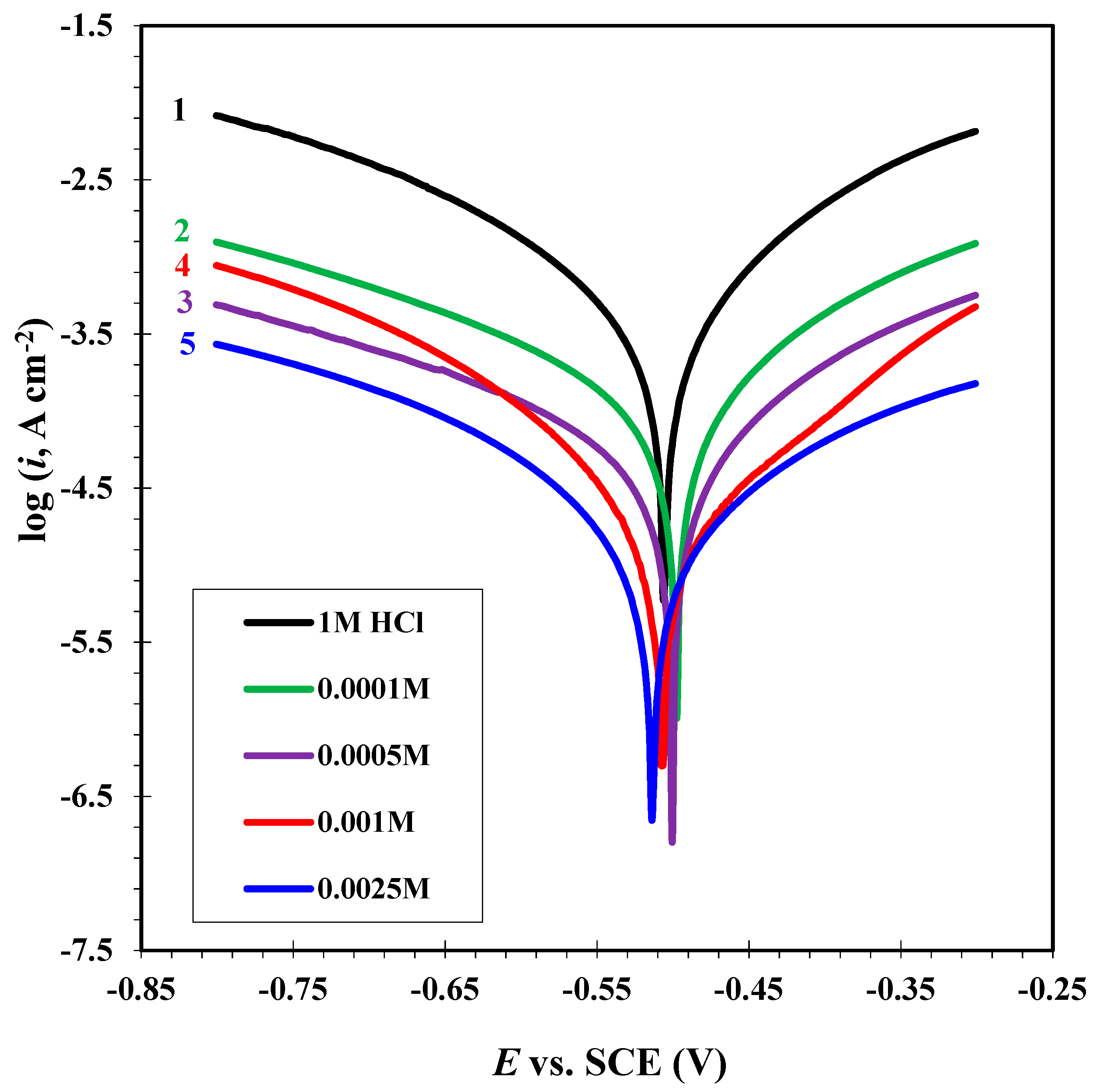
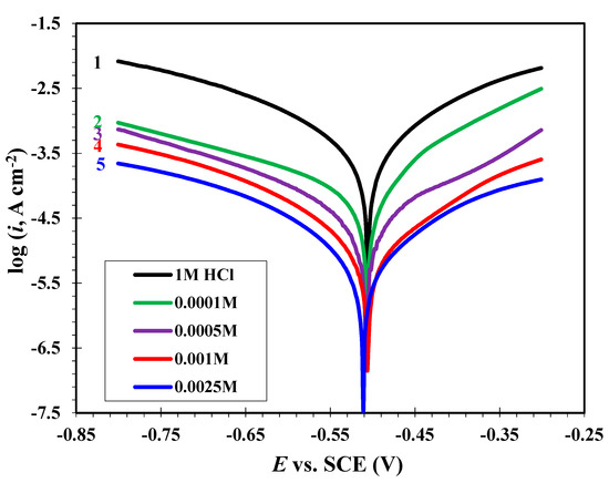
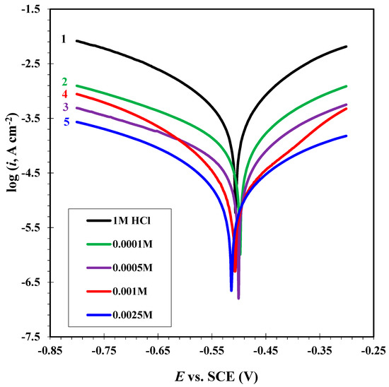
3.2. Potentiodynamic Polarization
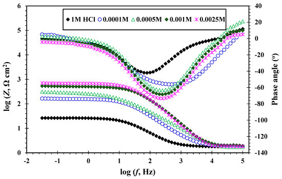
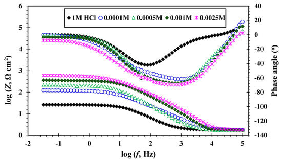
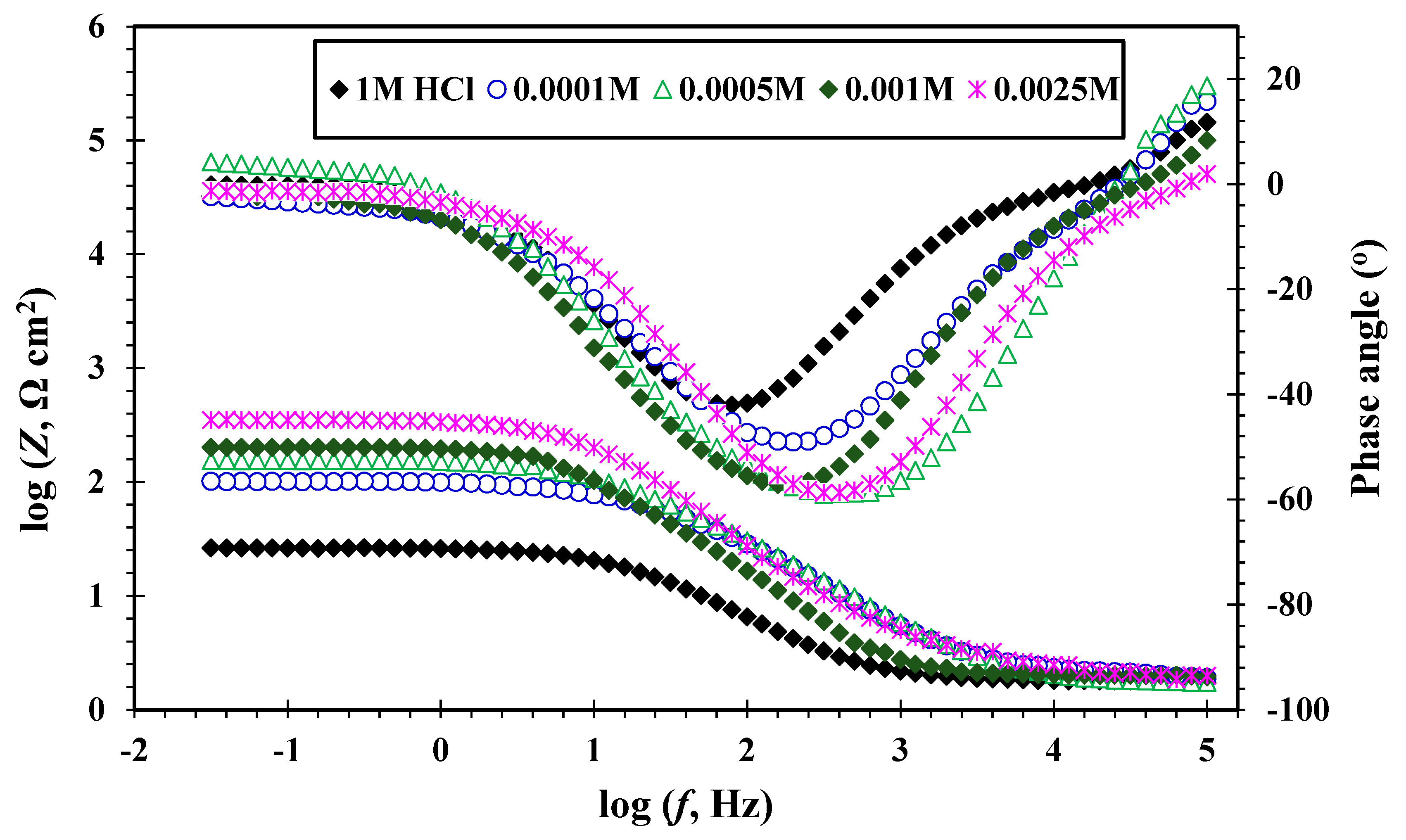
3.3. EIS Results
3.4. Weight Loss
3.4.1. The Effect of Concentration
3.4.2. Effect of temperature
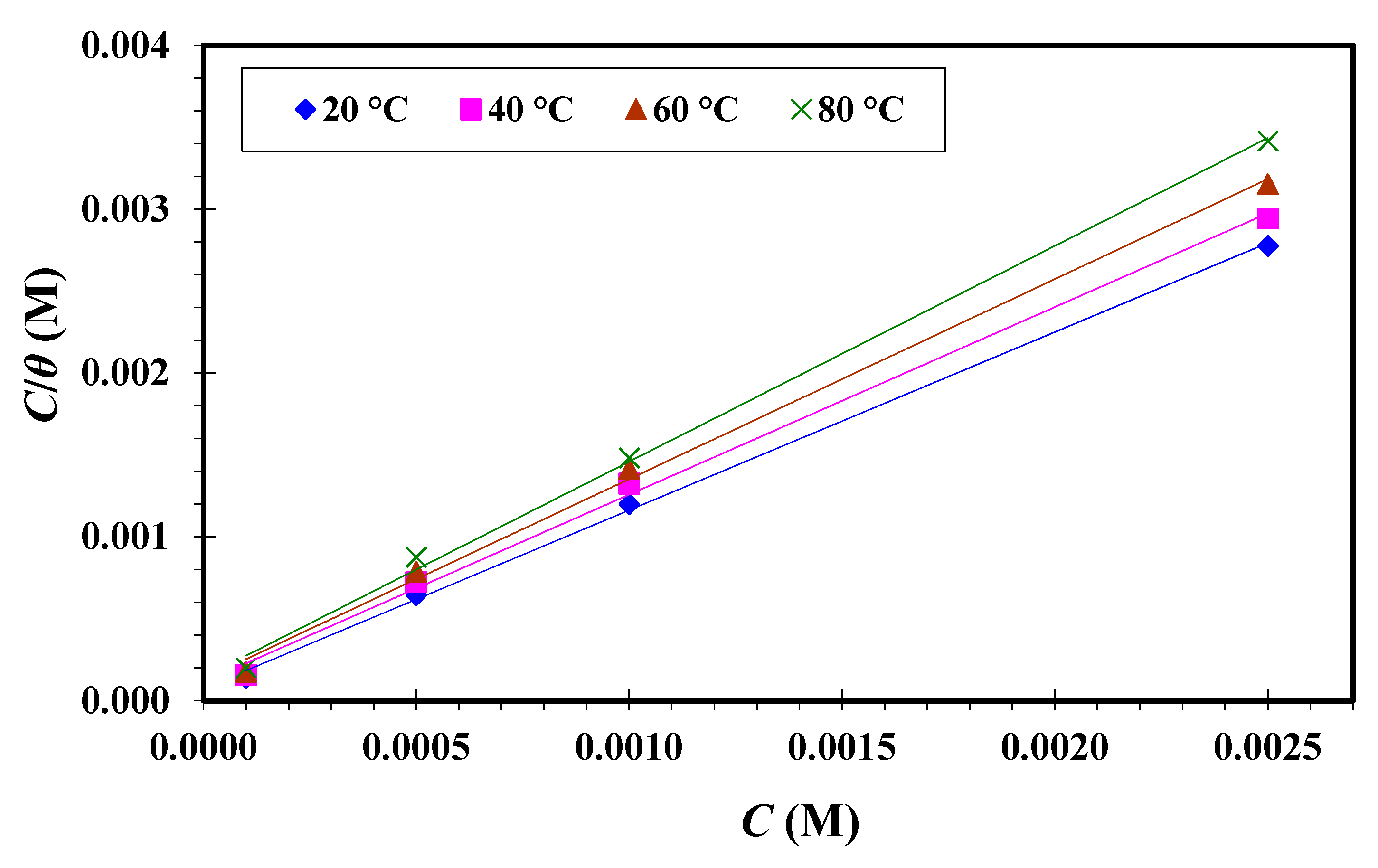
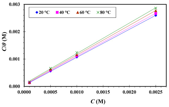
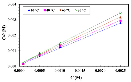
3.5. Standard Adsorption Thermodynamic
3.6. Activation Energy (Ea)
3.7. Surface Active Properties
3.7.1. Critical Micelle Concentration and Effectiveness
3.7.2. Surface Excess and Minimum Surface Area
3.8. Comparison between the synthseized surfactants and other inhibitors reported in the literature (Correlation Structure and Efficiency-Surface Activity)
4. Conclusions
- Three new cationic gemini surfactants with ester spacer type of 2-2′-(ethane-1,2-diyl bis(oxy)) bis(N-(2-alkanamidoethyl)-N,N-dimethyl-2-oxoethan-1-aminium)) dichloride) (CGSES12, CGSES14, and CGSES16) based on N,N dimethyl fatty amido ethylamine were synthesized using a three-step reaction method, and were characterized by FT-IR, 1HNMR, 13CNMR spectroscopies.
