Nonlinear Stress-Strain Model for Confined Well Cement
Abstract
1. Introduction
2. Experimental Study
3. Stress–Strain Model of Confined Well Cement
3.1. Modeling the Ascending Segment
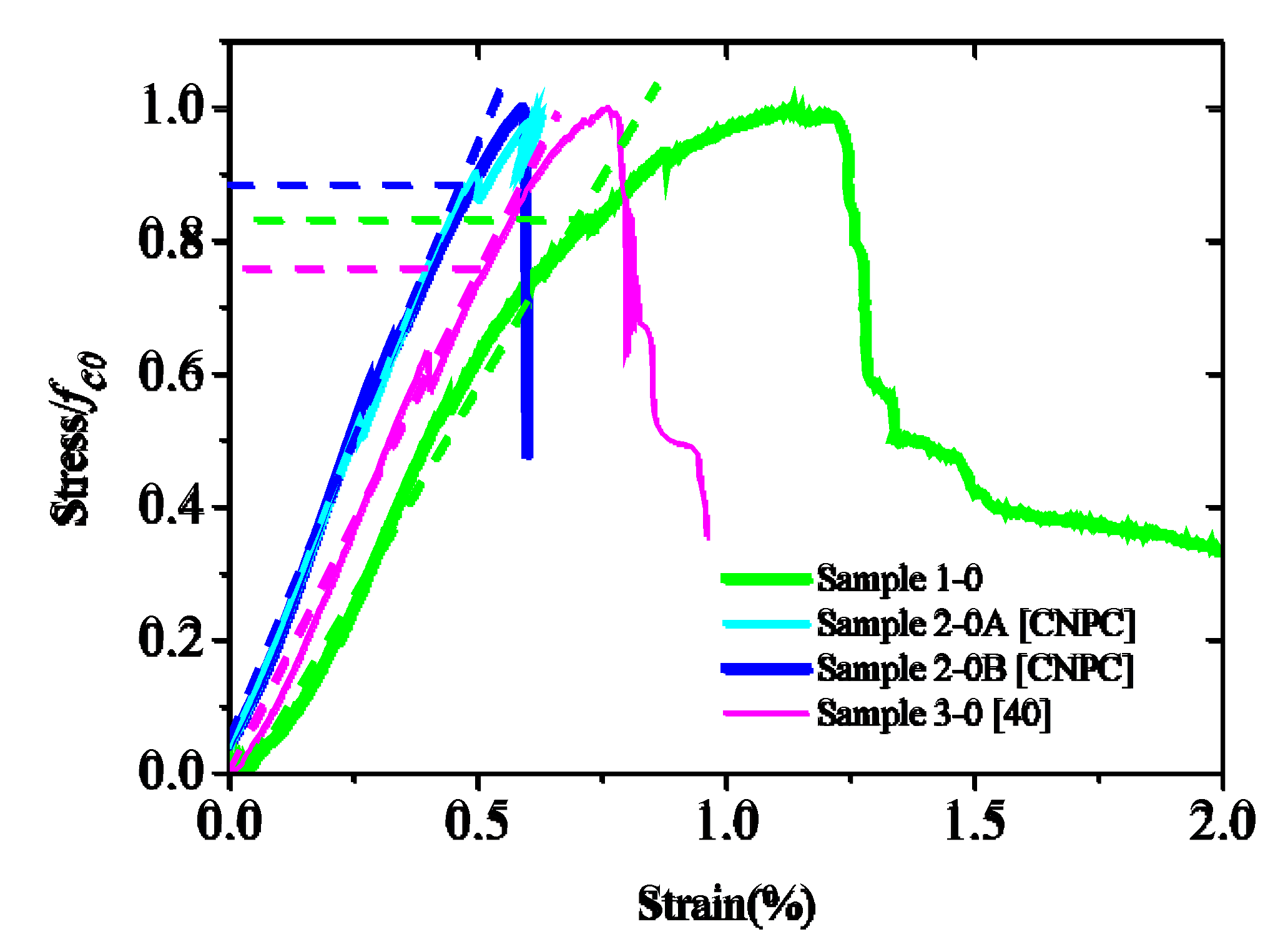
3.1.1. Determination of Elastic Modulus E and Stress at the Linear Limit σp0
3.1.2. Determination of the Ultimate Strength fc0 and the Corresponding Strain εc0
3.1.3. Determination of α1 and β1
3.2. Modeling Peak Stress Segment
3.3. Modeling Descending Segment
4. Results and Discussions
4.1. Model Evaluation
4.2. Effects of Model Parameters
4.2.1. Effects of Strength fc0
4.2.2. Effects of CZ
5. Conclusions
Author Contributions
Funding
Acknowledgments
Conflicts of Interest
References
- De Souza, W.R.M.; Bouaanani, N.; Martinelli, A.E.; Bezerra, U.T. Numerical simulation of the thermomechanical behavior of cement sheath in wells subjected to steam injection. J. Pet. Sci. Eng. 2018, 167, 664–673. [Google Scholar] [CrossRef]
- Gray, K.E.; Podnos, E.; Becker, E. Finite-element studies of near-wellbore region during cementing operations: Part I, SPE-106998. SPE Drill. Complet. 2009, 24, 127. [Google Scholar] [CrossRef]
- Wang, W.; Taleghani, A.D. Three-dimensional analysis of cement sheath integrity around Wellbores. J. Petrol. Sci. Eng. 2014, 121, 38–51. [Google Scholar] [CrossRef]
- Arjomand, E.; Bennett, T.; Nguyen, G.D. Evaluation of cement sheath integrity subject to enhanced pressure. J. Pet. Sci. Eng. 2018, 170, 1–13. [Google Scholar] [CrossRef]
- Andrade, J.; De Torsaeter, M.; Todorovic, J.; Opedal, N.; Stroisz, A.; Vralstad, T. Influence of Casing Centralization on Cement Sheath Integrity during Thermal Cycling. In Proceedings of the IADC/SPE Drilling Conference and Exhibition, Fort Worth, TX, USA, 4–6 March 2014. [Google Scholar]
- Thiercelin, M.; Baumgarte, C.; Guillot, D. A soil mechanics approach to predict cement sheath behavior. In Rock Mechanics in Petroleum Engineering; Society of Petroleum Engineers: Trondheim, Norway, 1998. [Google Scholar]
- Philippacopoulos, A.; Berndt, M. Mechanical property issues for geothermal well cements. Trans. Geoth. Resour. Counc. 2001, 25, 119–124. [Google Scholar]
- Lavrov, A.; Torsæter, M. Physics and Mechanics of Primary Well Cementing. 2016; 9–23. [Google Scholar]
- Noori, A.; Shekarchi, M.; Moradian, M.; Moosavi, M. Behavior of Steel Fiber-Reinforced Cementitious Mortar and High-Performance Concrete in Triaxial Loading. ACI Mater. J. 2015, 112, 95–104. [Google Scholar] [CrossRef]
