Appraising Bioenergy Alternatives in Uganda Using Strengths, Weaknesses, Opportunities and Threats (SWOT)-Analytical Hierarchy Process (AHP) and a Desirability Functions Approach
Abstract
: Poor access to clean and reliable energy technologies is a major challenge to most developing countries. The decision to introduce new technologies is often faced by low adoption rates or even public opposition. In addition, the data required for effective decision making is often inadequate or even lacking, thus constraining the planning process. In this study, a methodology for participatory appraisal of technologies, integrating desirability functions to the strengths, weaknesses, opportunities and threats (SWOT)-analytical hierarchy process (AHP) methodology was developed. Application of the methodology was illustrated with an example for participatory appraisal of four bioenergy technologies in Uganda. Results showed that the methodology is effective in evaluating stakeholder preferences for bioenergy technologies. It showed a high potential to be used to identify and rate factors that stakeholders take into consideration when selecting bioenergy systems. The method could be used as a tool for technology screening, or reaching consensus in a participatory setup in a transparent manner.1. Introduction
Ensuring a sustainable supply of energy is one of the major challenges of the 21st century. The need for renewable energy supplies is becoming increasingly more urgent as conventional sources are blamed for the increasing levels of atmospheric greenhouse gases, global warming, and climate change. Moreover, reserves of fossil fuels are finite, and threatened by depletion [1]. Also, fossil fuels reserves are not uniformly distributed over the World, therefore compromising the energy security of countries without the resources. However, developing countries have more diverse concerns including lack of access to adequate clean energy, extensive deforestation due to fuelwood harvesting and expansion of agricultural land. The end results are negative impacts such as soil erosion, loss of biodiversity and reduced availability and access to fuelwood resources by the population. With reduced accessibility to fuelwood, households fall down the energy ladder; thus, resorting to low quality energy sources such as agricultural residues and dried cattle manure, which have adverse impacts on the health of users due to increased indoor air pollution from cooking devices [2], which is known to be a serious health burden in developing countries. It is estimated that close to two million [3] people die prematurely every year due to ailments caused by indoor pollution, of which 400,000 [4] cases are in sub-Saharan Africa (SSA).
Nevertheless, biomass combustion in inefficient devices remains the dominant household energy in most SSA countries. In Uganda, for example, over 90% of energy needs is provided by biomass, mainly in form of firewood, charcoal and agricultural residues [5]. Despite the high potential of renewable energy resources in the country, it is estimated that only 5% of the population has access to electricity [6]. Currently, the country is experiencing high rates of increase in demand for biomass energy, estimated at 3% and 6% for firewood and charcoal per annum, respectively [7]. The increasing demand, coupled with agricultural land expansion, is leading to accelerated deforestation and consequently fuelwood deficit in many parts of the country [8]. To ensure sustainability of energy supply, the country developed the Renewable Energy Policy [9] with the aim of increasing use of modern energy technologies that are cleaner and more sustainable than existing practices. Under the policy, the use of improved stoves with higher efficiency is being promoted. The policy also aims at increasing the use of domestic biogas systems for household cooking and lighting. Consequently, several agencies are now promoting improved bioenergy technologies in the country. Examples of technologies promoted include improved biomass stoves, domestic biogas systems, biomass briquettes, and plant oil based systems. However the level of adoption of improved bioenergy technologies in Uganda remains low, with over 70% of the population still using inefficient combustion devices [5].
Generally, efforts to introduce improved renewable energy technologies in many communities are faced by multiple challenges, including low adoption rates [10]. In some cases, there is even direct public opposition, a phenomenon commonly referred to as the not-in-my-backyard (NIMBY) effect [11]. This is probably due to public concerns such as competition with food production, changes in land use and aesthetics. In some cases, renewable energy technologies are less economically competitive than fossil fuels or even against the cultural norms and beliefs of the target population. In the case of Uganda, specific reasons for the slow rates of adoption of improved bioenergy technologies are not clearly known.
Involving stakeholders is critical in understanding barriers to dissemination of bioenergy technologies and is recognised as the key to the successful implementation of projects. Suitable tools are required to ensure successful consultation of stakeholders in the bioenergy decision making process. So far, several tools are available for the purpose, but one of the most popular is the analysis of strengths, weaknesses, opportunities and threats (SWOT). The method has been widely used for participatory decision making. For example, Liu et al. [12] used it to evaluate the social, economic and environmental impacts of bioenergy production on marginal land. Lee et al. [13] also employed SWOT analysis to analyse and develop strategies for the development of the Korean energy sector. A similar study using SWOT analysis was conducted in China for planning the strategic development of the shale gas industry [14]. The main weakness of the SWOT analysis, however, is that the results are not quantified and therefore it is difficult to attach levels of importance to the individual identified SWOT factors.
Consequently, Kurtilla et al. [15] developed a method that incorporates the results of SWOT analysis in the analytical hierarchy process (AHP). The method, commonly abbreviated as SWOT-AHP or A'WOT has been widely used in forest policy decision analyses [16–18]. Other examples of the application of the method include studies in the field of safety and environment [19], agriculture [20], and water resource management [21]. Ramirez et al. [22] conducted one of the first studies applying the SWOT-AHP method to bioenergy technologies in developing countries to assess stakeholders' perception about non-traditional cooking stoves in Honduras. However, all these studies are limited to the quantification of SWOT factors for a single scheme of intervention. The use of the SWOT-AHP method as a tool for comparative analysis of strategic alternatives is generally limited in the literature; an example was proposed by Pesonen et al. [23].
Against this background, the objectives of this study were to: (1) improve the capability of the SWOT-AHP methodology as a tool for participatory appraisal of alternative bioenergy technologies; and (2) illustrate the use of the proposed methodology with an application example. The present study gives a detailed description of the SWOT-AHP methodology and its proposed extension with desirability functions [24]. An application example for participatory appraisal of four different bioenergy technologies in Uganda is also given.
2. Methodology
The proposed methodology incorporates desirability function [25] into the SWOT-AHP method [15–17], followed by synthesis of results using a weighted summation method [26]. In the SWOT analysis phase, SWOT of the technology is analysed [27]. The AHP methodology, developed by Saaty [28] in the 1970s, can then be used to convert SWOT factors into quantifiable indicators [15]. Desirability functions [25] are then used to transform the weights of the SWOT group factors into measures of suitability of each technology. In the last step, ranks of technologies can then be subjected to sensitivity analysis [29] so as to evaluate their robustness to changes in weights of criteria. The flow chart of proposed method is illustrated in Figure 1, and detailed explanations are given in the following sections.