- The inhibition performance of the three surfactants was studied by weight loss and electrochemical measurements.
- The results showed that CGSES12, CGSES14 and CGSES16 behaved as effective inhibitors and surface agents.
- The maximum efficiency was higher than 94% at 2.5 mM, and the inhibition order was CGSES16 > CGSES14 > CGSES12. This was due to the increment in hydrophobicity of the gemini surfactants.
- Their adsorption on the MS surface followed the Langmuir isotherm. CGSES12, CGSES14 and CGSES16 can be considered mixed type inhibitors.
- The presence of CGSES12, CGSES14 and CGSES16 increased the charge transfer resistance and decreased the corrosion rate. The adsorption focused on the heteroatoms and the surface properties of the cationic gemini surfactants.
- and increased, while and decreased with increasing the hydrophobic chain.
Supplementary Materials
Author Contributions
Funding
Conflicts of Interest
References
- Wang, F.E. Bonding Theory for Metals and Alloys, 2nd ed.; Elsevier: Amsterdam, The Netherlands, 2019; pp. 157–191. [Google Scholar]
- El-Tabei, A.S.; Hegazy, M.A. Synthesis and characterization of a novel nonionic gemini surfactant as corrosion inhibitor for MS in acidic solution. Chem. Eng. Commun. 2015, 7, 851–863. [Google Scholar] [CrossRef]
- Rbaa, M.; Lgaz, H.; Kacimi, Y.e.; Lakhrissi, B.; Bentiss, F.; Zarrouk, A. Synthesis, characterization and corrosion inhibition studies of novel 8-hydroxyquinoline derivatives on the acidic corrosion of mild steel: Experimental and computational studies. Mater. Discov. 2018, 12, 43–54. [Google Scholar] [CrossRef]
- Labena, A.; Hegazy, M.A.; Sami, R.M.; Hozzein, W.N. Multiple applications of a novel cationic gemini surfactant: Anti-microbial, anti-biofilm, biocide, salinity corrosion inhibitor, biofilm‘s dispersion (Part II). Molecules 2020, 25, 1348–1363. [Google Scholar] [CrossRef]
- Dehghani, A.; Bahlakeh, G.; Ramezanzadeh, B.; Ramezanzadeh, M. A combined experimental and theoretical study of green corrosion inhibition of mild steel in HCl solution by aqueous Citrullus lanatus fruit (CLF) extract. J. Mol. Liq. 2019, 279, 603–624. [Google Scholar] [CrossRef]
- Shaw, P.; Obot, I.B.; Yadav, M. Functionalized 2-hydrazinobenzothiazole with carbohydrates as a corrosion inhibitor: Electrochemical, XPS, DFT and Monte Carlo simulation studies. Mater. Chem. Front. 2019, 3, 931–940. [Google Scholar] [CrossRef]
- Hegazy, M.A.; El-Etre, A.Y.; Berry, K.M. Novel inhibitors for MS pipelines corrosion during acidizing of oil and gas wells. J. Basic Environ. Sci. 2014, 1, 174–189. [Google Scholar]
- Hegazy, M.A.; El-Etre, A.Y.; El-Shafaie, M.; Berry, K.M. Novel cationic surfactants for MS pipelines corrosion inhibition during acidization of oil and gas wells. J. Mol. Liq. 2016, 214, 347–356. [Google Scholar] [CrossRef]
- Crevolin, P.; Francis, R.; Garrity, K.; Hall, S.; Kinzie, R.; Kroon, D.; Lee, L.; Rampton, F.; Riddle, D.; Tanabe, H.; et al. International Measures of Prevention, Application and Economics of Corrosion Technologies tudy. In NACE-International-Report; NACE Internationa: Houston, TX, USA, 2016. [Google Scholar]
- El-Reedy, M.A. Offshore Structures: Design, Construction and Maintenance, 1st ed.; Gulf Professional Publishing: Houston, TX, USA, 2012. [Google Scholar]
- Khalaf, M.M.; Tantawy, A.H.; Soliman, K.A.; El-Lateef, H.M.A. Cationic gemini-surfactants based on waste cooking oil as new ‘green’ inhibitors for N80-steel corrosion in sulphuric acid: A combined empirical and theoretical approaches. J. Mol. Struct. 2020, 12035, 127442. [Google Scholar] [CrossRef]
- Abdallah, M.; Eltass, H.M.; Hegazy, M.A.; Ahmed, H. Adsorption and inhibition effect of novel cationic surfactant for pipelines MS in acidic solution. Prot. Met. Phys. Chem. Surf. 2016, 52, 721–730. [Google Scholar] [CrossRef]
- Shalabi, K.; Helmy, A.M.; El-Askalany, A.H.; Shahba, M.M. New pyridinium bromide mono-cationic surfactant as corrosion inhibitor for MS during chemical cleaning: Experimental and theoretical studies. J. Mol. Liq. 2019, 2931, 111480. [Google Scholar] [CrossRef]
- Shaban, S.M.; Aiad, I.; Moustafa, A.H.; Aljoboury, O.H. Aljoboury, Some alginates polymeric cationic surfactants; surface study and their evaluation as biocide and corrosion inhibitors. J. Mol. Liq. 2019, 273, 164–176. [Google Scholar] [CrossRef]
- Hegazy, M.A.; Abdallah, M.; Alfakeer, M.; Ahmed, H. Corrosion inhibition performance of a novel cationic surfactant for protection of MS pipeline in acidic media. Int. J. Electrochem. Sci. 2018, 13, 6824–6842. [Google Scholar] [CrossRef]