- Folino, P.; Xargay, H. Recycled aggregate concrete–Mechanical behavior under uniaxial and triaxial compression. Constr. Build. Mater. 2014, 56, 21–31. [Google Scholar] [CrossRef]
- Yang, J.; Cai, X.; Guo, X.; Zhao, J. Effect of Cement Content on the Deformation Properties of Cemented Sand and Gravel Material. Appl. Sci. 2019, 9, 2369. [Google Scholar] [CrossRef]
- Lu, W.; Miao, L.; Zhang, J.; Zhang, Y.; Li, J. Characteristics of Deformation and Damping of Cement Treated and Expanded Polystyrene Mixed Lightweight Subgrade Fill under Cyclic Load. Appl. Sci. 2019, 9, 167. [Google Scholar] [CrossRef]
- Yuan, Z.; Teodoriu, C.; Schubert, J. Jerome Schubert. Low cycle cement fatigue experimental study and the effect on HPHT well integrity. J. Pet. Sci. Eng. 2013, 105, 84–90. [Google Scholar] [CrossRef]
- Li, M.; Yang, Y.; Liu, M.; Guo, X.; Zhou, S. Hybrid effect of calcium carbonate whisker and carbon fiber on the mechanical properties and microstructure of oil well cement. Constr. Build. Mater. 2015, 93, 995–1002. [Google Scholar] [CrossRef]
- Popovics, S. Numerical approach to the complete stress–strain relation for concrete. Cem. Concr. Res. 1973, 3, 583–599. [Google Scholar] [CrossRef]
- Mander, J.B.; Priestley, M.J.N.; Park, R. Theoretical Stress-Strain Model for Confined Concrete. J. Struct. Eng. 1988, 114, 1804–1826. [Google Scholar] [CrossRef]
- Saadatmanesh, H.; Ehsani, M.R.; Li, M.W. Strength and ductility of concrete columns externally reinforced with fiber composite straps. ACI Struct. J. 1994, 10, 434–447. [Google Scholar]
- Teng, J.G.; Hu, Y.M.; Yu, T. Stress-strain model for concrete in FRP-confined steel tubular columns. Eng. Struct. 2013, 49, 156–167. [Google Scholar] [CrossRef]
- Susantha, K.A.S.; Ge, H.; Usami, T. Uniaxial stress-strain relationship of concrete confined by various shipped steel tubes. Eng. Struct. 2001, 23, 1331–1347. [Google Scholar] [CrossRef]
- Noushini, A.; Aslani, F.; Castel, A.; Gilbert, R.I.; Uy, B.; Foster, S. Compressive stress-strain model for low-calcium fly ash-based geopolymer and heat-cured Portland cement concrete. Cem. Concr. Compos. 2016, 73, 136–146. [Google Scholar] [CrossRef]
- Haider, G.M.; Sanjayan, J.G.; Ranjith, P.G. Complete triaxial stress-strain curves for geopolymer. Constr. Build. Mater. 2014, 69, 196–202. [Google Scholar] [CrossRef]
