Preparation of FeOOH/Cu with High Catalytic Activity for Degradation of Organic Dyes
Abstract
:1. Introduction
2. Experimental
2.1. Preparation and Characterization
2.2. Microwave Catalytic Processes
3. Results and Discussion
3.1. Analysis of Progress
3.2. Analysis of Morphology
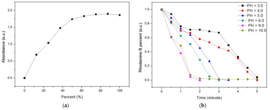
3.3. Analysis of Catalytic Performance
4. Conclusions
Author Contributions
Funding
Conflicts of Interest
References
- Mielgo, I.; Lópe, C.; Moreira, M.T. Oxidative degradation of azo dyes by manganese peroxidase under optimized conditions. Biotechnol. Prog. 2003, 19, 325–331. [Google Scholar] [CrossRef] [PubMed]
- Zhu, G.; Hojamberdiev, M.; Katsumata, K. Heterostructured Fe3O4/Bi2O2CO3 photocatalyst: Synthesis, characterization and application in recyclable photodegradation of organic dyes under visible light irradiation. Mater. Chem. Phys. 2013, 142, 95–105. [Google Scholar] [CrossRef]
- Zhou, M.; Li, W.; Du, Y.; Kong, D.; Wang, Z.; Meng, Y.; Sun, X.; Yan, T.; Kong, D.; You, J. Hydrothermal synthesis of bismuth ferrite Fenton-like catalysts and their properties. J. Nanopart. Res. 2016, 18, 346. [Google Scholar] [CrossRef]
- Nguyen, D.C.T.; Oh, W.C. Ternary self-assembly method of mesoporous silica and Cu2O combined graphene composite by nonionic surfactant and photocatalytic degradation of cationic-anionic dye pollutants. Sep. Purif. Technol. 2018, 190, 77–89. [Google Scholar] [CrossRef]
- Ramesh, M.; Nagaraja, H.S.; Rao, M.P.; Anandan, S.; Huang, N.M. Fabrication, characterization and catalytic activity of α-MnO 2, nanowires for dye degradation of reactive black 5. Mater. Lett. 2016, 172, 85–89. [Google Scholar] [CrossRef]
- Tian, F.; Wu, Z.; Chen, Q. Microwave-induced crystallization of AC/TiO2, for improving the performance of rhodamine B dye degradation. Appl. Surf. Sci. 2015, 351, 104–112. [Google Scholar] [CrossRef]
- Wang, B.; Wu, H.; Yu, L. Template-free Formation of Uniform Urchin-like α-FeOOH Hollow Spheres with Superior Capability for Water Treatment. Adv. Mater. 2012, 24, 1111–1116. [Google Scholar] [CrossRef]
- Zhou, X.; Yang, H.; Wang, C. Visible Light Induced Photocatalytic Degradation of Rhodamine B on One-Dimensional Iron Oxide Particles. J. Phys. Chem. C 2010, 114, 17051–17061. [Google Scholar] [CrossRef]
- Wang, Y.; Ma, J.; Chen, K. Adsorptive removal of Cr(vi) from wastewater by β-FeOOH hierarchical structure: kinetics, equilibrium and thermodynamics. Phys. Chem. Chem Phys. 2013, 15, 19415–19421. [Google Scholar] [CrossRef]
- Krýsa, J.; Jirkovský, J.; Bajt, O. Competitive adsorption and photodegradation of salicylate and oxalate on goethite. Catal. Today 2011, 161, 221–227. [Google Scholar] [CrossRef]
- Zhang, Y.; Wu, Y.; Qin, Q.; Wang, F.; Chen, D. A study of the mechanism of microwave-assisted ball milling preparing ZnFe2O4. J. Magn. Magn. Mat. 2016, 409, 6–9. [Google Scholar] [CrossRef]
- Xiong, Z.B.; Liu, J.; Zhou, F.; Liu, D.Y.; Lu, W.; Jin, J.; Ding, S.F. Selective catalytic reduction of NOx with NH 3 over iron-cerium-tungsten mixed oxide catalyst prepared by different methods. Appl. Surf. Sci. 2017, 406, 218–225. [Google Scholar] [CrossRef]
- Zhang, Y.; Kang, Z.; Chen, D. Synthesis and microwave absorbing properties of Mn–Zn nanoferrite produced by microwave assisted ball milling. J. Mat. Sci. Mat. Electron. 2014, 25, 4246–4251. [Google Scholar] [CrossRef]
- Mohamed, B.A.; Ellis, N.; Kim, C.S.; Bi, X.; Emam, A.E.-R. Engineered biochar from microwave-assisted catalytic pyrolysis of switchgrass for increasing water-holding capacity and fertility of sandy soil. Sci. Total Environ. 2016, 566, 387–397. [Google Scholar] [CrossRef]
- Cai, M.Q.; Zhu, Y.Z.; Wei, Z.S. Rapid decolorization of dye Orange G by microwave enhanced Fenton-like reaction with delafossite-type CuFeO2. Sci. Total. Environ. 2017, 580, 966–973. [Google Scholar] [CrossRef] [PubMed]
- Chen, D.; Ai, S.; Liang, Z.; Wei, F. Preparation and photocatalytic properties of zinc oxide nanoparticles by microwave-assisted ball milling. Ceram. Int. 2016, 42, 3692–3696. [Google Scholar] [CrossRef]
- Liang, Z.; Yan, Q.; Chen, D. Degradation of p-Nitrophenol by Nanoscale Zero-Valent Iron Produced by Microwave-Assisted Ball Milling. J. Environ. Eng. 2018, 144, 04018003. [Google Scholar] [CrossRef]
- Koch, C.C. Synthesis of nanostructured materials by mechanical milling: problems and opportunities. Nanostruct. Mat. 1997, 9, 13–22. [Google Scholar] [CrossRef]