- Fouda, A.S.; Elmorsi, M.A.; Shaban, S.M.; Fayed, T.; Azazy, O. Evaluation of N-(3-(dimethyl hexadecyl ammonio)propyl) palmitamide bromide as cationic surfactant corrosion inhibitor for API N80 steel in acidic environment. Egypt. J. Pet. 2018, 27, 683–694. [Google Scholar] [CrossRef]
- Hegazy, M.A.; Rehim, S.S.A.e.; Badawi, A.M.; Ahmed, M.Y. Studying the corrosion inhibition of MS in hydrochloric acid solution by 1-dodecyl-methyl-1H-benzo[d][1,2,3]triazole-1-ium bromide. RSC Adv. 2015, 5, 49070–49079. [Google Scholar] [CrossRef]
- Negm, N.A.; Migahed, M.A.; Farag, R.K.; Fadda, A.A.; Awad, M.K.; Shaban, M.M. High performance corrosion inhibition of novel tricationic surfactants on MSin formation water: Electrochemical and computational evaluations. J. Mol. Liq. 2018, 262, 363–375. [Google Scholar] [CrossRef]
- Badr, E.E.; Kandeel, E.M.; El-Sadek, B.M. Novel gemini cationic surfactants based on N, N-dimethyl fatty hydrazide and 1,3-dibromopropane: Synthesis, evaluation of surface and antimicrobial properties. J Oleo Sci. 2010, 59, 647–652. [Google Scholar] [CrossRef][Green Version]
- Tawfik, S.M.; Abd-Elaal, A.A.; Shaban, S.M.; Roshdy, A.A. Surface, thermodynamic and biological activities of some synthesized Gemini quaternary ammonium salts based on polyethylene glycol. J. Ind. Eng. Chem. 2015, 30, 112–119. [Google Scholar] [CrossRef]
- Hegazy, M.A.; Atlam, F.M. Three novel bolaamphiphiles as corrosion inhibitors for MS in hydrochloric acid: Experimental and computational studies. J. Mol. Liq. 2016, 218, 649–662. [Google Scholar] [CrossRef]
- Ren, C.; Wang, F.; Zhang, Z.; Nie, H.; Li, N.; Cui, M. Synthesis surface activity and aggregation behavior of Gemini imidazolium surfactants 1,3-bis(3-alkylimidazolium-1-yl) propane bromide. Colloids Surf. A Physicochem. Eng. Asp. 2015, 467, 1–8. [Google Scholar] [CrossRef]
- El-Lateef, H.M.A.; Soliman, K.A.; Tantawy, A.H. Novel synthesized Schiff Base-based cationic gemini surfactants: Electrochemical investigation, theoretical modeling and applicability as biodegradable inhibitors for mild steel against acidic corrosion. J. Mol. Liq. 2017, 232, 478–498. [Google Scholar] [CrossRef]
- Hegazy, M.; Samy, R.; Labena, A.; Wadaan, M.A.; Hozzein, W.N. 4,4’-(((1E,5E)-pentane-1,5-diylidene)bis(azanylylidene))bis(1-dodecylpyridin-1-ium) bromide as a novel corrosion inhibitor in an acidic solution (Part I). Mater. Sci. Eng. C 2020, 110, 110673. [Google Scholar] [CrossRef] [PubMed]
- Sonntag, N.O. Reactions of fatty acid chlorides: II. Synthesis of monohydrazides or dihydrazides by acylation of hydrazine hydrate with saturated fatty acid chlorides. J. Am. Oil Chem. Soc. 1968, 45, 571–574. [Google Scholar] [CrossRef]
- Gao, Z.; Tai, S.; Zhang, Q.; Zhao, Y.; Lü, B.; Ge, Y.; Tang, X. Synthesis and surface activity of biquaternary ammonium salt Gemini surfactants with ester bond. Wuhan Univ. J. Nat. Sci. 2008, 13, 227–231. [Google Scholar] [CrossRef]
- Bhadani, A.; Endo, T.; Sakai, K.; Sakai, H.; Abe, M. Synthesis and dilute aqueous solution properties of ester functionalized cationic Gemini surfactants having different ethylene oxide units as spacer. Colloid Polym. Sci. 2014, 292, 1685–1692. [Google Scholar] [CrossRef]
- Labena, A.; Hegazy, M.A.; Horn, H.; Müller, E. Cationic gemini surfactant as a corrosion inhibitor and a biocide for high salinity sulfidogenic bacteria originating from an oil-field water tank. J. Surfactants Deterg. 2014, 17, 419–431. [Google Scholar] [CrossRef]
- Zhao, Y.; Yue, X.; Wang, X.; Huang, D.; Chen, X. Micelle formation by N-alkyl-N-methylpiperidinium bromide ionic liquids in aqueous solution. Colloids Surf. A Physicochem. Eng. Asp. 2012, 412, 90–95. [Google Scholar] [CrossRef]
- Azzam, E.M.S.; Hegazy, M.A.; Kandil, N.G.; Badawi, A.M.; Sami, R.M. The performance of hydrophobic and hydrophilic moieties in synthesized thiol cationic surfactants on corrosion inhibition of MS in HCl. Egypt. J. Pet. 2015, 24, 493–503. [Google Scholar] [CrossRef]
- Hegazy, M.A.; Badawi, A.M.; Rehim, S.S.A.e.; Kamel, W.M. Influence of copper nanoparticles capped by cationic surfactant as modifier for steel anti-corrosion paints. Egypt. J. Pet. 2013, 22, 549–556. [Google Scholar] [CrossRef]
- Han, P.; Li, W.; Tian, H.; Gao, X.; Ding, R.; Xiong, C.; Song, L.; Zhang, X.; Wang, W.; Chen, C. Comparison of inhibition performance of pyridine derivatives containing hydroxyl and sulfhydryl groups: Experimental and theoretical calculations Influence of copper nanoparticles capped by cationic surfactant as modifier for steel anti-corrosion paints. Mater. Chem. Phys. 2018, 214, 345–354. [Google Scholar] [CrossRef]
