Optimization of the Boron Back Surface Field Produced with Reduced Thermal Steps in Bifacial PERT Solar Cell
Abstract
1. Introduction
2. Materials and Methods
2.1. Solar Cell Production
2.2. Characterization of Solar Cells
3. Results and Discussion
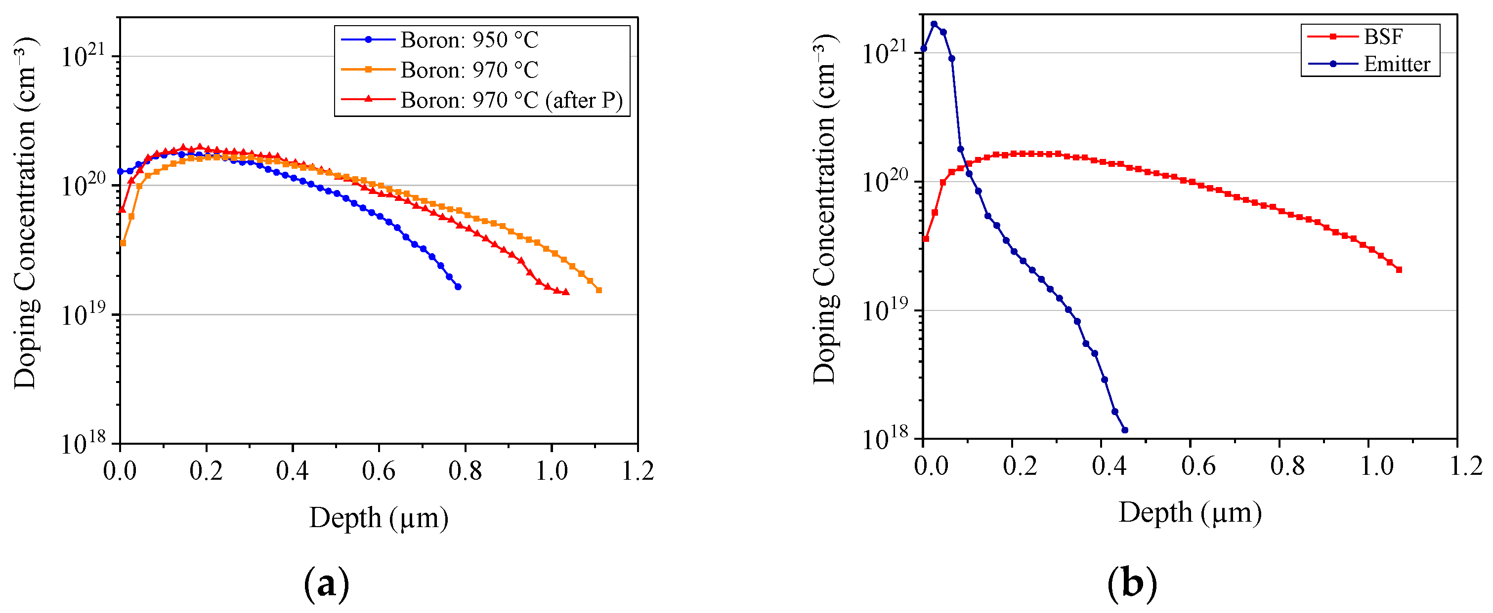
3.1. Characterization of the Back Surface Field and Emitter
3.2. Influence of the B-BSF Sheet Resistance on Electrical Characteristics
3.3. Influence of BSF Sheet Resistance on Bifaciality Coefficients
4. Conclusions
Author Contributions
Funding
Data Availability Statement
Acknowledgments
Conflicts of Interest
References
- Seguini, G.; Cianci, E.; Wiemer, C.; Saynova, D.; van Roosmalen, J.A.M.; Perego, M. Si Surface Passivation by Al2O3 Thin Films Deposited Using a Low Thermal Budget Atomic Layer Deposition Process. Appl. Phys. Lett. 2013, 102, 131603. [Google Scholar] [CrossRef]
- Kühnhold, S.; Saint-Cast, P.; Kafle, B.; Hofmann, M.; Colonna, F.; Zacharias, M. High-Temperature Degradation in Plasma-Enhanced Chemical Vapor Deposition Al2O3 Surface Passivation Layers on Crystalline Silicon. J. Appl. Phys. 2014, 116, 054507. [Google Scholar] [CrossRef]
- Cho, Y.J.; Shin, W.C.; Chang, H.S. Selective Deposition Contact Patterning Using Atomic Layer Deposition for the Fabrication of Crystalline Silicon Solar Cells. Thin Solid. Film. 2014, 568, 1–5. [Google Scholar] [CrossRef]
- Li, J.D.; Shen, G.S.; Chen, W.L.; Li, Z.; Hong, R.J. Preparation of SiNx Multilayer Films by Mid-Frequency Magnetron Sputtering for Crystalline Silicon Solar Cells. Mater. Sci. Semicond. Process 2017, 59, 40–44. [Google Scholar] [CrossRef]
- Li, H.; Wenham, S.R.; Shi, Z. High Efficiency PERL Cells on CZ P-Type Crystalline Silicon Using a Thermally Stable a-Si:H/SiNx Rear Surface Passivation Stack. Sol. Energy Mater. Sol. Cells 2013, 117, 41–47. [Google Scholar] [CrossRef]
- Lelièvre, J.-F.; Kafle, B.; Saint-Cast, P.; Brunet, P.; Magnan, R.; Hernandez, E.; Pouliquen, S.; Massines, F. Efficient Silicon Nitride SiNx:H Antireflective and Passivation Layers Deposited by Atmospheric Pressure PECVD for Silicon Solar Cells. Prog. Photovolt. Res. Appl. 2019, 27, 1007–1019. [Google Scholar] [CrossRef]
- VDMA. International Technology Roadmap for Photovoltaic (ITRPV); Frankfurt am Main; VDMA: Mumbai, India, 2024. [Google Scholar]
- Green, M.A. The Passivated Emitter and Rear Cell (PERC): From Conception to Mass Production. Sol. Energy Mater. Sol. Cells 2015, 143, 190–197. [Google Scholar] [CrossRef]
- Singha, B.; Solanki, C.S. Boron-Rich Layer Properties Formed by Boron Spin on Dopant Diffusion in n-Type Silicon. Mater. Sci. Semicond. Process 2017, 57, 83–89. [Google Scholar] [CrossRef]
- Crestani, T. Development of P-Type PERT Bifacial Solar Cells with Floating Junction and Passivation Analysis. Ph.D. Thesis, Pontifical Catholic University of Rio Grande do Sul, Porto Alegre, Brazil, 2021. [Google Scholar]