2.1. Incorporating SWOT in Hierarchical Decision Model (HDM)
The first step is to perform a SWOT analysis of all the alternative bioenergy systems and incorporate the results in the HDM [30], illustrated in Figure 2. At the top of the hierarchy is the decision goal. The criteria used in the decision model are the SWOT groups [31] of the respective energy systems. The more explicit SWOT factors are used as the sub-criteria in the model. At the bottom of the hierarchy are the alternative bioenergy technologies to be prioritised.
2.2. Quantifying SWOT Factors Using AHP
In the second step, the SWOT factors (or sub-criteria) and SWOT groups (or criteria) are prioritised using a pairwise comparison method [31]. First, pairwise comparison of SWOT factors is done, followed by that of SWOT groups using a suitable scale, usually ranging from one to nine [32]. Results of the pairwise comparison exercises are transformed into positive pairwise comparison matrices A, illustrated by Equation (1):
2.3. Ranking of Technologies
Ranking of the technologies is achieved by minimising the weaknesses and threats, and maximising strengths and opportunities. To achieve this, a decision matrix [25] is developed from the weights of SWOT groups, as illustrated in Table 2. Elements of the decision matrix are then transformed into a measure of suitability ranging from zero to one using desirability functions [25]. A desirability value of one that implies that the SWOT group factor is optimal, while a value of zero means the attribute is totally undesirable. Transformation of beneficial criteria, in this case strengths and opportunities, is done using Equation (6), while for non-beneficial criteria, i.e., weaknesses and threats, is accomplished using Equation (7):
In Equations (6) and (7), di are the individual desirability of SWOT group weights of a given alternative i; wminj and wmaxj are the maximum and minimum values of a given set of SWOT groups weights, respectively; derived using from Equation (3) and summarised in Table 2, and wij are SWOT group weights between wminj and wmaxj. The parameter δ is a constant that determines the shape of the desirability function. When the value of δ is equal to 1, the function varies linearly between 0 and 1, in the case where δ is greater than 1, the shape is concave, while values of δ less than 1 results in a convex function.
The overall desirability of a given alternative can then be calculated using the weighted summation method [26] according to Equation (8):
2.4. Sensitivity Analysis
The last step is to carry out sensitivity analysis to determine the stability of the ranks of alternative bioenergy systems subject to changes in weights of SWOT group factors. During this process, point data is modified to observe their effects on the ranks of technologies, therefore enabling generation of scenarios [35].
3. Application of the Methodology
3.1. Description of the Study Area
The study was carried out in Gulu municipality, located about 330 km by road to the north of the Ugandan capital, Kampala (Figure 3).
The municipality is the second largest urban settlement in Uganda, with an estimated population of 150,000 inhabitants [37]. The majority of households rely on charcoal and firewood as the main sources of domestic energy, but the biomass resources in the area are being extracted faster than the rate of replenishment [38]. A study by Drigo [8] indicated that the municipality currently experiences a net deficit of fuel wood resources. Recent efforts by the government and development partners have led to an increased use of energy-saving stoves. Bioenergy technologies such as biomass briquetting, biogas and gasification are still new to the area and not widely adopted [39].
3.2. Technologies Considered in the Study
A literature survey and field visits were carried out to identify possible bioenergy technologies that could be developed for use in the study area. Emphasis was placed on identifying technologies which have been successfully employed in the country, but are not widely adopted. Where possible, samples of the technologies were acquired for demonstration during stakeholder workshop, otherwise, photographs were taken. The following is a brief description of technologies that were identified and considered for this study. More detailed explanation of these technologies is available in Okello et al. [5].
3.2.1. Biogas System
Biogas technology was introduced in Uganda in the 1950s, and is one of the priority bioenergy technologies being promoted in the country [40]. As per the renewable energy policy, Uganda has set a target of installing 100,000 domestic biogas digesters by the year 2017 [9]. The systems range in volume from 6 m3 to 16 m3 and are specifically designed to fulfil household energy needs [5,41]. Cattle manure is the most common substrate for feeding biogas plants in the country. In the proposed system, grass is cultivated to ensure reliable supply of cattle feeds, which are kept under a zero-grazing system. An acre of pasture is provided for each animal, and normally a household requires two heads of cattle to generate sufficient biogas. The bio-digester is constructed underground and the substrate is mixed with water and fed to the digester on daily basis. Simple burners are provided for combustion of the biogas, which is conveyed from the digester to the house through pipes.
3.2.2. Briquetting System
Biomass briquetting is the conversion of loose biomass material into a high density product by subjecting the material to pressure, with or without a binder [42]. The briquetting process involves material collection, drying, commutation and densification, using various types of presses [43]. The resulting product is called briquettes and is easier to handle and has better combustion properties than the original biomass material. In Uganda, the available agricultural and forest residues could be used as raw material for briquetting [44,45]. In the proposed system, the briquettes are used for cooking in gasifier stoves that are more efficient than traditional stoves [45]. Since briquetting machines are expensive, briquetting services can be provided by a private proprietor at a fee.
3.2.3. Charcoal Systems
Charcoal is the energy source most widely used by the urban population in Uganda. The production of charcoal in the country is by carbonisation in traditional earth-mound kilns. Wood used for the production is from natural forest, mainly found on privately owned land. The efficiency of the carbonisation process is less than 15%, and combustion takes place in charcoal stoves with efficiencies of about 10% [5,46]. Charcoal production activities are a major source of employment and are blamed for the high deforestation rates in Uganda. Due to diminishing forest reserves resulting from extensive deforestation, price of charcoal is currently increasing rapidly.
3.2.4. Jatropha System
Under this system, a plantation of Jatropha (Jatropha curcas) is established by households. Jatropha can be planted on marginal lands or intercropped in agro-forestry systems [47]. Jatropha fruits are harvested and manually de-hulled and dried in open air. Oil extraction is carried out using expellers, such as the “Sundhara” oil expellers, which are designed for use for a variety of oil seeds under rural conditions [48]. The expeller would be privately owned by a group or an individual, who provides oil extraction service at a fee. Impurities in oil are allowed to settle before being decanted using gravitational method through a piece of cotton cloth. Combustion takes place in plant oil pressure stoves, such as the Protos (BSH Bosch and Simens Hausgeräte GmbH, Munich, Germany) [49,50]. Part of the oil extracted can be used for making soap and therefore diversifying the rural economy.
