Sensorless Speed Control with Initial Rotor Position Estimation for Surface Mounted Permanent Magnet Synchronous Motor Drive in Electric Vehicles
Abstract
:1. Introduction
2. Saturation Saliency Effect and Model of SPMSM
2.1. The Principle of Saturation Saliency Effect


2.2. Mathematical Model of a SPMSM with Saturation Characteristic

3. Design and Implementation of Initial Rotor Position Estimation Strategy
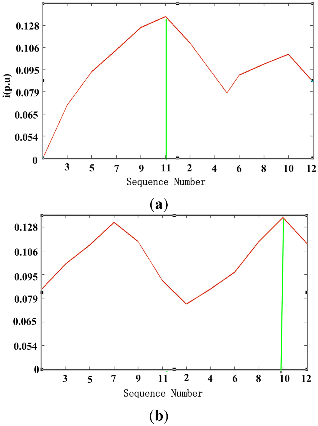
3.1. The Principle of Initial Rotor Position Estimation


3.2. The Improved Strategy of Initial Position Estimation
3.3. Realization of Iitial Rotor Position Estimation for SPMSM


3.4. Sensorless Control of the SPMSM

4. Experimental Results and Analysis
4.1. Finite Element Analysis and Simulation
| Parameters | Values |
|---|---|
| Rated Power/kW | 17.8 |
| Rated voltage/V | 380 |
| Rated current/A | 30 |
| Rated speed/(r/min) | 1500 |
| Number of pole pairs | 2 |
| d-axis inductance/mH | 17 |
| q-axis inductance/mH | 17 |
| inertia of the rotating system/(kg·m2) | 0.0058 |