- Zanesco, I.; Moehlecke, A. Dopant Diffusion Process in Silicon Wafers to Manufacture Solar Cells. BR Patent nº BR 102012030606-9, 9 February 2021. [Google Scholar]
- Blévin, T.; Lanterne, A.; Grange, B.; Cabal, R.; Vilcot, J.P.; Veschetti, Y. Development of Industrial Processes for the Fabrication of High Efficiency N-Type PERT Cells. Sol. Energy Mater. Sol. Cells 2014, 131, 24–29. [Google Scholar] [CrossRef]
- Ingenito, A.; Allebé, C.; Libraro, S.; Ballif, C.; Paviet-Salomon, B.; Nicolay, S.; Diaz Leon, J.J. 22.8% Full-Area Bifacial n-PERT Solar Cells with Rear Side Sputtered Poly-Si(n) Passivating Contact. Sol. Energy Mater. Sol. Cells 2023, 249, 112043. [Google Scholar] [CrossRef]
- Mojrová, B.; Comparotto, C.; Kopecek, R.; Mihailetchi, V.D. Optimization of Boron Diffusion for Screen Printed N-PERT Solar Cells. Energy Procedia 2016, 92, 474–478. [Google Scholar] [CrossRef]
- Bektaş, G.; Aslan, S.; Keçeci, A.E.; Özyahni, V.; Canar, H.H.; Asav, H.; Seyrek, S.; Verlinden, P.J.; Turan, R. Influence of Boron Doping Profile on Emitter and Metal Contact Recombination for N-PERT Silicon Solar Cells. Sol. Energy Mater. Sol. Cells 2024, 272, 112886. [Google Scholar] [CrossRef]
- Barth, S.; Doll, O.; Koehler, I.; Neckermann, K.; Blech, M.; Lawerenz, A.; Edler, A.; Kopecek, R.; Schneider, J.J. 19.4 Efficient Bifacial Solar Cell with Spin-on Boron Diffusion. Energy Procedia 2013, 38, 410–415. [Google Scholar] [CrossRef]
- Moehlecke, A.; Zanesco, I. Development of Silicon Solar Cells and Photovoltaic Modules in Brazil: Analysis of a Pilot Production. Mater. Res. 2012, 15, 581–588. [Google Scholar] [CrossRef]
- Tang, L.; Li, W.; Tian, Y.; Xue, F.; Xin, Z.; Jiang, Q.; Pan, S. Post Annealing to Improve the Sheet Resistance and Uniformity of Emitter for Enhancing Conversion Efficiency of Mass-Produced Mc-Si Solar Cells. Mater. Sci. Semicond. Process 2022, 138, 106316. [Google Scholar] [CrossRef]
- Wei, P.; Tong, R.; Liu, X.; Wei, Y.; Zhang, Y.; Liu, X.; Dai, J.; Yin, H.; Liu, D. Optimization of Rear-Side Passivation for Enhancing the Performance of Bifacial PERC+ Solar Cells. Mater. Sci. Semicond. Process 2024, 170, 107947. [Google Scholar] [CrossRef]
- Huang, H.; Modanese, C.; Sun, S.; von Gastrow, G.; Wang, J.; Pasanen, T.P.; Li, S.; Wang, L.; Bao, Y.; Zhu, Z.; et al. Effective Passivation of P+ and N+ Emitters Using SiO2/Al2O3/SiNx Stacks: Surface Passivation Mechanisms and Application to Industrial p-PERT Bifacial Si Solar Cells. Sol. Energy Mater. Sol. Cells 2018, 186, 356–364. [Google Scholar] [CrossRef]
- Glunz, S.W.; Feldmann, F. SiO2 Surface Passivation Layers—A Key Technology for Silicon Solar Cells. Sol. Energy Mater. Sol. Cells 2018, 185, 260–269. [Google Scholar] [CrossRef]
- Recamán Payo, M.; Li, Y.; Russell, R.; Singh, S.; Kuzma Filipek, I.; Duerinckx, F.; Szlufcik, J.; Poortmans, J. Efficiency Gain in Plated Bifacial N-Type PERT Cells by Means of a Selective Emitter Approach Using Selective Epitaxy. Sol. Energy Mater. Sol. Cells 2020, 204, 110173. [Google Scholar] [CrossRef]