3.3. Data Collection and Analysis
3.3.1. Selection and Composition of Stakeholder Panel
Data used in this study was collected during a one-day multi-stakeholder workshop held at Gulu University in February 2013. The workshop was attended by 28 participants from various interest groups. Participants were purposely selected [51] to represent a broad spectrum of stakeholders of the bioenergy sector in the municipality. To ensure representativeness of the various interest groups, stakeholders were categorised into government, non-governmental organisations (NGOs), academic and research institutions, and private individuals and businesses using biomass for cooking. At least two participants from each stakeholder group participated in the workshop. The NGOs that participated are involved in promoting improved biomass stoves and biogas technologies in Gulu district. The researchers that participated in the workshop were from different departments of Gulu University, also located in the municipality.
3.3.2. Implementation of the Workshop
The workshop was organised in three main sessions. During the first session, participants were introduced to the topic of bioenergy technologies, and the need for improved bioenergy technologies was explained. Different bioenergy technologies currently being promoted in country were explained to participants including the challenges facing their dissemination and use. This was followed by a detailed explanation of the four bioenergy technologies to be ranked in this study. The process was made as participatory as possible so that participants could freely share their knowledge and experiences with the technologies. During the third session, participants were divided into four groups, and each tasked with development of SWOT factors for one of the technologies. Results of SWOT analysis developed by individual groups were presented to the general stakeholder's forum and discussed and a final list of SWOT factors agreed upon. Finally, the SWOT factors were typed in a specially designed spreadsheet format for pairwise comparison. These were printed and given to each participant to carry out a pairwise comparison.
3.3.3. Analysis of Results
Results of SWOT analysis were processed following the AHP procedure as described in Section 2. A spreadsheet programme was developed in Microsoft Excel® and used for pairwise comparison of the factors. The spreadsheet was also used to test for consistency of the pairwise comparison. Results were aggregated using geometric mean as recommended by Forman and Peniwati [52]. Ranking of technologies and sensitivity analysis were carried out using the multi-criteria analysis (MCA) software DEFINITE [53]. It was assumed that the SWOT factors had equal weights of 0.25. The sensitivity analysis phase was used to evaluate the effect of varying the weights on the ranks of the technologies. A numerical example of calculation steps used for ranking the technologies is given in the Appendix.
4. Results and Discussions
4.1. Results of SWOT-AHP Phase
Results of the SWOT-AHP phase is illustrated in Figure 4, and details of individual scores of the SWOT groups and factors are given in Table A1 of the Appendix. The graphs show that biogas systems had opportunities ranked highest at 0.390, mainly due to increasing demand for the systems and its ability to provide decentralised energy services to individual households (Figure 4a). Inadequacy of skilled personnel, lack of awareness about the technology and high investment costs were identified as the most detrimental factors to the adoption of biogas technology. Results of the briquette systems are given in Figure 4b, with its strengths scoring highest at 0.397. The most important strengths of briquettes identified were reduction in deforestation, cleanness and ease of handling. However, high investment costs and lack of skilled personnel were identified as most unfavourable factors to the technology. For charcoal systems, threats scored highest at 0.485 as shown in Figure 4c. This is mainly attributed to deforestation and land use change caused by charcoal production from natural forests. Meanwhile, opportunities of Jatropha system was greater than that of other SWOT group factors with a score of 0.481 (Figure 4d), mainly due to job creation, opportunities for research and development of products, diversity rural economy and the favourable climate and soils. The poisonous nature of Jatropha and competition with other fuels were the most detrimental factors identified.
Results of the SWOT-AHP phase presented here demonstrates the ability of the methodology to identify issues that stakeholders consider as critical for selecting bioenergy technologies. Some of the issues identified by the stakeholders are in agreement with available literature, for example, Mwampamba et al. [42] observed that briquetting has environmental benefits such as reduced deforestation, and offers opportunity for carbon credit. Threats of deforestation due to charcoal production [54], and the environmental and health benefits of biogas [55] are well documented in literatures. High investment cost was identified as major challenges to the adoption of biogas [55] and briquetting [42] technologies in developing countries. Usually, success of biogas and briquette programmes in developing countries is attributed to substantial support from government and aid agencies [54]. On the other hand, the ability of Jatropha to grow on marginal land is seen as one of its main advantages and stakeholders rated this highly. The views expressed by the stakeholders were therefore in agreement with pertinent issues concerning the bioenergy technologies studied.
4.2. Ranks of Technologies
The ranks of the four bioenergy technologies studied are given in Figure 5. Jatropha was ranked as the best technology with an overall score value of 0.78, while charcoal ranked lowest with a score of 0.13. A numerical example illustrating how values presented in Figure 5 is given in Appendix. Available literature indicates that Jatropha oil is a suitable fuel for small scale projects in SSA, when used in multifunctional platforms [56]. It can be processed into biodiesel or used for making soap, therefore supporting diversification of rural economy [57]. However, there are debates about Jatropha production; for example, it is reported to have a negative impact on carbon stock [58]. Other challenges include low yield, limited know-how for feedstock conversion, high investment costs and inadequate private capacity to support the development of the sector [59].
4.3. Sensitivity Analysis
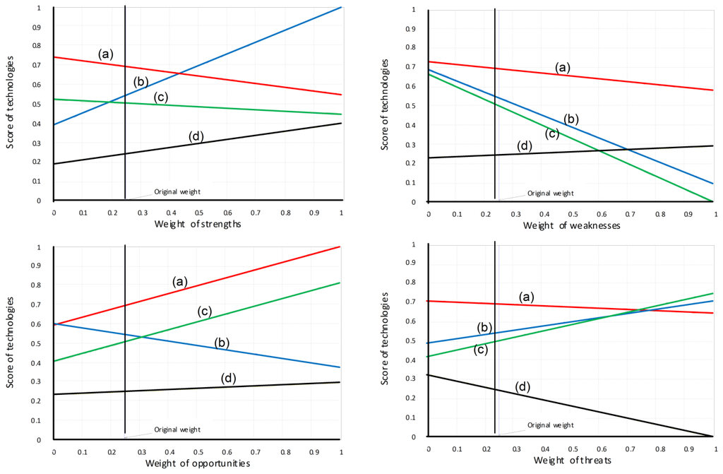
The effect of varying factor weights on the ranking of the technologies was analysed through sensitivity analysis, and the results are shown in Figure 6.
