Abstract
With the increasing penetration of high-proportion renewable energy sources and large-scale integration of power electronic devices, distribution networks are evolving towards power-electronized systems. The integration of high-proportion renewable energy introduces challenges such as bidirectional power flow and voltage violations. Unlike traditional voltage regulation devices with slow and discrete adjustment characteristics, power electronic devices can continuously and rapidly respond to voltage fluctuations in distribution networks. However, the integration of power electronic devices alters the operational paradigm of distribution networks, necessitating adaptive voltage-reactive power control methods tailored to the regulation characteristics of both power electronic devices and discrete equipment. To fully exploit the real-time regulation capabilities of power electronic devices, this paper established a hierarchical coordinated control model for power-electronized distribution networks to achieve optimal voltage-reactive power control. A three-stage hierarchical coordinated control architecture is proposed based on the distinct response speeds of different devices. A variable-slope linear droop control method based on voltage boundary parameter optimization is employed for real-time adjustment of soft open point (SOP) and inverter outputs. To address uncertainties in PV generation and load demand, a rolling optimization strategy is implemented for centralized control, supplemented by probabilistic modeling to generate multiple representative scenarios for hierarchical coordinated control. Case studies demonstrate optimized operational results across centralized and local control stages, with comparative analyses against existing voltage-reactive power control methods confirming the superiority of the proposed hierarchical coordinated control framework.
1. Introduction
With the high penetration of renewable energy sources such as photovoltaic and wind power, traditional distribution networks face challenges including bidirectional power flow and node voltage violations, driving the transformation from conventional distribution networks to intelligent new distribution systems [1,2,3]. In recent years, the rapid development of power electronics and information technologies has led to increasing integration of flexible power electronic devices in distribution networks. The distinction between power-electronized distribution networks and traditional ones lies in their significant power electronic characteristics. The primary power electronic devices in power-electronized distribution networks include power electronic transformers (PETs), soft open points (SOPs), soft open point with energy storage (ESOP), and photovoltaic inverters. Traditional distribution network operation and control mainly rely on on-load tap changers (OLTCs), series/shunt capacitor banks (CBs), and tie switches. However, control methods such as transformer tap adjustments and capacitor switching have limited regulation capabilities and insufficient precision [4,5]. Network reconfiguration based on sectionalizers and tie switches is constrained by operational lifespan and response speed limitations, both of which struggle to effectively address the frequent fluctuations in distributed renewable energy generation [6,7].
The integration of power electronic devices can effectively resolve these issues. Studies [8,9] applied PETs in AC/DC hybrid distribution networks to reduce system losses and voltage deviations. Reference [10] proposed utilizing PETs’ dual reactive power support characteristics to minimize distribution network losses, employing particle swarm optimization for PET siting and capacity determination with loss reduction as the objective. However, this approach did not fully exploit the reactive power regulation capabilities of PET ports.
Voltage-reactive power control in distribution networks can be categorized into centralized, local, and distributed control based on communication methods [11,12,13]. To address the insufficient consideration of short-term source-load fluctuations in centralized control of photovoltaic inverters, reference [14] proposed a robust centralized local control strategy targeting minimum weighted network losses and photovoltaic curtailment, using interval modeling to effectively resolve voltage violations and reverse power flow caused by short-term source-load fluctuations. However, robust optimization often bases the droop parameters on the worst-case scenarios, which inevitably leads to a more conservative slope of the droop curve. Therefore, it is necessary to further research the optimization methods for inverter droop control to find the desired optimal droop control parameters under practical operating scenarios, which in turn enhances the actual operational performance of local device control. Reference [15] introduced a multi-agent distributed control method that reduced distribution network power losses yet failed to maintain voltage fluctuations within acceptable ranges, but it does not consider the coordination of local control strategies among devices. As a result, when faced with source-load fluctuations shorter than the daily scheduling cycle, it will respond immediately, which can easily lead to voltage limit violations. Reference [16] proposed a multi-objective hierarchical coordination method for photovoltaic inverters based on droop control, simultaneously optimizing centrally controlled inverter reactive power set points and locally controlled droop functions to minimize average bus voltage deviations and network losses. Reference [17] presented a novel hierarchical coordinated voltage-reactive power control method that allocated inverter reactive power outputs through central control to minimize network losses. However, the above two references only studied the reactive droop parameters at the inverter ports of PV devices and did not consider the coordination of local droop control strategies for devices with fast reactive response, such as SOP. In fact, as a device with fast active and reactive power regulation capabilities, SOP also has corresponding local droop control capabilities at its inverter port. Therefore, to enhance the coordination capability of SOP and local control of PV devices, it is necessary to finely optimize the local droop control parameters of SOP and PV during the centralized optimization phase to improve their local control capabilities.