- Hegazy, M.A.; Azzam, E.M.S.; Kandil, N.G.; Badawi, A.M.; Sami, R.M. Corrosion inhibition of MS pipelines by some new amphoteric and di-cationic surfactants in acidic solution by chemical and electrochemical methods Influence of copper nanoparticles capped by cationic surfactant as modifier for steel anti-corrosion paints. J. Surfactants Deterg. 2016, 19, 861–871. [Google Scholar] [CrossRef]
- Aslam, R.; Mobin, M.; Aslam, J.; Lgaz, H.; Chung, I.-M. Inhibitory effect of sodium carboxymethylcellulose and synergistic biodegradable gemini surfactants as effective inhibitors for MS corrosion in 1 M HCl. J. Mater. Res. Technol. 2019, 8, 4521–4533. [Google Scholar] [CrossRef]
- Kaczerewska, O.; Leiva-Garcia, R.; Akid, R.; Brycki, B.; Pospieszny, T. Effectiveness of O-bridged cationic gemini surfactants as corrosion inhibitors for stainless steel in 3 M HCl: Experimental and theoretical studies. J. Mol. Liq. 2018, 249, 1113–1124. [Google Scholar] [CrossRef]
- El-Tabei, A.S.; Hegazy, M.A. Application of the synthesized novel 3,6,9,12,15,18,21-heptaoxatricosane-1,23-diyl bis(4-((4-(dimethylamino)benzylidene)amino)benzoate) as a corrosion inhibitor for MS in acidic media. J. Dispers. Sci. Technol. 2014, 35, 1289–1299. [Google Scholar] [CrossRef]
- Kubo, J.; Tanaka, Y.; Page, C.L.; Page, M.M. Application of electrochemical organic corrosion inhibitor injection to a carbonated reinforced concrete railway viaduct. Constr. Build. Mater. 2013, 39, 2–8. [Google Scholar] [CrossRef]
- Han, P.; He, Y.; Chen, C.; Yu, H.; Liu, F.; Yang, H.; Ma, Y.; Zheng, Y. Study on synergistic mechanism of inhibitor mixture based on electron transfer behavior. Sci. Rep. 2016, 6, 33252. [Google Scholar] [CrossRef]
- Abdallah, M.; Hegazy, M.A.; Alfakeer, M.; Ahmed, H. Adsorption and inhibition performance of the novel cationic gemini surfactant as a safe corrosion inhibitor for MS in hydrochloric acid. Green Chem. Lett. Rev. 2018, 11, 457–468. [Google Scholar] [CrossRef]
- Chidiebere, M.A.; Oguzie, E.E.; Liu, L.; Li, Y.; Wang, F. Ascorbic acid as corrosion inhibitor for Q235 mild steel in acidic environments. J. Ind. Eng. Chem. 2015, 26, 182–192. [Google Scholar] [CrossRef]
- Liu, A.; Tian, H.; Li, W.; Wang, W.; Gao, X.; Han, P.; Ding, R. Delamination and selfassembly of layered double hydroxides for enhanced loading capacity and corrosion protection performance. Appl. Surf. Sci. 2018, 462, 175–186. [Google Scholar] [CrossRef]
- Hegazy, M.A.; El-Tabei, A.S.; Ahmed, H.M. Synthesis of nonionic surfactants and their inhibitive action on MS in hydrochloric acid. Corros. Sci. 2012, 64, 115–125. [Google Scholar] [CrossRef]
- Zeng, L.; Zhang, G.; Guo, X.; Chai, C. Inhibition effect of thioureidoimidazoline inhibitor for the flow accelerated corrosion of an elbow. Corros. Sci. 2015, 90, 202–215. [Google Scholar] [CrossRef]
- Umoren, S.; Obot, I.; Ebenso, E. Corrosion inhibition of aluminium using exudate gum from Pachylobus edulis in the presence of halide ions in HCl. J. Chem. 2008, 5, 355–364. [Google Scholar]
- Gong, W.; Yin, X.; Liu, Y.; Chen, Y.; Yang, W. 2-Amino-4-(4-methoxyphenyl)-thiazole as a novel corrosion inhibitor for mild steel in acidic medium. Prog. Org. Coat. 2019, 126, 150–161. [Google Scholar] [CrossRef]
- Hegazy, M.A.; El-Rehim, S.S.A.; Badr, E.A.; Kamel, W.M.; Youssif, A.H. Mono-, di- and tetra-cationic surfactants as MS corrosion inhibitors. J. Surfactants Deterg. 2015, 18, 1033–1042. [Google Scholar] [CrossRef]
- Jokar, M.; Farahani, T.S.; Ramezanzadeh, B. Electrochemical and surface characterizations of morus alba pendula leaves extract (MAPLE) as a green corrosion inhibitor for steel in 1M HCl. J. Taiwan Inst. Chem. Eng. 2016, 63, 436–452. [Google Scholar] [CrossRef]
- Odewunmi, N.; Umoren, S.; Gasem, Z. Watermelon waste products as green corrosion inhibitors for mild steel in HCl solution. J. Environ. Chem. Eng. 2015, 3, 286–296. [Google Scholar] [CrossRef]
- Joseph, O.; Fayomi, O.; Adenigba, O. Effect of lecaniodiscus cupaniodes extractin corrosion inhibition of normalized and annealed mild steels in 0.5 M HCl. Energy Procedia 2017, 119, 845–851. [Google Scholar] [CrossRef]
- Bedair, M.A.; Soliman, S.A.; Hegazy, M.A.; Obot, I.B.; Ahmed, A.S. Empirical and theoretical investigations on the corrosion inhibition characteristics of mild steel by three new Schiff base derivatives. J. Adhes. Sci. Technol. 2019, 33, 1139–1168. [Google Scholar] [CrossRef]