Biogas and briquettes were found to be highly sensitive to variation in the values of the weakness factors, with their scores dropping near to zero with high values of weaknesses. However, charcoal is more robust to variation of weakness values. Sensitivity analysis also indicates that rank reversal occurs between Jatropha and biogas systems, with biogas ranking highest when values of strengths were increased beyond 0.6. Therefore, both biogas and briquettes technologies would be acceptable by the community depending on management policies and incentives.
4.4. Discussions on the Methodology
In this study, we developed a method that incorporates desirability functions into the SWOT-AHP methodology for participatory appraisal of alternative bioenergy systems. The AHP methodology used is a very powerful MCA tool with capabilities of allowing commensurability of both quantitative and qualitative variables. Use of pairwise comparison in AHP enhances the aptitude of the decision maker in the analysis of the alternatives therefore resulting in more rational decisions. The method offers more flexibility over traditional approaches such as contingent evaluation, which requires that all variables are measured in financial terms. The multi-criteria technique employed has capability of ranking multidimensional, conflicting and uncertain systems. Furthermore, participation of stakeholders in AHP studies is based on opinion leadership and representative democracy, therefore allowing for smaller number of samples than in statistical approaches [17]. The method is useful in environments where data for decision making is not readily available. It could help in identification of hidden interests, cultural constraints and other social values of the target community.
However, the methodology is based on some assumptions and has limitations that should be taken into consideration. First, during the SWOT analysis, there is a possibility that some factors proposed by participants may not be technically suitable for consideration. Therefore, the researcher has to ensure the appropriateness of the factors by ensuring legibility and avoiding redundancy [60]. Secondly, the assumption of AHP methodology that the hierarchical factors are independent of each other may not necessarily be true, especially when complex systems are taken into consideration. This weakness could probably be reduced by integrating desirability functions in the SWOT-ANP (analytical hierarchy process) as suggested by Catron et al. [61]. Also, the SWOT methodology does not take uncertainties related to future development into consideration. As proposed by Kurttila et al. [15] scenario modelling using dynamic SWOT analysis could be a possible solution to this limitation. As a rule, the number of SWOT factors for pairwise comparisons should be limited to 10; otherwise human cognition may not be capable of objectively carrying out pairwise comparison. In cases where this rule cannot be obeyed, grouping the factors under different categories is proposed as a remedy.
Much as the SWOT-AHP method is a very useful tool, it heavily relies on qualitative judgement of the SWOT factors. It does not incorporate measurable economic, social and environmental variables of sustainability. It is therefore recommended that it should be used to supplement other more rigorous methods such as financial cash flow or cost-benefit analysis (CBA) [62], life-cycle analysis (LCA) [63] and life cycle costing (LCC) [64]. Usually, these methods require considerable amount of data and time to implement. Therefore, the proposed method may help in pre-screening of technologies that will most likely be accepted by the target community prior to more rigorous methods such as LCA, CBA and LCC. This is particularly important in developing countries where required data and logistics for their collection are often lacking. Pre-screening of technologies is advantageous since it helps to eliminate trivial options therefore enabling directing resources to a few promising alternatives. The method could also be used to identify stakeholders concerns about bioenergy technologies; thus, developing appropriate strategies for addressing them. Alternatively, the method could be used as a tool for reaching consensus in cases where there are conflicting interests among stakeholders. Generally, it could be used as a tool for soliciting stakeholder opinion during multi-criteria decision analysis of technologies, which considers social, economic and environmental aspects simultaneously [65].
The application example presented is the first of its kind and could benefit from further trials. More rigorous data collection methods could be taken into consideration to evaluate the repeatability of the results. One could also study if there would be differences in the ranking of the technologies amongst different stakeholder groups. Furthermore, the possibility of incorporating other participatory techniques such as Delphi techniques could be taken into consideration to improve the overall rigour of the participatory process.
5. Conclusions
In this study, we proposed a methodology for participatory appraisal of technologies, and applied it in a case study to rank four bioenergy systems in Uganda. The methodology is intended to identify bioenergy technologies with a higher chance of public acceptance at the early stages of project development. The case study implemented showed that the tool is effective for identifying stakeholder preference of bioenergy technologies including the underlying reasons for their choices. The results of the study suggest that Jatropha could be accepted as a fuel for household energy in Uganda. Further, stakeholders regard charcoal as not sustainable mainly because of the threats it poses to the environment. Results suggest that suitable policies aimed at increasing affordability of bioenergy technologies could help increase their adoption rates in Uganda. Also, improving the critical mass of skilled personnel could play an important role in ensuring increased dissemination of improved bioenergy technologies.
Acknowledgments
We acknowledge GuluNap, a collaborative project between Gulu University and University of Naples Federico II, for financial support to this study. We appreciate facilitators of the stakeholder workshop: Eng. Benedict Ebangu Orari, Walter Odongo, and Martine Nyeko and to all the participants. Gratitude to Ahmed Harb Rabia for proof reading the manuscript. Special acknowledgement to the three anonymous reviewers for comments that greatly helped to improve the quality of this paper.
Conflicts of Interest
The authors declare no conflict of interest.