- Pinto, J.L. Optimization and Comparison of Processes to Form the Back Surface Field with Boron in Solar Cells. Ph.D. Thesis, Pontifical Catholic University of Rio Grande do Sul, Porto Alegre, Brazil, 2012. [Google Scholar]
- Kern, W. The Evolution of Silicon Wafer Cleaning Technology. J. Electrochem. Soc. 1990, 137, 1887. [Google Scholar] [CrossRef]
- Wehr, G.; Zanesco, I.; Moehlecke, A. Influence of Diffusion Parameters on Electrical Characteristics of Mc-Si Solar Cells with Aluminum and Phosphorus Diffusion Performed in the Same Thermal Step. Mater. Res. 2019, 22, e20180443. [Google Scholar] [CrossRef]
- Park, C.; Shim, G.; Balaji, N.; Park, J.; Yi, J. Correlation between Boron-Silicon Bonding Coordination, Oxygen Complexes and Electrical Properties for n-Type c-Si Solar Cell Applications. Energies 2020, 13, 3057. [Google Scholar] [CrossRef]
- Model, J.C.M.; Moehlecke, A.; Zanesco, I.; Ly, M.; Marcondes, T.L. TiO2 Antireflection Coating Deposited by Electro-Beam Evaporation: Thin Film Thickness Effect on Weighted Reflectance and Surface Passivation of Silicon Solar Cells. Mater. Res. 2022, 25, e20220245. [Google Scholar] [CrossRef]
- Bock, R.; Altermatt, P.P.; Schmidt, J. Accurate Extraction of Doping Profiles from Electrochemical Capacitance Voltage Measurements. In Proceedings of the 23rd European Photovoltaic Solar Energy Conference, Valencia, Spain, 1–5 September 2008; p. 1510. [Google Scholar]
- Peng, M.; Wang, Q.; Zhang, M.; Xi, X.; Liu, G.; Wang, L.; Chen, L. Optimization of Boron Depletion for Boron-Doped Emitter of n-type TOPCon Solar Cells. Mater. Sci. Semicond. Process 2024, 178, 108424. [Google Scholar] [CrossRef]
- Li, Y.; Shen, H.; Hou, Z.; Wei, Q.; Ni, Z.C.; Hu, D. Formation of Emitter by Boron Spin-on Doping from SiO2 Nanosphere and Properties of the Related n-PERT Solar Cells. Sol. Energy 2021, 225, 317–322. [Google Scholar] [CrossRef]
- Eisenberg, Y.; Kreinin, L.; Bordin, N.; Eisenberg, N. Effective Surface Recombination of p+ Layers Doped Using Ion Implantation or Surface Deposited B Sources. Energy Procedia 2016, 92, 16–23. [Google Scholar] [CrossRef]
- Siddiqui, A.; Bektaş, G.; Nasser, H.; Turan, R.; Usman, M. Impact of Ion Implantation and Annealing Parameters on Bifacial PERC and PERT Solar Cell Performance. Sustain. Energy Technol. Assess. 2022, 53, 102583. [Google Scholar] [CrossRef]
- Min, K.H.; Hwang, J.M.; Chen, C.; Choi, W.J.; Upadhyaya, V.D.; Bounsaville, B.; Rohatgi, A.; Ok, Y.W. Enhanced Passivation and Stability of Negative Charge Injected SiNx with Higher Nitrogen Content on the Boron Diffused Surface of N-Type Si Solar Cells. Sol. Energy Mater. Sol. Cells 2024, 273, 112922. [Google Scholar] [CrossRef]
- De Wolf, S.; Duerinckx, F.; Agostinelli, G.; Beaucarne, G. Low-Cost Rear Side Floating Junction Solar-Cell Issues on Mc-Si. Sol. Energy Mater. Sol. Cells 2006, 90, 3431–3437. [Google Scholar] [CrossRef]