Current research predominantly focuses on voltage-reactive power control using traditional device characteristics. There is limited reported work on the interconnection of various flexible power electronic devices or their roles in distribution network voltage-reactive power control. It is essential to comprehensively consider power balance, capacity constraints, and operational losses of multiple flexible power electronic devices in distribution networks and investigate voltage-reactive power control methods that incorporate both traditional and power electronic devices.
In summary, this paper proposed a hierarchical coordinated control architecture for electronic distribution networks, coordinating centralized and local control to fully leverage the regulation characteristics of different devices. A three-stage optimization process is developed, consisting of day-ahead optimization, intra-day optimization, and local real-time droop control, to address voltage violations caused by high-penetration photovoltaics and load fluctuations. Analyzing existing droop control models, a variable-slope linear droop control model based on voltage boundary parameter tuning is adopted for SOPs and photovoltaic inverters. A hierarchical coordinated control model is established, where the centralized control stage employs rolling optimization to handle photovoltaic and load uncertainties. Finally, simulation results under centralized/local control and comparisons with other voltage-reactive power control methods verify the superiority of the proposed hierarchical coordinated voltage-reactive power control model for electronic distribution networks.
2. Hierarchical Coordinated Control Strategy for Power Electronic Distribution Networks
This article proposed a hierarchical coordinated control strategy for power electronic distribution networks, which aims to minimize power loss and voltage deviation in the operation of the distribution network through the collaborative optimization of various active and reactive resources within the network. The first and second phases belong to a centralized optimization strategy, where the medium-voltage control system of the distribution network scheduling center optimizes the scheduling of various devices based on comprehensive information from the distribution network. The third phase pertains to local voltage control, which is implemented by the local controllers of photovoltaic (PV) and SOP inverters in the distribution network based on real-time voltage measurements at their ports. The main content of each phase is as follows:
In the first phase, based on the forecast data of sources and loads in the distribution network for the upcoming day, a scheduling strategy for the active and reactive operation of adjustable devices such as circuit breakers (CBs), power electronic transformers (PETs), SOP, and PV is developed with the objective of minimizing network losses and voltage deviations. In this phase, the scheduling strategy for the slow-adjusting device, CB, will be determined, while the operational scheduling strategies for devices like PET and SOP will be refined in the next phase based on more detailed source-load forecast data.
In the second phase, based on short-term intra-day source-load forecasting data, a rolling optimization method is employed with a scheduling interval of 15 min. The active power output of PET and SOP devices is optimized using the reactive power output set points of the PV and SOP port inverters as well as the droop curve parameters. The optimization results will be transmitted to the local controllers of the respective devices to enable rapid response in the next phase. Since all information and uncertainty parameters in the distribution network will be used for optimizing the droop control parameters in this phase, it allows for coordination between local control and centralized control. This way, when each device responds based on the optimized droop parameters, it can take into account the overall operational scheduling needs of the system to a certain extent.
In the third phase, based on the droop control parameters transmitted during each scheduling cycle, each PV and SOP port inverter can generate a corresponding reactive power through local voltage measurements, thereby achieving a rapid response to fluctuations in the source-load of the distribution network.