4.2. Experimental and Results Analysis








5. Conclusions
Acknowledgments
Author Contributions
Conflicts of Interest
References
- Bai, J.; Liu, Y.; Sui, Y.; Tong, C.; Zhao, Q.; Zhang, J. Investigation of the cooling and thermal-measuring system of a compound-structure permanent-magnet synchronous machine. Energies 2014, 7, 1393–1426. [Google Scholar] [CrossRef]
- Zheng, P.; Tong, C.; Bai, J.; Sui, Y.; Song, Z.; Wu, F. Magnetic decoupling design and experimental validation of a radial-radial flux compound-structure permanent-magnet synchronous machine for HEVs. Energies 2012, 5, 4027–4039. [Google Scholar] [CrossRef]
- Wang, Z.; Niu, S.; Ho, S.L.; Fu, W.N.; Zhu, J.G. A position detection satrategy for sensorless surface mounted permanent magnet motors at low speed using transient finite element analysis. IEEE Trans. Magn. 2012, 48, 1003–1006. [Google Scholar] [CrossRef]
- Zheng, P.; Tong, C.; Bai, J.; Zhao, J.; Sui, Y.; Song, Z. Modeling and control of a flux-modulated compound-structure permanent-magnet synchronous machine for hybrid electric vehicles. Energies 2012, 5, 45–57. [Google Scholar] [CrossRef]
- Zhao, J.; Gu, Z.; Li, B.; Liu, X.; Li, X.; Chen, Z. Research on the torque and back EMF performance ofa high speed PMSM used for flywheel energy storage. Energies 2015, 8, 2867–2888. [Google Scholar] [CrossRef]
- Wang, Z.; Lu, K.; Blaabjerg, F. A simple startup strategy based on current regulation for back-EMF based sensorless control of PMSM. IEEE Trans. Power Electron. 2012, 27, 3817–3825. [Google Scholar] [CrossRef]
- Boussak, M. Implementation and experimental investigation of sensorless speed control with initial rotor position estimation for interior permanent magnet synchronous motor drive. IEEE Trans. Power Electron. 2005, 20, 1413–1422. [Google Scholar] [CrossRef]
- Zhao, J.; Yan, Y.; Li, B.; Liu, X.; Chen, Z. Influence of different rotor teeth shapes on the performance of flux switching permanent magnet machines used for electric vehicles. Energies 2014, 53, 8056–8075. [Google Scholar] [CrossRef]
- Jeong, Y.; Lorenz, R.D.; Jahns, T.M.; Sul, S. Initial rotor position estimation of an interior permanent-magnet synchronous machine using carrier-frequency injection methods. IEEE Trans. Magn. 2005, 41, 39–44. [Google Scholar] [CrossRef]
- Fu, W.N.; Ho, S.L.; Zhang, Z. Design of position detection strategy of sensorless permanent magnet motors at standstill using transient finite-element analysis. IEEE Trans. Magn. 2009, 45, 4668–4671. [Google Scholar] [CrossRef]
- Wang, Y.; Guo, N.; Zhu, J.; Duan, N. Initial rotor position and magnetic polarity identification of PM synchronous machine based on nonlinear machine model and finite element analysis. IEEE Trans. Magn. 2010, 46, 2016–2019. [Google Scholar] [CrossRef]
- Huang, K.; Zhou, L.; Zhou, T.; Huang, S. An enhanced reliability method for initial angle detection on surface mounted permanent magnet synchronous motors. Trans. China Electrotech. Soc. 2015, 1, 45–51. [Google Scholar]
- Aihara, T.; Toba, A.; Yanase, T.; Mashim, A.; Endo, K. Sensorless torque control of salient-pole synchronous motor at zero-speed operation. IEEE Trans. Power Electron. 1999, 14, 202–208. [Google Scholar] [CrossRef]
- Vogelsberger, M.A.; Grubic, S.; Habetler, T.G.; Wolbank, T.M. Using PWM induce transient excitation and advanced signal processing for zero-speed sensorless control of AC machines. IEEE Trans. Ind. Electron. 2010, 57, 365–374. [Google Scholar] [CrossRef]
- Nakashia, S.; Inagaki, Y.; Miki, I. Sensorless initial rotor position estimation of surface permanent-magnet synchronous motor. IEEE. Trans. Ind. Appl. 2000, 36, 1598–1603. [Google Scholar]
- Huang, K.Y.; Wang, L.; Jiang, Z.; Huang, S. An enhanced reliability method of initial angle detection on surface mounted permanent magnet synchronous motor. In Proceedings of the 17th International Conference on Electrical Machines and Systems (ICEMS), Hangzhou, China, 23–25 October 2014; pp. 2071–2076.
- Murakami, S.; Shita, T.; Ohto, M.; Ide, K. Encoderless servo drive with adequately designed IPMSM for pulse-voltage-injection-based position detection. IEEE Trans. Ind. Electron. 2012, 48, 1922–1930. [Google Scholar] [CrossRef]
- Hinkkanen, M.; Harnefors, T.L.; Luomi, J. A combined position and stator-resistance observer for salient PMSM drives: Designand stability analysis. IEEE Trans. Power Electron. 2012, 27, 601–609. [Google Scholar] [CrossRef]
- Silva, C.; Ashe, G.M.; Sumner, M. Hybrid rotor position observer wide speed range sensorless PM motor drives including zero speed. IEEE Trans. Ind. Electron. 2006, 53, 373–378. [Google Scholar] [CrossRef]
- Zhu, Z.Q.; Gong, L.M. Investigation of effectiveness of sensorless operation in carrier signal injection based sensorless control Methods. IEEE Trans. Ind. Electron. 2011, 8, 3431–3439. [Google Scholar] [CrossRef]
- Holtz, J. Acquisition of position error and magnet polarity for sensorless control of PM synchronous machines. IEEE Trans. Ind. Appl. 2008, 44, 1172–1180. [Google Scholar] [CrossRef]
- Moghadam, M.A.G.; Tahami, F. Sensorless control of PMSMs with tolerance for delays and stator resistance uncertainties. IEEE Trans. Power Electron. 2013, 28, 1391–1399. [Google Scholar] [CrossRef]
- Lee, J.; Hong, J.; Nam, K.; Ortega, R.; Praly, L. Sensorless control of surface-mount permanent-magnet synchronous motors based on a nonlinear observer. IEEE Trans. Power Electron. 2010, 25, 290–297. [Google Scholar]
- Li, Y.; Zhu, Z.Q.; Howe, D.; Bingham, C.M.; Stone, D. Improved rotor position estimation by signal injection in brushless AC motors, accounting for cross-coupling magnetic saturation. IEEE Trans. Ind. Appl. 2009, 45, 1843–1850. [Google Scholar] [CrossRef]
- Paulus, D.; Stumper, J.; Kennel, R. Sensorless control of synchronous machines based on direct speed and position estimation in polar stator-current coordinates. IEEE Trans. Power Electron. 2013, 28, 2503–2513. [Google Scholar] [CrossRef]
© 2015 by the authors; licensee MDPI, Basel, Switzerland. This article is an open access article distributed under the terms and conditions of the Creative Commons Attribution license (http://creativecommons.org/licenses/by/4.0/).
Share and Cite
Wu, X.; Wang, H.; Huang, S.; Huang, K.; Wang, L. Sensorless Speed Control with Initial Rotor Position Estimation for Surface Mounted Permanent Magnet Synchronous Motor Drive in Electric Vehicles. Energies 2015, 8, 11030-11046. https://doi.org/10.3390/en81011030
Wu X, Wang H, Huang S, Huang K, Wang L. Sensorless Speed Control with Initial Rotor Position Estimation for Surface Mounted Permanent Magnet Synchronous Motor Drive in Electric Vehicles. Energies. 2015; 8(10):11030-11046. https://doi.org/10.3390/en81011030
Chicago/Turabian StyleWu, Xuan, Hui Wang, Shoudao Huang, Keyuan Huang, and Li Wang. 2015. "Sensorless Speed Control with Initial Rotor Position Estimation for Surface Mounted Permanent Magnet Synchronous Motor Drive in Electric Vehicles" Energies 8, no. 10: 11030-11046. https://doi.org/10.3390/en81011030
APA StyleWu, X., Wang, H., Huang, S., Huang, K., & Wang, L. (2015). Sensorless Speed Control with Initial Rotor Position Estimation for Surface Mounted Permanent Magnet Synchronous Motor Drive in Electric Vehicles. Energies, 8(10), 11030-11046. https://doi.org/10.3390/en81011030