Appendix: SWOT Factors and Their Rankings and a Numerical Example for Generating Figure 5
| Technology | Energy technology | Group priority | SWOT factors | Local priority | Global priority | Brief description of SWOT factors |
|---|---|---|---|---|---|---|
| Biogas | Strengths (S) | 0.182 | Saves time | 0.149 | 0.027 | Requires less time to operate compared to fuelwood collection |
| Energy security | 0.342 | 0.062 | Ensures households are secure of energy supplies | |||
| Health benefits | 0.312 | 0.057 | Reduced indoor pollution leads to better health of users | |||
| Hygienic | 0.198 | 0.036 | Anaerobic digestion sanitises livestock waste | |||
| Weaknesses (W) | 0.306 | High investment cost | 0.255 | 0.078 | Capital cost is high for average Ugandan households | |
| Lack of awareness | 0.263 | 0.081 | Potential users do not know about benefits of biogas | |||
| Unskilled labour | 0.347 | 0.106 | Limited personnel to construct and maintain the technology | |||
| Labour intensive | 0.135 | 0.041 | High labour requirements for day-to-day system management | |||
| Opportunities (O) | 0.391 | Increasing demand | 0.354 | 0.138 | Demand for the technology is known to be rising | |
| Source of income | 0.189 | 0.074 | Possible income from sale of gas and slurry as fertilizer | |||
| Job creation | 0.166 | 0.065 | Employment in the value chain, mainly masons | |||
| Decentralised power source | 0.291 | 0.114 | The plants are family owned so have better control over their operational performance | |||
| Threats (T) | 0.121 | Low social acceptance | 0.207 | 0.025 | Low acceptance is mainly due to lack of awareness | |
| Competition from charcoal | 0.405 | 0.049 | Charcoal is widely used and accepted therefore limiting adoption of the new technology | |||
| Health risks of manure handling | 0.112 | 0.013 | Currently manure handling is done manually (by hand) and could pose risk to transmission of cattle disease to users | |||
| Inadequate raw material | 0.277 | 0.033 | Many households do not have cattle to supply manure | |||
| Charcoal | Strengths (S) | 0.156 | Easy to use | 0.212 | 0.033 | Simplicity of the technology enables its ease of operation |
| Highly reliable | 0.394 | 0.061 | Less prone to shutdowns due to system failure | |||
| Widely available | 0.394 | 0.061 | Charcoal and stoves are readily available on the local market | |||
| Weaknesses (W) | 0.216 | Poor handling properties | 0.235 | 0.051 | Easily crumbles into small particles during handling | |
| High losses to low efficiency | 0.241 | 0.052 | Wastage of charcoal occurs during use due to inefficient combustion appliances | |||
| Leads to indoor pollution | 0.271 | 0.058 | Due to emissions of poisonous gases and particulate matter | |||
| Non uniform in quality | 0.255 | 0.055 | Quality is not consistent due to varying source of wood used | |||
| Charcoal | Opportunities (O) | 0.145 | Job creation | 0.101 | 0.015 | Employment in the production and sale of charcoal and stoves |
| Income to rural economy | 0.344 | 0.05 | Charcoal is a major source of income to rural households | |||
| Easily adaptable to local conditions | 0.392 | 0.057 | Technology is simple and can easily offer opportunity to be easily adopted/improved to local conditions | |||
| Very cheap | 0.164 | 0.024 | Potential savings by households due to low capital an operating costs | |||
| Threats (T) | 0.485 | Deforestation | 0.403 | 0.195 | Currently there is rapid loss of forest vegetation in Uganda | |
| Climate change | 0.132 | 0.064 | Emissions from charcoal could contribute to climate change | |||
| Indoor pollution | 0.072 | 0.035 | Indoor pollutants have negative health impacts on users | |||
| Land use change | 0.394 | 0.191 | Undesirable change in land use due to wood harvesting leading to loss of biodiversity | |||
| Jatropha | Strengths (S) | 0.217 | It is renewable | 0.36 | 0.078 | It is a renewable energy source |
| Availability of carbon credit | 0.171 | 0.037 | This is an incentive for using renewable energy under cleaner development mechanism (CDM) | |||
| Weather resistant | 0.218 | 0.047 | Jatropha plant grows in adverse weather conditions | |||
| Easy propagation | 0.251 | 0.054 | Availability and ease of propagation from seeds and cuttings | |||
| Weaknesses (W) | 0.132 | New and not widely used | 0.329 | 0.043 | Being new technology, it is not known by potential users, thus limiting its adoption | |
| Limited market | 0.177 | 0.023 | Under developed market system for Jatropha technology | |||
| Long gestation period | 0.229 | 0.03 | Time lag from planting to sustainable yield of 3–5 years | |||
| Land competition | 0.265 | 0.035 | Competition for land for other productive activities | |||
| Opportunities (O) | 0.481 | Opportunity for research | 0.255 | 0.123 | Opportunity to develop biodiesel, soap and medicines | |
| Improves soil and climate | 0.249 | 0.119 | Jatropha reduces soil erosion and improves microclimate in areas where it is grown | |||
| Job creation | 0.311 | 0.149 | Employment in the value chain of Jatropha energy system | |||
| Has medicinal value | 0.186 | 0.089 | Jatropha products could be used for treatment of ailments | |||
| Jatropha | Threats (T) | 0.172 | Poisonous nature of oil | 0.296 | 0.051 | The oil is poisonous and can be a health and safety hazard |
| Competition with charcoal | 0.242 | 0.041 | Charcoal is so far very popular and could be a limiting factor to Jatropha use | |||
| Inadequate expertise | 0.207 | 0.036 | Inadequate organisational capacity to develop the technology | |||
| Competition with crop production | 0.256 | 0.044 | Diversion of resources to Jatropha production could lead to food insecurity | |||
| Briquettes | Strengths (S) | 0.397 | Multiple uses | 0.166 | 0.066 | Possibility to use in a variety of locally available cooking devices |
| Waste management | 0.184 | 0.073 | It is a suitable method for managing agricultural waste | |||
| Reduces deforestation | 0.364 | 0.144 | Due to substitution of charcoal | |||
| Clean and easy to handle | 0.287 | 0.114 | Has better handling properties than charcoal and do not crumble easily | |||
| Weaknesses (W) | 0.278 | Lack of awareness | 0.2 | 0.055 | Potential users do not know about benefits of briquettes | |
| High investment cost | 0.527 | 0.147 | Briquetting machines are expensive for average household | |||
| Inadequate skill | 0.274 | 0.076 | Limited skilled personnel to maintain the technology | |||
| Opportunities (O) | 0.18 | Job creation | 0.352 | 0.063 | Employment in the value chain of briquetting | |
| Increased demand | 0.206 | 0.037 | There is growing demand for briquettes | |||
| Improved living standard | 0.233 | 0.042 | Use of briquettes lead to better living conditions due to reduced labour requirements for wood fuel collection | |||
| Favourable policies | 0.21 | 0.038 | Government policies encourages use of renewable energy | |||
| Threats (T) | 0.144 | Unskilled labour | 0.106 | 0.015 | Lack of skilled artisans required for briquette production | |
| Lack of support industry | 0.263 | 0.038 | Electricity, roads and other infrastructure required from briquetting | |||
| Low social acceptance | 0.359 | 0.052 | Low acceptance mainly due to lack of awareness | |||
| Inadequate expertise | 0.272 | 0.039 | Inadequate organisational capacity for the development of briquetting industry | |||
In order to rank the technologies, first the SWOT group priority values in third column of Table A1 are transformed into a multi-criteria decision matrix, as illustrated in Table 2. The result of this process is given in Table A2.