- Musa, A.Y.; Kadhum, A.H.; Mohamad, A.B.; Rohoma, A.B.; Mesmari, H. Electro-chemical and quantum chemical calculations on 4,4-dimethyloxazolidine-2-thione as inhibitor for mild steel corrosion in hydrochloric acid. J. Mol. Struct. 2010, 969, 233–237. [Google Scholar] [CrossRef]
- El-Lateef, H.M.A.; Abdallah, Z.A.; Ahmed, M.S.M. Solvent-free synthesis andcorrosion inhibition performance of Ethyl 2-(1,2,3,6-tetrahydro-6-oxo-2-thioxopyrimidin-4-yl)ethanoate on MS in pickling acids: Experi-mental, quantum chemical and Monte Carlo simulation studies. J. Mol. Liq. 2019, 296, 111800. [Google Scholar] [CrossRef]
- Peme, T.; Olasunkanmi, L.O.; Bahadur, I.; Adekunle, A.S.; Kabanda, M.M.; Ebenso, E.E. Adsorption and corrosion inhibition studies of some selected dyes as corrosion inhibitors for mild steel in acidic medium: Gravimetric, electrochemical, quantum chemical studies and synergistic effect with iodide ions. Molecules 2015, 20, 16004–16029. [Google Scholar] [CrossRef]
- Qiang, Y.; Zhang, S.; Tan, B.; Chen, S. Evaluation of Ginkgo leaf extract as an eco-friendly corrosion inhibitor of X70 steel in HCl solution. Corros. Sci. 2018, 133, 6–16. [Google Scholar] [CrossRef]
- Hegazy, M.A.; Aiad, I. 1-Dodecyl-4-(((3-morpholinopropyl)imino) methyl)pyridin-1-ium bromide as a novel corrosion inhibitor for MS during phosphoric acid production. J. Ind. Eng. Chem. 2015, 31, 91–99. [Google Scholar] [CrossRef]
- Qiang, Y.; Zhang, S.; Yan, S.; Zou, X.; Chen, S. Three indazole derivatives as corrosion inhibitors of copper in a neutral chloride solution. Corros. Sci. 2017, 126, 295–304. [Google Scholar] [CrossRef]
- Mishra, A.; Verma, C.; Lgaz, H.; Srivastava, V.; Quraishi, M.A.; Ebenso, E.E. Synthesis, characterization and corrosion inhibition studies of N-pheny-l-benzamides on the acidic corrosion of mild steel: Experimental and computational studies. J. Mol. Liq. 2018, 251, 317–332. [Google Scholar] [CrossRef]
- El-Din, M.R.N.; Al-Sabagh, A.M.; Hegazy, M.A. Study of the inhibition efficiency for some novel surfactants on the MS (Type H-11) pipelines in 0.5 M HCl solution by potentiodynamic technique. J. Disper. Sci. Technol. 2012, 33, 1444–1451. [Google Scholar] [CrossRef]
- Kumar, R.; Chahal, S.; Kumar, S.; Lata, S.; Lgaz, H.; Salghi, R.; Jodeh, S. Corrosion inhibition performance of chromone-3-acrylic acid derivatives for low alloy steel with theoretical modeling and experimental aspects. J. Mol. Liq. 2017, 243, 439–450. [Google Scholar] [CrossRef]
- Khadom, A.A.; Abd, A.N.; Ahmed, N.A. Xanthium strumarium leaves extracts as a friendly corrosion inhibitor of low MS in hydrochloric acid: Kinetics and mathematical studies. S. Afr. J. Chem. Eng. 2018, 25, 13–21. [Google Scholar]
- Labena, A.; Hegazy, M.A.; Horn, H.; Müller, E. Sulfidogenic-corrosion inhibitory effect of cationic monomeric and gemini surfactants: Planktonic and sessile diversity. RSC Adv. 2016, 6, 42263–42278. [Google Scholar] [CrossRef]
- Li, H.; Yu, C.; Chen, R.; Li, J.; Li, J. Novel ionic liquid-type Gemini surfactants: Synthesis, surface property and antimicrobial activity. Colloids Surf. A Physicochem. Eng. Asp. 2012, 395, 116–124. [Google Scholar] [CrossRef]
- Labena, A.; Hegazy, M.A.; Horn, H.; Müller, E. The biocidal effect of a novel synthesized gemini surfactant on environmental sulfidogenic bacteria: Planktonic cells and biofilms. Mater. Sci. Eng. C 2015, 47, 367–375. [Google Scholar] [CrossRef]
- Pillai, P.; Pal, N.; Mandal, A. Synthesis, characterization, surface properties and mi-cellization behaviour of imidazolium-based ionic liquids. J. Surfactants Deterg. 2017, 20, 1321–1335. [Google Scholar] [CrossRef]
- El-Tabei, A.S.; Hegazy, M.A.; Bedair, A.H.; Sadeq, M.A. Synthesis and inhibition effect of a novel Tri-cationic surfactant on MS corrosion in 0.5 M H2SO4 solution. J. Surfactants Deterg. 2014, 17, 341–352. [Google Scholar] [CrossRef]
- Labena, A.; Hegazy, M.A.; Kamel, W.M.; Elkelish, A.; Hozzein, W.N. Enhancement of a cationic surfactant by capping nanoparticles: Synthesis, characterization and multiple applications. Molecules 2020, 25, 2007–2025. [Google Scholar] [CrossRef] [PubMed]
- Kamboj, R.; Singh, S.; Chauhan, V. Synthesis, characterization and surface properties of N-(2-hydroxyalkyl)-N′-(2-hydroxyethyl)imidazolium surfactants. Colloids Surf. A Physicochem. Eng. Asp. 2014, 441, 233–241. [Google Scholar] [CrossRef]
- Shaban, S.M.; Saied, A.; Tawfik, S.M.; Abd-Elaal, A.; Aiad, I. Corrosion inhibition and Biocidal effect of some cationic surfactants based on Schiff base. J. Ind. Eng. Chem. 2013, 19, 2004–2009. [Google Scholar] [CrossRef]