- Zhang, D.L. Processing of advanced materials using high-energy mechanical milling. Prog. Mat. Sci. 2004, 49, 537–560. [Google Scholar] [CrossRef]
- Liu, S.T.; Huang, J.; Ye, Y. Microwave enhanced Fenton process for the removal of methylene blue from aqueous solution. Chem. Eng. J. 2013, 215, 586–590. [Google Scholar] [CrossRef]
- Stuerga, D.A.C.; Gaillard, P. Microwave Athermal Effects in Chemistry: A Myth’s Autopsy: Part II: Orienting effects and thermodynamic consequences of electric field. J. Microw. Power Electromagn. Energy. 1996, 31, 101–113. [Google Scholar] [CrossRef]
- Chen, J.; Xue, S.; Song, Y.; Shen, M.; Zhang, Z.; Yuan, T.; Tian, F.; Dionysiou, D.D. Microwave-induced carbon nanotubes catalytic degradation of organic pollutants in aqueous solution. J. Hazard. Mat. 2016, 310, 226–234. [Google Scholar] [CrossRef] [PubMed]
- Pang, Y.; Kong, L.; Lei, H.; Chen, D.; Yuvaraja, G. Combined microwave-induced and photocatalytic oxidation using zinc ferrite catalyst for efficient degradation of tetracycline hydrochloride in aqueous solution. J. Taiwan Inst. Chem. Eng. 2018, 93, 397–404. [Google Scholar] [CrossRef]
- Liu, S.; Mei, L.; Liang, X.; Liao, L.; Lv, G.; Ma, S.; Lu, S.; Abdelkader, A.; Xi, K. Anchoring Fe3O4 nanoparticles on carbon nanotube for microwave-induced catalytic degradation of antibiotics. ACS Appl. Mat. Interfaces 2018, 10, 29467–29475. [Google Scholar] [CrossRef] [PubMed]
- Lei, Y.; Lin, X.; Liao, H. New insights on microwave induced rapid degradation of methyl orange based on the joint reaction with acceleration effect between electron hopping and Fe2+-H2O2 reaction of NiFeMnO4 nanocomposites. Sep. Purif. Technol. 2018, 192, 220–229. [Google Scholar] [CrossRef]
- DaSilva, A.C.; Almeida, M.R.; Rodriguez, M. Improved photocatalytic activity of δ-FeOOH by using H2O2 as an electron acceptor. J. Photoch. Photobiol. A Chem. 2017, 332, 54–59. [Google Scholar] [CrossRef]
- Lima, L.V.; Rodriguez, M.; Freitas, V.A.; Souza, T.E.; Machado, A.E.; Patrocini, A.O. Synergism between n-type WO3, and p-type δ-FeOOH semiconductors: High interfacial contacts and enhanced photocatalysis. Appl. Catal. B Environ. 2015, 165, 579–588. [Google Scholar] [CrossRef]
- Kang, S.; Wang, G.; Fang, M.; Wang, H.; Wang, X.; Cai, W. Water bath synthesis and enhanced photocatalytic performances of urchin-like micro/nanostructured β-FeOOH. J. Mater. Res. 2015, 30, 1629–1638. [Google Scholar] [CrossRef]
- Han, C.; Xie, C.; Wang, R.; Deng, C.; Zhao, P. Glucose assisted synthesis of the BiOCl/β-FeOOH composite with enhanced photocatalytic performance. Mater. Lett. 2016, 181, 16–20. [Google Scholar] [CrossRef]





| Synthesis Technology | Catalyst | Rhodamine B Degradation Rate | Time (min) | References |
|---|---|---|---|---|
| Co-precipitation | FeOOH | 87% | 60 | [26] |
| Hydrothermal | FeOOH/WO3·H2O | 12% | 210 | [27] |
| Low-temperature water bath | FeOOH | 100% | 60 | [28] |
| Assembly method | FeOOH | 100% | 70 | [8] |
| Glucose assisted hydrothermal | BiOCl/β-FeOOH | 100% | 60 | [29] |
| HEABM | FeOOH/Cu | About 100% | 3 | Present study (in microwave field) |
| HEABM | FeOOH/Cu | Almost 95% | 30 | Present study (in hot water) |
© 2019 by the authors. Licensee MDPI, Basel, Switzerland. This article is an open access article distributed under the terms and conditions of the Creative Commons Attribution (CC BY) license (http://creativecommons.org/licenses/by/4.0/).
Share and Cite
Zhang, Y.; Liu, J.; Chen, D.; Qin, Q.; Wu, Y.; Huang, F.; Li, W. Preparation of FeOOH/Cu with High Catalytic Activity for Degradation of Organic Dyes. Materials 2019, 12, 338. https://doi.org/10.3390/ma12030338
Zhang Y, Liu J, Chen D, Qin Q, Wu Y, Huang F, Li W. Preparation of FeOOH/Cu with High Catalytic Activity for Degradation of Organic Dyes. Materials. 2019; 12(3):338. https://doi.org/10.3390/ma12030338
Chicago/Turabian StyleZhang, Yingzhe, Junfeng Liu, Ding Chen, Qingdong Qin, Yujiao Wu, Fang Huang, and Wei Li. 2019. "Preparation of FeOOH/Cu with High Catalytic Activity for Degradation of Organic Dyes" Materials 12, no. 3: 338. https://doi.org/10.3390/ma12030338
APA StyleZhang, Y., Liu, J., Chen, D., Qin, Q., Wu, Y., Huang, F., & Li, W. (2019). Preparation of FeOOH/Cu with High Catalytic Activity for Degradation of Organic Dyes. Materials, 12(3), 338. https://doi.org/10.3390/ma12030338