3. Droop Control Model Considering SOP and Photovoltaic Inverter
3.1. Traditional Droop Control and Linear Droop Control Model Without Dead Zone
Currently, there are two main reactive power–voltage droop control models: namely deadband-inclusive and deadband-free models. The local control of inverters or SOPs can be implemented based on piecewise droop functions, as shown in Figure 1 [16]. In this control scheme, inverters or SOPs inject/absorb reactive power when locally measured voltage magnitudes exceed the deadband [, ], with real-time reactive power output being proportional to voltage deviation until reaching capacity limits. The traditional droop control mathematical model is expressed as follows:
where represents the control gain. To ensure the stability of inverter/SOP droop control systems, the control gain is typically set as ; denotes the total number of nodes; indicates the sensitivity of nodal reactive power injection to voltage magnitude.
Figure 1.
Traditional droop control model.
In the aforementioned traditional piecewise droop control, the voltage deadband range [, ] is generally set to [0.94, 1.06] p.u. The primary limitation of conventional deadband-inclusive linear droop control lies in its operational idleness. During most non-violation periods when voltages remain within the deadband, inverters neither inject nor absorb reactive power. To fully exploit the reactive power capacity of inverters or SOPs for coordinated voltage regulation and power loss reduction in distribution networks, this paper employed the deadband-free linear droop control strategy depicted in Figure 2, with its mathematical formulation expressed as follows:
where denotes the voltage intercept of the droop curve, i.e., the voltage magnitude at the intersection of the droop curve with the voltage axis, as shown in Figure 2. represents the calculated reactive power output of inverters based on the linear droop function. represents baseline reactive power reference value. represents reactive power adjustment. When the required reactive power output exceeds capacity limits, the actual output is constrained to the maximum capacity. To ensure control system stability, the control gain is similarly set as .
Figure 2.
Linear droop control model without dead zone.
By selecting different voltage intercepts and reference values , distinct droop control curves for inverters can be derived. All candidate droop curves collectively form a feasible region, as illustrated by the shaded area in Figure 2. Consequently, to ensure optimal coordination between decentralized local control and centralized control strategies, and to fully leverage the available reactive power capacity of inverters for the dual objectives of voltage regulation and loss minimization, it is imperative to optimize the selection of the optimal droop curve within this feasible region.
3.2. Variable-Slope Linear Droop Control Model Based on Voltage Boundary Parameter Tuning
The conventional fixed linear droop control model, characterized by its constant slope, demonstrates limited adaptability in reactive power regulation when operational scenarios change, consequently failing to effectively reduce network losses [18]. To address this limitation, this paper proposed an adaptive linear droop control model with variable slopes through voltage boundary parameter optimization, enabling slope adjustment via voltage boundary point calibration. Figure 3 shows the process flow of certification of carriable slope droop control parameters.
Figure 3.
Flowchart of variable-slope droop control parameter design and verification process.
Prior to establishing the variable-slope droop control model, it is essential to determine the permissible range of slope variation. Let the slope vary within the range . Excessively steep droop curves may induce significant reactive power adjustments under minor voltage fluctuations, thereby compromising system voltage stability. The minimum allowable slope is determined through voltage sensitivity analysis as follows:
where represents the reactive power–voltage sensitivity coefficient, indicating the voltage variation at node i was caused by a unit reactive power change at node j; denotes the set of nodes equipped with PV and SOP.
The upper limit of the droop curve slope is calculated as follows:
where and represent the upper and lower bounds of the voltage boundary parameters, respectively, which will be subsequently optimized; and denote the reactive power values corresponding to the upper and lower voltage boundary parameters.
To ensure the effectiveness of voltage control, the reactive power margin parameters must be validated. Let and denote the verification parameters for extreme upper and lower operating limits, respectively.
Under the historically most severe overvoltage scenario, denote the measured node voltage as with the corresponding reactive power absorbed by inverters or SOPs being . The parameter is calculated as follows:
where the numerator represents the voltage exceedance magnitude at node s; the denominator indicates the maximum voltage variation at node s caused by reactive power regulation of all inverters or SOPs; is the allowable voltage upper limit. If the voltage at node s does not exceed the upper limit, it indicates that all other nodes will not exceed the voltage upper limit. If , the overvoltage risk can be eliminated; if , the overvoltage risk cannot be eliminated, requiring additional reactive power resources in the distribution network.