| Criteria | Alternative technologies | |||
|---|---|---|---|---|
| Biogas | Charcoal | Jatropha | Briquettes | |
| Strengths (S) | 0.182 | 0.156 | 0.217 | 0.397 |
| Weaknesses (W) | 0.306 | 0.216 | 0.132 | 0.278 |
| Opportunities (O) | 0.391 | 0.145 | 0.481 | 0.180 |
| Threats (T) | 0.121 | 0.485 | 0.172 | 0.144 |
Next, the values of SWOT factors given in Table A2 are transformed into desirability values ranging between 0 and 1. Desirable attributes, i.e., strengths and opportunities should be maximised and therefore transformed using Equation (6). In Equation (6)wminj is the lowest value of each criterion, given in Table A2, while wmaxj is the highest. For the case of strengths, wminj =


| Criteria * | Desirability of alternative technologies | |||
|---|---|---|---|---|
| Biogas | Charcoal | Jatropha | Briquettes | |
| dS | 0.108 | 0.000 | 0.253 | 1.000 |
| dW | 0.000 | 0.517 | 1.000 | 0.161 |
| dO | 0.172 | 0.000 | 1.000 | 0.104 |
| dT | 1.000 | 0.000 | 0.860 | 0.937 |
*dS, dW, dO and dT are desirability values of strengths, weaknesses, opportunities and threats, respectively.
Assuming equal weight of 0.25 for each of the criteria, the overall score of biogas technology can be calculated using Equation (8) as (




References
- Shafiee, S.; Topal, E. When will fossil fuel reserves be diminished? Energy Policy 2009, 37, 181–189. [Google Scholar]
- Holdren, J.P.; Smith, K.R.; Kjellstrom, T.; Streets, D.; Wang, X.; Fischer, S. Energy, the Environment and Health; United Nations Development Programme: New York, NY, USA, 2000. [Google Scholar]
- Bruce, N.; Perez-Padilla, R.; Albalak, R. Indoor air pollution in developing countries: A major environmental and public health challenge. Bull. World Health Organ. 2000, 78, 1078–1092. [Google Scholar]
- Kebede, E.; Kagochi, J.; Jolly, C.M. Energy consumption and economic development in Sub-Sahara Africa. Energy Econ. 2010, 32, 532–537. [Google Scholar]
- Okello, C.; Pindozzi, S.; Faugno, S.; Boccia, L. Development of bioenergy technologies in Uganda: A review of progress. Renew. Sustain. Energy Rev. 2013, 18, 55–63. [Google Scholar]
- Kaijuka, E. GIS and rural electricity planning in Uganda. J. Clean. Prod. 2007, 15, 203–217. [Google Scholar]
- Kanabahita, C. Forestry Outlook Studies in Africa (FOSA) Uganda; Forestry Department, Ministry of Water, Lands & Environment: Kampala, Uganda, 2001. [Google Scholar]
- Drigo, R. WISDOM, East Africa. Woodfuel Integrated Supply/Demand Overview Mapping (WISDOM) Methodology. Spatial Woodfuel Production and Consumption Analysis of Selected African Countries; Food and Agriculture Organisation of the United Nations (FAO)-Forestry Department-Wood Energy: Rome, Italy, 2005. [Google Scholar]
- Renewable Energy Policy for Uganda; Ministry of Energy and Mineral Development (MEMD): Kampala, Uganda, 2007.
- Mobarak, A.M.; Dwivedi, P.; Bailis, R.; Hildemann, L.; Miller, G. Low demand for nontraditional cookstove technologies. Proc. Natl. Acad. Sci. USA 2012, 109, 10815–10820. [Google Scholar]
- Ribeiro, F.; Ferreira, P.; Araújo, M. The inclusion of social aspects in power planning. Renew. Sustain. Energy Rev. 2011, 15, 4361–4369. [Google Scholar]
- Liu, T.T.; McConkey, B.G.; Ma, Z.Y.; Liu, Z.G.; Li, X.; Cheng, L.L. Strengths, weaknessness, opportunities and threats analysis of bioenergy production on marginal land. Energy Proc. 2011, 5, 2378–2386. [Google Scholar]
- Lee, S.K.; Mogi, G.; Kim, J.W. Energy technology roadmap for the next 10 years: The case of Korea. Energy Policy 2009, 37, 588–596. [Google Scholar]
- Xingang, Z.; Jiaoli, K.; Bei, L. Focus on the development of shale gas in China—Based on SWOT analysis. Renew. Sustain. Energy Rev. 2013, 21, 603–613. [Google Scholar]
- Kurttila, M.; Pesonen, M.; Kangas, J.; Kajanus, M. Utilizing the analytic hierarchy process (AHP) in SWOT analysis—A hybrid method and its application to a forest-certification case. For. Policy Econ. 2000, 1, 41–52. [Google Scholar]
- Stainback, G.A.; Masozera, M.; Mukuralinda, A.; Dwivedi, P. Smallholder agroforestry in Rwanda: A SWOT-AHP analysis. Small-Scale For 2012, 11, 285–300. [Google Scholar]
- Masozera, M.K.; Alavalapati, J.R.; Jacobson, S.K.; Shrestha, R.K. Assessing the suitability of community-based management for the Nyungwe Forest Reserve, Rwanda. For. Policy Econ. 2006, 8, 206–216. [Google Scholar]
- Dwivedi, P.; Alavalapati, J.R. Stakeholders' perceptions on forest biomass-based bioenergy development in the southern US. Energy Policy 2009, 37, 1999–2007. [Google Scholar]
- Eslamipoor, R.; Sepehriar, A. Firm relocation as a potential solution for environment improvement using a SWOT-AHP hybrid method. Process Saf. Environ. Prot. 2013. [Google Scholar] [CrossRef]
- Shrestha, R.K.; Alavalapati, J.R.; Kalmbacher, R.S. Exploring the potential for silvopasture adoption in south-central Florida: An application of SWOT–AHP method. Agric. Syst. 2004, 81, 185–199. [Google Scholar]
- Gallego-Ayala, J.; Juízo, D. Strategic implementation of integrated water resources management in Mozambique: An A'WOT analysis. Phys. Chem. Earth Parts A/B/C 2011, 36, 1103–1111. [Google Scholar]
- Ramirez, S.; Dwivedi, P.; Bailis, R.; Ghilardi, A. Perceptions of stakeholders about nontraditional cookstoves in Honduras. Environ. Res. Lett. 2012, 7. [Google Scholar] [CrossRef]
- Pesonen, M.; Kurttila, M.; Kangas, J.; Kajanus, M.; Heinonen, P. Assessing the priorities using AWOT among resource management strategies at the Finnish Forest and Park Service. For. Sci. 2001, 47, 534–541. [Google Scholar]
- Derringer, G.; Suich, R. Simultaneous optimisation of several response variables. J. Qual. Technol. 1980, 12, 214–2199. [Google Scholar]