- Badr, E.A. Inhibition effect of prepared cationic surfactant on the corrosion of carbon steel in 1 M HCl. J. Ind. Eng. Chem. 2014, 20, 3361–3366. [Google Scholar] [CrossRef]
- Aiad, I.; El-Sukkary, M.M.; Soliman, E.A.; El-Awady, M.Y.; Shaban, S.M. Inhibition of mild steel corrosion in acidic medium by some cationic surfactants. J. Ind. Eng. Chem. 2014, 20, 3524–3535. [Google Scholar] [CrossRef]

























| Cationic Gemini Surfactants | FT-IR Data (cm−1) | ||||
|---|---|---|---|---|---|
| (ν N–H) | ν C-H Asym. | ν C-H Sym | ν C=O Ester | ν C=O Amide | |
| CGSES12 | 3329 | 2925 | 2842 | 1740 | 1641 |
| CGESE14 | 3324 | 2919 | 2842 | 1747 | 1641 |
| CGSES16 | 3352 | 2911 | 2850 | 1755 | 1648 |
| Cationic Gemini Surfactants | Proton NMR (δ in ppm, 850 MHz, CDCl3) | |||||||||
|---|---|---|---|---|---|---|---|---|---|---|
| Tail | Amide | Amido-Amine | Spacer | |||||||
| CH3 (a) | CH2 (b) | CH2 (c) | CH2 (d) | NH (e) | CH2 (f) | CH2 (g) | CH3 (h) | CH2 (i) | CH2 (j) | |
| CGSES12 | 0.83 | 1.16 | 1.51 | 2.16 | 8.42 | 3.89 | 3.74 | 3.51 | 4.45 | 5.03 |
| CGESE14 | 0.86 | 1.20 | 1.55 | 2.19 | 8.45 | 3.92 | 3.72 | 3.57 | 4.49 | 5.01 |
| CGSES16 | 0.86 | 1.23 | 1.58 | 2.28 | 8.48 | 3.67 | 3.57 | 3.53 | 4.48 | 5.08 |
| Cationic Gemini Surfactants | Base Peak | Proposed Structure |
|---|---|---|
| CGSES12 | 502.45 | ![]() |
| CGSES14 | 470.48 | ![]() |
| CGSES16 | 57.07 | ![]() |
| Inhibitor Name | Conc. of Inhibitor(M) | Ecorr (mV vs. SCE) | icorr (mA cm−2) | βa (mV dec−1) | βc (mV dec−1) | IE (%) |
|---|---|---|---|---|---|---|
| - | 0.00 | −508.4 | 0.4134 | 135.8 | −162.5 | — |
| CGSES12 | 1.0 × 10−4 | −510.9 | 0.1041 | 160.0 | −181.3 | 74.82 |
| 5.0 × 10−4 | −513.5 | 0.0665 | 162.5 | −183.3 | 83.91 | |
| 1.0 × 10−3 | −514.8 | 0.0481 | 125.4 | −147.1 | 88.36 | |
| 2.5 × 10−3 | −516.1 | 0.0325 | 165.9 | −187.3 | 92.14 | |
| CGSES14 | 1.0 × 10−4 | −509.8 | 0.0877 | 114.6 | −192.9 | 78.79 |
| 5.0 × 10−4 | −510.5 | 0.0467 | 161.8 | −174.6 | 88.70 | |
| 1.0 × 10−3 | −508.3 | 0.0281 | 163.4 | −177.1 | 93.20 | |
| 2.5 × 10−3 | −513.2 | 0.0175 | 182.5 | −178.3 | 95.77 | |
| CGSES16 | 1.0 × 10−4 | −507.8 | 0.0677 | 171.7 | −157.8 | 83.62 |
| 5.0 × 10−4 | −509.5 | 0.0356 | 155.9 | −190.1 | 91.39 | |
| 1.0 × 10−3 | −517.8 | 0.0196 | 184.2 | −182.0 | 95.26 | |
| 2.5 × 10−3 | −513.8 | 0.0149 | 185.5 | −195.3 | 96.40 |
| Inhibitor Name | Conc. of Inhibitor (M) | Rs (Ω cm2) | Qdl (mΩ−1 sn cm−2) | n | Rct (Ω cm2) | Chsq | Cdl (μF cm−2) | IE (%) |
|---|---|---|---|---|---|---|---|---|
| - | 0.00 | 1.80 | 0.7691 | 0.83 | 24.73 | 0.00506 | 97.8 | - |
| CGSES12 | 1.0 × 10−4 | 2.39 | 0.2192 | 0.82 | 96.45 | 0.00427 | 28.3 | 74.36 |
| 5.0 × 10−4 | 1.75 | 0.1385 | 0.82 | 152.8 | 0.00654 | 18.6 | 83.82 | |
| 1.0 × 10−3 | 1.78 | 0.1097 | 0.92 | 199.6 | 0.00665 | 14.3 | 87.61 | |
| 2.5 × 10−3 | 1.92 | 0.0674 | 0.79 | 362.8 | 0.00848 | 8.1 | 93.18 | |
| CGSES14 | 1.0 × 10−4 | 1.50 | 0.1848 | 0.75 | 120.7 | 0.00426 | 24.5 | 79.51 |
| 5.0 × 10−4 | 1.30 | 0.1032 | 0.87 | 211.0 | 0.00764 | 13.8 | 88.28 | |
| 1.0 × 10−3 | 1.33 | 0.0637 | 0.83 | 349.8 | 0.00893 | 9.3 | 92.93 | |
| 2.5 × 10−3 | 1.64 | 0.0364 | 0.77 | 573.5 | 0.00281 | 5.1 | 95.69 | |
| CGSES16 | 1.0 × 10−4 | 1.44 | 0.1377 | 0.75 | 162.4 | 0.00785 | 17.8 | 84.77 |
| 5.0 × 10−4 | 1.93 | 0.0792 | 0.74 | 280.5 | 0.00704 | 9.9 | 91.18 | |
| 1.0 × 10−3 | 1.79 | 0.0411 | 0.96 | 502.9 | 0.00237 | 5.7 | 95.08 | |
| 2.5 × 10−3 | 1.66 | 0.0327 | 0.88 | 671.1 | 0.00193 | 4.2 | 96.32 |
| Inhibitor Name | Inhibitor conc. (M) | 20 °C | 40 °C | 60 °C | 80 °C | ||||||||
|---|---|---|---|---|---|---|---|---|---|---|---|---|---|
| k (mg cm−2 h−1) | Ө | IE (%) | k (mg cm−2 h−1) | Ө | IE (%) | k (mg cm−2 h−1) | Ө | IE (%) | k (mg cm−2 h−1) | Ө | IE (%) | ||
| Absence | 1 M HCl | 0.3954 | — | — | 1.0712 | — | — | 2.5040 | — | — | 5.1868 | — | — |
| CGSES12 | 1.0 × 10 −4 | 0.0960 | 0.76 | 75.73 | 0.3318 | 0.69 | 69.03 | 0.9095 | 0.64 | 63.68 | 2.4744 | 0.52 | 52.29 |
| 5.0 × 10 −4 | 0.0643 | 0.84 | 83.73 | 0.2269 | 0.79 | 78.81 | 0.7539 | 0.70 | 69.89 | 1.8189 | 0.65 | 64.93 | |
| 1.0 × 10 −3 | 0.0469 | 0.88 | 88.14 | 0.1418 | 0.87 | 86.76 | 0.5465 | 0.78 | 78.17 | 1.3691 | 0.74 | 73.60 | |
| 2.5 × 10 −3 | 0.0240 | 0.94 | 93.93 | 0.0983 | 0.91 | 90.82 | 0.3709 | 0.85 | 85.19 | 0.9605 | 0.81 | 81.48 | |
| CGSES14 | 1.0 × 10 −4 | 0.0825 | 0.79 | 79.14 | 0.8164 | 0.67 | 67.40 | 0.8164 | 0.67 | 67.40 | 2.0565 | 0.60 | 60.35 |
| 5.0 × 10 −4 | 0.0429 | 0.89 | 89.14 | 0.2806 | 0.74 | 73.81 | 0.4985 | 0.80 | 80.09 | 1.2630 | 0.76 | 75.65 | |