- Ganesan, N.; Abraham, R.; Deepa Raj, S.; Sasi, D. Stress-strain behaviour of confined Geopolymer concrete. Constr. Build. Mater. 2014, 73, 326–331. [Google Scholar] [CrossRef]
- Diaz-Loya, E.I.; Allouche, E.N.; Vaidya, S. Mechanical properties of fly-ash-based geopolymer concrete. ACI Mater. J. 2011, 108, 300–306. [Google Scholar]
- Diaz-Loya, E.I.; Allouche, E.; Cahoy, D. Statistical-based approach for predicting the mechanical properties of geopolymer concretes. In Geopolymer Binder Systems; ASTM International: West Conshohocken, PA, USA, 2013; pp. 119–143. [Google Scholar]
- Sakino, K.; Nakahara, H.; Morino, S.; Nishiyama, I. Behavior of Centrally Loaded Concrete-Filled Steel-Tube Short Columns. J. Struct. Eng. 2004, 130, 180–188. [Google Scholar] [CrossRef]
- Mirmiran, A.; Shahawy, M. Dilation characteristics of confined concrete. Mech. Cohesive Frict. Mater. 1997, 2, 237–249. [Google Scholar] [CrossRef]
- Gao, Y.; Karbhari, V.M. Composite Jacketed Concrete under Uniaxial Compression—Verification of Simple Design Equations. J. Mater. Civ. Eng. 1997, 9, 185–193. [Google Scholar]
- Xiao, Y.; Wu, H. Compressive behavior of concrete confined by carbon fiber composite jackets. J. Mater. Civ. Eng. ASCE 2000, 12, 139–146. [Google Scholar] [CrossRef]
- Harries, K.A.; Kharel, G. Behavior and modeling of concrete subject to variable confining pressure. ACI Mater. J. 2002, 99, 180–189. [Google Scholar]
- Samaan, M.; Mirmiran, A. Model of concrete confined by fiber composites. J. Struct. Eng. 1998, 124, 1025–1031. [Google Scholar] [CrossRef]
- Lam, L.; Teng, J.G. Design-oriented stress-strain model for FRP confined concrete. Constr. Build. Mater. 2003, 17, 471–489. [Google Scholar] [CrossRef]
- Thai, H.T.; Uy, B.; Khan, M.; Tao, Z.; Mashiri, F. Numerical modelling of concrete-filled steel box columns incorporating high strength materials. J. Constr. Steel Res. 2014, 102, 256–265. [Google Scholar] [CrossRef]
- Lim, J.C.; Ozbakkaloglu, T. Stress–strain model for normal- and light-weight concretes under uniaxial and triaxial compression. Constr. Build. Mater. 2014, 71, 492–509. [Google Scholar] [CrossRef]
- Binici, B. An analytical model for stress–strain behavior of confined concrete. Eng. Struct. 2005, 27, 1040–1051. [Google Scholar] [CrossRef]
- Miyauchi, K.; Inoue, S.; Kuroda, T.; Kobayashi, A. Strengthening effects of concrete columns with carbon fiber sheet. Trans. Jpn. Concr. Inst. 1999, 21, 143–150. [Google Scholar]