- Karande, P.; Gauri, S.K.; Chakraborty, S. Applications of utility concept and desirability function for materials selection. Mater. Des. 2013, 45, 349–358. [Google Scholar]
- Sudhakaran, S.; Lattemann, S.; Amy, G.L. Appropriate drinking water treatment processes for organic micropollutants removal based on experimental and model studies—A multi-criteria analysis study. Sci. Total Environ. 2013, 442, 478–488. [Google Scholar]
- Koo, L.; Koo, H. Holistic approach for diagnosing, prioritising, implementing and monitoring effective strategies through synergetic fusion of SWOT, Balanced Scorecard and QFD. World Rev. Entrepr. Manag. Sustain. Dev. 2007, 3, 62–78. [Google Scholar]
- Saaty, T.L. The Analytic Hierarchy Process: Planning, Priority Setting, and Resource Allocation; McGraw-Hill: New York, NY, USA, 1980. [Google Scholar]
- Geneletti, D. Multicriteria analysis to compare the impact of alternative road corridors: A case study in northern Italy. Impact Assess. Proj. Apprais. 2005, 23, 135–146. [Google Scholar]
- Van Blommestein, K.C.; Daim, T.U. Residential energy efficient device adoption in South Africa. Sustain. Energy Technol. Assess. 2013, 1, 13–27. [Google Scholar]
- Wang, J.-J.; Jing, Y.-Y.; Zhang, C.-F.; Zhao, J.-H. Review on multi-criteria decision analysis aid in sustainable energy decision-making. Renew. Sustain. Energy Rev 2009, 13, 2263–2278. [Google Scholar]
- Scott, J.A.; Ho, W.; Dey, P.K. A review of multi-criteria decision-making methods for bioenergy systems. Energy 2012, 42, 146–156. [Google Scholar]
- Chang, H.-H.; Huang, W.-C. Application of a quantification SWOT analytical method. Math. Comput. Model 2006, 43, 158–169. [Google Scholar]
- Benítez, J.; Delgado-Galván, X.; Gutiérrez, J.; Izquierdo, J. Balancing consistency and expert judgment in AHP. Math. Comput. Model 2011, 54, 1785–1790. [Google Scholar]
- Geneletti, D. Combining stakeholder analysis and spatial multicriteria evaluation to select and rank inert landfill sites. Waste Manag 2010, 30, 328–337. [Google Scholar]
- Political Map of Uganda. Available online: http://www.nationsonline.org/oneworld/map/uganda-map.htm (accessed on 14 January 2014).
- Mukwaya, P.; Bamutaze, Y.; Mugarura, S.; Benson, T. Rural-Urban Transformation in Uganda. Proceedings of the IFPRI-University of Ghana Conference on Understanding Economic Transformation in Sub-Saharan Africa, Accra, Ghana, 10–11 May 2011.
- Zanchi, G.; Frieden, D.; Pucker, J.; Bird, D.N.; Buchholz, T.; Windhorst, K. Climate benefits from alternative energy uses of biomass plantations in Uganda. Biomass Bioenergy 2013, 59, 128–136. [Google Scholar]
- Centre for Research in Energy and Energy Conservation (CREEC), Makerere University. Northern Uganda Energy Study. Available online: https://energypedia.info/images/6/60/Northern_Uganda_Energy_study_report_2011-04-05.pdf (accessed on 19 February 2014).
- Sengendo, M.; Turyahabwe, E.; Christopher, K.; Muganzi, M.; Kamara, E.; Rugumayo, A.; Nyanzi, S.; Mubiru, D.; Mussazi, M. Programme Implementation Document (PID) for Uganda Domestic Biogas Programme; Uganda Domestic Biogas Programme: Kampala, Uganda, 2010. [Google Scholar]
- Walekhwa, P.N.; Mugisha, J.; Drake, L. Biogas energy from family-sized digesters in Uganda: Critical factors and policy implications. Energy Policy 2009, 37, 2754–2762. [Google Scholar]
- Mwampamba, T.H.; Owen, M.; Pigaht, M. Opportunities, challenges and way forward for the charcoal briquette industry in Sub-Saharan Africa. Energy Sustain. Dev. 2013, 17, 158–170. [Google Scholar]
- Samson, R.; Mani, S.; Boddey, R.; Sokhansanj, S.; Quesada, D.; Urquiaga, S.; Reis, V.; Ho Lem, C. The potential of C4 perennial grasses for developing a global BIOHEAT industry. Crit. Rev. Plant Sci. 2005, 24, 461–495. [Google Scholar]
- Okello, C.; Pindozzi, S.; Faugno, S.; Boccia, L. Bioenergy potential of agricultural and forest residues in Uganda. Biomass Bioenergy 2013, 56, 515–525. [Google Scholar]
- Raman, P.; Murali, J.; Sakthivadivel, D.; Vigneswaran, V.S. Performance evaluation of three types of forced draft cook stoves using fuel wood and coconut shell. Biomass Bioenergy 2013, 49, 333–340. [Google Scholar]
- Knöpfle, M. A Study on Charcoal Supply in Kampala; Ministry of Energy and Mineral Development: Kampala, Uganda, 2004. [Google Scholar]
- Contran, N.; Chessa, L.; Lubino, M.; Bellavite, D.; Roggero, P.P.; Enne, G. State-of-the-art of the Jatropha curcas productive chain: From sowing to biodiesel and by-products. Ind. Crops Prod. 2013, 42, 202–215. [Google Scholar]
- Grimsby, L.K.; Aune, J.B.; Johnsen, F.H. Human energy requirements in Jatropha oil production for rural electrification in Tanzania. Energy Sustain. Dev. 2012, 16, 297–302. [Google Scholar]
- Kratzeisen, M.; Müller, J. Effect of fatty acid composition of soybean oil on deposit and performance of plant oil pressure stoves. Renew. Energy 2009, 34, 2461–2466. [Google Scholar]
- Gaul, M. A comparative study of small-scale rural energy service pathways for lighting, cooking and mechanical power. Appl. Energy 2013, 101, 376–392. [Google Scholar]
- Stidham, M.; Simon-Brown, V. Stakeholder perspectives on converting forest biomass to energy in Oregon, USA. Biomass Bioenergy 2011, 35, 203–213. [Google Scholar]
- Forman, E.; Peniwati, K. Aggregating individual judgments and priorities with the analytic hierarchy process. Eur. J. Oper. Res. 1998, 108, 165–169. [Google Scholar]
- VU University, Institute for Environmental Studies. DEFINITE—A DSS for a Finite Set of Alternatives. Available online: http://www.ivm.vu.nl/en/projects/Projects/spatial-analysis/DEFINITE/index.asp (accessed on 15 May 2013).