| 1.0 × 10 −3 | 0.0266 | 0.93 | 93.27 | 0.1606 | 0.85 | 85.01 | 0.3392 | 0.86 | 86.45 | 0.9983 | 0.81 | 80.75 | |
| 2.5 × 10 −3 | 0.0144 | 0.96 | 96.36 | 0.1053 | 0.90 | 90.17 | 0.2444 | 0.90 | 90.24 | 0.6530 | 0.87 | 87.41 | |
| CGSES16 | 1.0 × 10 −4 | 0.0597 | 0.85 | 84.90 | 0.2398 | 0.78 | 77.62 | 0.7063 | 0.72 | 71.79 | 2.0154 | 0.64 | 64.38 |
| 5.0 × 10 −4 | 0.0314 | 0.92 | 92.05 | 0.1327 | 0.88 | 87.61 | 0.4231 | 0.83 | 83.10 | 1.2015 | 0.79 | 78.77 | |
| 1.0 × 10 −3 | 0.0186 | 0.95 | 95.29 | 0.0874 | 0.92 | 91.84 | 0.3054 | 0.88 | 87.80 | 0.9931 | 0.82 | 82.45 | |
| 2.5 × 10 −3 | 0.0100 | 0.97 | 97.46 | 0.0591 | 0.94 | 94.48 | 0.2133 | 0.91 | 91.48 | 0.6388 | 0.89 | 88.71 | |
| Inhibitor | Temperature (°C) | Kads (M−1) | ΔG°ads (kJ mol−1) | ΔH°ads (kJ mol−1) | ΔS°ads (J mol−1 K−1) |
|---|---|---|---|---|---|
| CGSES12 | 20 | 17,097 | −33.53 | −12.50 | 71.77 |
| 40 | 15,022 | −35.48 | 73.42 | ||
| 60 | 9858 | −36.58 | 72.31 | ||
| 80 | 7398 | −37.93 | 72.05 | ||
| CGSES14 | 20 | 26,074 | −34.55 | −11.70 | 78.02 |
| 40 | 20,439 | −36.28 | 78.55 | ||
| 60 | 16,225 | −37.96 | 78.87 | ||
| 80 | 11,295 | −39.18 | 77.85 | ||
| CGSES16 | 20 | 37,549 | −35.44 | −14.49 | 71.51 |
| 40 | 26,806 | −36.99 | 71.87 | ||
| 60 | 19,746 | −38.50 | 72.11 | ||
| 80 | 13,460 | −39.69 | 71.39 |
| Conc. of Inhibitor (M) | Ea (kJ mol−1) | ||
|---|---|---|---|
| CGSES12 | CGSES14 | CGSES16 | |
| 1 M HCl | 36.91 | 36.91 | 36.91 |
| 1.0 × 10−4 | 46.28 | 46.13 | 50.11 |
| 5.0 × 10−4 | 48.36 | 48.59 | 52.07 |
| 1.0 × 10−3 | 49.31 | 51.82 | 56.74 |
| 2.5 × 10−3 | 53.41 | 54.95 | 59.32 |
| Inhibitor name | Ccmc x 103 (M) | γcmc (mN m−1) | πcmc (mN m−1) | Γmax × 1011 (mol cm−2) | Amin (nm2) |
|---|---|---|---|---|---|
| CGSES12 | 2.60 | 27.0 | 45.0 | 5.82 | 2.85 |
| CGSES14 | 1.70 | 26.2 | 45.8 | 5.92 | 2.81 |
| CGSES16 | 1.10 | 25.4 | 46.6 | 6.01 | 2.76 |
| Inhibitor Name | IE (%) | Reference |
|---|---|---|
| (E)-decyl-4-[(2-hydroxyethylamino) methyl]-N,N dimethyl benzenaminium bromide | 90.26 | [68] |
| (E)-dodecyl-4-[(2-hydro-xyethylamino)methyl]-N,N dimethyl benzenaminium bromide | 90.95 | [68] |
| (E)-hexadecyl4-[(2-hydro-xyethylamino)methyl]-N,N-dimethyl benzenaminium bromide | 93.12 | [68] |
| N,N-bis(2-hydroxyethyl)-N-octylbenzo[d]thiazol 2-amonium bromide | 87.26 | [69] |
| N,N-bis(2-hydroxyethyl)-N-decylbenzo[d]thiazol 2-amonium bromide | 91.46 | [69] |
| N,N-bis(2-hydroxyethyl)-Ndodecylbenzo[d] thiazol-2 -amonium bromide | 94.35 | [69] |
| N-(3-(benzylideneamino)propyl)-N,N-dimethyldecan-1-ammonium bromide | 82.93 | [70] |
| N-(3-(benzylideneamino)propyl)-N,N-dimethyldodecan-1-ammonium bromide | 87.45 | [70] |
| N-(3-(benzylideneamino)propyl)-N,N-dimethylhexadecan-1-ammonium bromide | 88.02 | [70] |
| 2-2′-(Ethane-1,2-diyl bis(oxy)) bis(N-(2-dodecanamidoethyl)-N,N-dimethyl-2-oxoethan-1-aminium)) dichloride (CGSES12) | 93.93 | This work |
| 2-2′-(Ethane-1,2-diyl bis(oxy)) bis(N-(2-tetradecanamidoethyl)-N,N-dimethyl-2-oxoethan-1-aminium)) dichloride (CGSES14) | 96.36 | This work |
| 2-2′-(Ethane-1,2-diyl bis(oxy)) bis(N-(2-hexadecanamidoethyl)-N,N-dimethyl-2-oxoethan-1-aminium)) dichloride (CGSES16) | 97.46 | This work |
© 2020 by the authors. Licensee MDPI, Basel, Switzerland. This article is an open access article distributed under the terms and conditions of the Creative Commons Attribution (CC BY) license (http://creativecommons.org/licenses/by/4.0/).
Share and Cite
Bin-Hudayb, N.S.; Badr, E.E.; Hegazy, M.A. Adsorption and Corrosion Performance of New Cationic Gemini Surfactants Derivatives of Fatty Amido Ethyl Aminium Chloride with Ester Spacer for Mild Steel in Acidic Solutions. Materials 2020, 13, 2790. https://doi.org/10.3390/ma13122790
Bin-Hudayb NS, Badr EE, Hegazy MA. Adsorption and Corrosion Performance of New Cationic Gemini Surfactants Derivatives of Fatty Amido Ethyl Aminium Chloride with Ester Spacer for Mild Steel in Acidic Solutions. Materials. 2020; 13(12):2790. https://doi.org/10.3390/ma13122790
Chicago/Turabian StyleBin-Hudayb, Nashwa S., Entsar E. Badr, and M.A. Hegazy. 2020. "Adsorption and Corrosion Performance of New Cationic Gemini Surfactants Derivatives of Fatty Amido Ethyl Aminium Chloride with Ester Spacer for Mild Steel in Acidic Solutions" Materials 13, no. 12: 2790. https://doi.org/10.3390/ma13122790
APA StyleBin-Hudayb, N. S., Badr, E. E., & Hegazy, M. A. (2020). Adsorption and Corrosion Performance of New Cationic Gemini Surfactants Derivatives of Fatty Amido Ethyl Aminium Chloride with Ester Spacer for Mild Steel in Acidic Solutions. Materials, 13(12), 2790. https://doi.org/10.3390/ma13122790