| Process | Cell | RSH-B (Ω/sq) | RSH-P (Ω/sq) |
|---|---|---|---|
| BTB950 | P3C13α | 53 ± 3 | 60 ± 5 |
| P4C3α | 55 ± 3 | 64 ± 4 | |
| P10C4α | 54 ± 3 | 61 ± 6 | |
| Average | 54 ± 3 | 62 ± 5 | |
| BTB970 | P1C10α | 44 ± 3 | 62 ± 2 |
| P3C16α | 40 ± 1 | 58 ± 9 | |
| P6C15α | 39 ± 3 | 62 ± 4 | |
| P10C14α | 42 ± 1 | 61 ± 3 | |
| P12C10α | 39 ± 2 | 62 ± 3 | |
| P13C4α | 44 ± 2 | 67 ± 3 | |
| P13C10α | 42 ± 2 | 71 ± 2 | |
| P14C10α | 39 ± 1 | 63 ± 4 | |
| Average | 41 ± 2 | 63 ± 4 |
| Process | TB (°C) | CS-BSF (cm−3) | xj-BSF (cm−3) | CS-emitter (cm−3) | xj-emitter (cm−3) |
|---|---|---|---|---|---|
| BTB950 (B diffusion) | 950 | 1.3 × 1020 | 0.8 | - | - |
| BTB970 (B diffusion) | 970 | 3.6 × 1019 | 1.2 | - | - |
| BTB970-PTB845 (B and P diffusion) | 6.4 × 1019 | 1.0 | 1.1 × 1019 | 0.5 |
| RSH-B (Ω/sq) | Irradiance | JSC | VOC | FF | η |
|---|---|---|---|---|---|
| 30 | Emitter | 0.95 | 1.00 | 0.97 | 0.94 |
| BSF | 0.43 | 0.97 | 0.97 | 0.41 | |
| 37 | Emitter | 0.98 | 0.99 | 0.97 | 0.95 |
| BSF | 0.67 | 0.98 | 0.99 | 0.66 | |
| 44 | Emitter | 1.00 | 0.99 | 1.00 | 1.00 |
| BSF | 0.69 | 0.98 | 0.99 | 0.68 | |
| 53 | Emitter | 0.99 | 0.99 | 0.95 | 0.94 |
| BSF | 0.66 | 0.97 | 0.96 | 0.63 |
Disclaimer/Publisher’s Note: The statements, opinions and data contained in all publications are solely those of the individual author(s) and contributor(s) and not of MDPI and/or the editor(s). MDPI and/or the editor(s) disclaim responsibility for any injury to people or property resulting from any ideas, methods, instructions or products referred to in the content. |
© 2025 by the authors. Licensee MDPI, Basel, Switzerland. This article is an open access article distributed under the terms and conditions of the Creative Commons Attribution (CC BY) license (https://creativecommons.org/licenses/by/4.0/).
Share and Cite
Crestani, T.; Zanesco, I.; Moehlecke, A.; da Silva, L.T.C.P.; Britto, J.V.Z. Optimization of the Boron Back Surface Field Produced with Reduced Thermal Steps in Bifacial PERT Solar Cell. Energies 2025, 18, 2347. https://doi.org/10.3390/en18092347
Crestani T, Zanesco I, Moehlecke A, da Silva LTCP, Britto JVZ. Optimization of the Boron Back Surface Field Produced with Reduced Thermal Steps in Bifacial PERT Solar Cell. Energies. 2025; 18(9):2347. https://doi.org/10.3390/en18092347
Chicago/Turabian StyleCrestani, Thais, Izete Zanesco, Adriano Moehlecke, Lucas Teixeira Caçapietra Pires da Silva, and João Victor Zanatta Britto. 2025. "Optimization of the Boron Back Surface Field Produced with Reduced Thermal Steps in Bifacial PERT Solar Cell" Energies 18, no. 9: 2347. https://doi.org/10.3390/en18092347
APA StyleCrestani, T., Zanesco, I., Moehlecke, A., da Silva, L. T. C. P., & Britto, J. V. Z. (2025). Optimization of the Boron Back Surface Field Produced with Reduced Thermal Steps in Bifacial PERT Solar Cell. Energies, 18(9), 2347. https://doi.org/10.3390/en18092347