- Chidumayo, E.N.; Gumbo, D.J. The environmental impacts of charcoal production in tropical ecosystems of the world: A synthesis. Energy Sustain. Dev. 2013, 17, 86–94. [Google Scholar]
- Bond, T.; Templeton, M.R. History and future of domestic biogas plants in the developing world. Energy Sustain. Dev. 2011, 15, 347–354. [Google Scholar]
- Eckart, K.; Henshaw, P. Jatropha curcas L. and multifunctional platforms for the development of rural sub-Saharan Africa. Energy Sustain. Dev. 2012, 16, 303–311. [Google Scholar]
- Dyer, J.C.; Stringer, L.C.; Dougill, A.J. Jatropha curcas: Sowing local seeds of success in Malawi?: In response to Achten et al. (2010). J. Arid Environ. 2012, 79, 107–110. [Google Scholar]
- Vang Rasmussen, L.; Rasmussen, K.; Bech Bruun, T. Impacts of Jatropha-based biodiesel production on above and below-ground carbon stocks: A case study from Mozambique. Energy Policy 2012, 51, 728–736. [Google Scholar]
- Ewing, M.; Msangi, S. Biofuels production in developing countries: Assessing tradeoffs in welfare and food security. Environ. Sci. Policy 2009, 12, 520–528. [Google Scholar]
- Munda, G. Social multi-criteria evaluation: Methodological foundations and operational consequences. Eur. J. Oper. Res. 2004, 158, 662–677. [Google Scholar]
- Catron, J.; Stainback, G.A.; Dwivedi, P.; Lhotka, J.M. Bioenergy development in Kentucky: A SWOT-ANP analysis. For. Policy Econ. 2013, 28, 38–43. [Google Scholar]
- O'Mahoney, A.; Thorne, F.; Denny, E. A cost-benefit analysis of generating electricity from biomass. Energy Policy 2013, 57, 347–354. [Google Scholar]
- Fazio, S.; Monti, A. Life cycle assessment of different bioenergy production systems including perennial and annual crops. Biomass Bioenergy 2011, 35, 4868–4878. [Google Scholar]
- Silalertruksa, T.; Bonnet, S.; Gheewala, S.H. Life cycle costing and externalities of palm oil biodiesel in Thailand. J. Clean. Prod. 2012, 28, 225–232. [Google Scholar]
- Nzila, C.; Dewulf, J.; Spanjers, H.; Tuigong, D.; Kiriamiti, H.; van Langenhove, H. Multi criteria sustainability assessment of biogas production in Kenya. Appl. Energy 2012, 93, 496–506. [Google Scholar]






| Values | Number of elements in pairwise comparison | |||||||
|---|---|---|---|---|---|---|---|---|
| n | 2 | 3 | 4 | 5 | 6 | 7 | 8 | 9 |
| RI(n) | 0 | 0.58 | 0.90 | 1.12 | 1.24 | 1.32 | 1.41 | 1.45 |
| Criteria | Alternative technologies | |||
|---|---|---|---|---|
| A1 | A2 | … | An | |
| C1 | w11 | w12 | w1n | |
| C2 | w21 | … | … | w2n |
| … | … | … | … | … |
| Cn | wn1 | wn2 | … | wnn |
Ci are criteria, in this case SWOT groups; Ai are technologies to be ranked; wij are weights assigned to each SWOT group (see Section 2.2).
© 2014 by the authors; licensee MDPI, Basel, Switzerland. This article is an open access article distributed under the terms and conditions of the Creative Commons Attribution license ( http://creativecommons.org/licenses/by/3.0/).
Share and Cite
Okello, C.; Pindozzi, S.; Faugno, S.; Boccia, L. Appraising Bioenergy Alternatives in Uganda Using Strengths, Weaknesses, Opportunities and Threats (SWOT)-Analytical Hierarchy Process (AHP) and a Desirability Functions Approach. Energies 2014, 7, 1171-1192. https://doi.org/10.3390/en7031171
Okello C, Pindozzi S, Faugno S, Boccia L. Appraising Bioenergy Alternatives in Uganda Using Strengths, Weaknesses, Opportunities and Threats (SWOT)-Analytical Hierarchy Process (AHP) and a Desirability Functions Approach. Energies. 2014; 7(3):1171-1192. https://doi.org/10.3390/en7031171
Chicago/Turabian StyleOkello, Collins, Stefania Pindozzi, Salvatore Faugno, and Lorenzo Boccia. 2014. "Appraising Bioenergy Alternatives in Uganda Using Strengths, Weaknesses, Opportunities and Threats (SWOT)-Analytical Hierarchy Process (AHP) and a Desirability Functions Approach" Energies 7, no. 3: 1171-1192. https://doi.org/10.3390/en7031171
APA StyleOkello, C., Pindozzi, S., Faugno, S., & Boccia, L. (2014). Appraising Bioenergy Alternatives in Uganda Using Strengths, Weaknesses, Opportunities and Threats (SWOT)-Analytical Hierarchy Process (AHP) and a Desirability Functions Approach. Energies, 7(3), 1171-1192. https://doi.org/10.3390/en7031171