- Hognestad, E. A Study of Combined Bending and Axial Load in Reinforced Concrete Members; Bulletin Series No. 399; University of Illinois at Urbana Champaign: Champaign, IL, USA, 1951. [Google Scholar]
- Sheikh, S.A.; Uzumeri, S.M. Analytical Model for Concrete Confinement in Tied Columns. ASCE J. Struct. Div. 1980, 108, 2703–2722. [Google Scholar]
- BS 8110. Structural Use of Concrete, Part 1, Code of Practice for Design and Construction; British Standards Institution: London, UK, 1997. [Google Scholar]
- EN 1992-1-1. Eurocode 2: Design of Concrete Structures-Part 1: General Rules and Rules for Buildings; European Committee for Standardization: Brussels, Belgium, 2004. [Google Scholar]
- Chang, P. Research on the Deformation Ability of Asphalt Base Cement. Master’s Dissertation, Southwest Petroleum University, Chengdu, China, 2015. [Google Scholar]
- API RP 10B-2. Recommended Practice for Testing Well Cements; American Petroleum Institute: Washington, DC, USA, 2013. [Google Scholar]
- Ulusay, R.; Hudson, J.A. The Complete ISRM Suggested Methods for Rock Characterization, Testing and Monitoring; Springer: Berlin/Heidelberg, Germany, 2007; pp. 1974–2006. [Google Scholar]
- SY/T 6466-2016. Testing of set oilwell cement. In Chinese Standard; National Energy Administration: Beijing, China, 2016. [Google Scholar]
- ASTM C192 Standard. Standard Practice for Making and Curing Concrete Test Specimens in the Laboratory; American Society for Testing and Materials: West Conshohocken, PA, USA, 2000. [Google Scholar]
- ASTM C39/C39M-12. Standard Test Method for Compressive Strength of Cylindrical Concrete Specimens; ASTM International: West Conshohocken, PA, USA, 2012. [Google Scholar]
- Kim, J.K.; Seong-Tae, Y. Application of size effect to compressive strength of concrete members. Acad. Proc. Eng. Sci. 2002, 27, 467–484. [Google Scholar] [CrossRef]
- Lesti, M.; Tiemeyer, C.; Plank, J. CO2 stability of portland cement based well cementing systems for use on carbon capture & storage (CCS) wells. Cem. Concr. Res. 2013, 45, 45–54. [Google Scholar]
- Reddy, B.R.; Santra, A.K.; McMechan, D.E.; Gray, D.W.; Brenneis, C.; Dunn, R. Cement mechanical property measurements under wellbore conditions. In Proceedings of the SPE Annual Technical Conference and Exhibition, Dallas, TX, USA, 9–12 October 2005. [Google Scholar]
- Pan, J.L.; Xu, T.; Hu, Z.J. Experimental investigation of load carrying capacity of the slender reinforced concrete columns wrapped with FRP. Constr. Build. Mater. 2007, 21, 1991–1996. [Google Scholar] [CrossRef]
- Schneider, S.P. Axially loaded concrete-filled steel tubes. J. Struct. Eng. 1998, 124, 1125–1138. [Google Scholar] [CrossRef]











| Sample | Compositions | Curing | Confinement [MPa] |
|---|---|---|---|
| Sample 1-0 | Class G cement + water (w/c = 0.44) + silica flour + dispersant + antifoam agent + hydroxyethyl cellulose + latex modified mix | 1 week at 70 °C and 0.1 MPa | 0 |
| Sample 1-10 | Same as Sample 1-0 | 1 week at 70 °C and 0.1 MPa | 10 |
| Sample 1-20 | Same as Sample 1-0 | 1 week at 70 °C and 0.1 MPa | 20 |
| Sample 2-0A | Class G cement + water (w/c = 0.44) + dispersant + stabilizing agent | 1 week at 80 °C and 0. 1 MPa | 0 |
| Sample 2-0B | Same as Sample 2-0A | 1 week at 80 °C and 0. 1 MPa | 0 |
| Sample 2-10A | Same as Sample 2-0A | 1 week at 80 °C and 0. 1 MPa | 10 |
| Sample 2-10B | Same as Sample 2-0A | 1 week at 80 °C and 0. 1 MPa | 10 |
| Sample 3-0 [40] | Class G cement + water (w/c=0.44) + dispersant + antifoam agent + hydroxyethyl cellulose | 1 week at 60 °C and 20.7 MPa | 0 |
| Sample 3-20 [40] | Same as Sample 3-0 | 1 week at 60 °C and 20.7 MPa | 20 |
| Cement | E [GPa] | Poisson’s Ratio | φ | fc0 [MPa] | εc0 [%] | Cz | Confinement [MPa] |
|---|---|---|---|---|---|---|---|
| Sample 1-10 | 10.2 | 0.2 | 0.85 | 60.0 | 0.848 | 1.00 | 10 |
| Sample 1-20 | 10.2 | 0.2 | 0.85 | 60.0 | 0.848 | 0.85 | 20 |
| Sample 2 | 9.65 | 0.24 | 0.88 | 47.5 | 0.580 | 2.20 | 10 |
| Sample 3 | 5.85 | 0.24 | 0.70 | 37.8 | 0.760 | 2.20 | 20 |
© 2019 by the authors. Licensee MDPI, Basel, Switzerland. This article is an open access article distributed under the terms and conditions of the Creative Commons Attribution (CC BY) license (http://creativecommons.org/licenses/by/4.0/).
Share and Cite
Li, Y.; Lu, Y.; Ahmed, R.; Han, B.; Jin, Y. Nonlinear Stress-Strain Model for Confined Well Cement. Materials 2019, 12, 2626. https://doi.org/10.3390/ma12162626
Li Y, Lu Y, Ahmed R, Han B, Jin Y. Nonlinear Stress-Strain Model for Confined Well Cement. Materials. 2019; 12(16):2626. https://doi.org/10.3390/ma12162626
Chicago/Turabian StyleLi, Yan, Yunhu Lu, Ramadan Ahmed, Baoguo Han, and Yan Jin. 2019. "Nonlinear Stress-Strain Model for Confined Well Cement" Materials 12, no. 16: 2626. https://doi.org/10.3390/ma12162626
APA StyleLi, Y., Lu, Y., Ahmed, R., Han, B., & Jin, Y. (2019). Nonlinear Stress-Strain Model for Confined Well Cement. Materials, 12(16), 2626. https://doi.org/10.3390/ma12162626