Under the premise of a sufficient reactive power margin, the upper voltage boundary parameter can be calculated based on voltage sensitivity coefficients as follows:
Similarly, the parameters and are calculated as follows:
where represents the historically most severe undervoltage value; is the allowable voltage lower limit. If , the undervoltage risk can be eliminated; if , the undervoltage risk cannot be eliminated, requiring additional reactive power resources in the distribution network.
4. Hierarchical Coordinated Control Model of Power Electronic Distribution Network
This paper developed a two-stage centralized control model that accounts for the uncertainty of PV generation and load demand, enhancing operational scenario adaptability and control precision in centralized control. Furthermore, the proposed hierarchical coordinated control model incorporates droop control functions of fast-response devices, enabling refined regulation of power electronic equipment beyond centralized control. This approach achieves optimal operational control in distribution networks through coordinated actions between centralized and local control layers.
The centralized control layer employs a rolling optimization strategy to mitigate PV and load forecasting errors. Simultaneously, a probability-based multi-scenario generation method [19] is adopted to comprehensively characterize the uncertainty of PV generation and load demand, while reducing computational complexity for effective hierarchical coordinated control.
4.1. Centralized Control Strategy Based on Rolling Optimization
The centralized control framework adopted in this study operates across multiple time scales, including day-ahead and intra-day scheduling. The day-ahead optimization employs a 1 h scheduling interval, while the intra-day optimization uses a 15 min interval. Through day-ahead optimization, the output schedule for discrete devices (e.g., capacitor banks, CBs) is determined. With the CB output schedule fixed, intra-day adjustments regulate continuous devices such as power electronic transformers (PETs), SOPs, and PV inverters.
To address the stochasticity of PV generation and load demand, where forecasting errors increase with prediction horizon, a rolling optimization strategy [20] is implemented: At each sampling instant, the current system state and measurement data are combined with predictive models of future states to solve a finite-horizon optimal control problem online. The yields control actions for the current and future time periods, with only the immediate control action executed. The process repeats at subsequent sampling instants using updated system states and measurements.
The day-ahead optimization aims to minimize distribution network power losses and voltage deviations. Based on PV and load forecasting data, it solves for equipment outputs at intervals over a future period, establishing baseline values for intra-day control. The intra-day optimization layer refines these results using real-time operational states and higher-resolution forecasts at intervals, rolling optimization over a horizon to adjust outputs of PETs, SOPs, and PV inverters. The proposed rolling optimization-based centralized control strategy is illustrated in Figure 4
Figure 4.
Centralized control strategy based on rolling optimization.
4.2. Hierarchical Coordinated Control Model Based on Multi-Scenario Stochastic Optimization
The optimal hierarchical coordinated control model based on multi-scenario stochastic optimization within the given scheduling period T is as follows:
where and are weighting coefficients; represents the probability of each scenario generated through probability-based modeling; t denotes each real-time point within the scheduling interval. The objective function (14) aims to minimize network power losses and voltage deviations over the scheduling period T. The total power loss is calculated as shown in Equation (1). The voltage deviation metric quantifies distribution network voltage deviations, with its computational formulation defined in Equations (6)–(10). The real-time reactive power output of the inverter or SOP, which consists of the reference value of the concentration layer and the real-time output variation of the local layer, is shown as
where represents the reactive power output reference value and represents the real-time variation:
where
Due to the apparent capacity and real-time active power output of the inverter and SOP, the reactive power output of the inverter and SOP can only be controlled within the available capacity range:
where represents the deviation between the real-time node voltage and the expected voltage.
Then, the power flow constraints of the distribution network are given as follows:
where and denote the parent node set and child node set; is the voltage magnitudes at each node.
The decision variables in this hierarchical coordinated control model primarily include the reactive power output reference values of inverters and SOPs, voltage intercepts of droop control functions, and slope parameters. These variables are jointly optimized to minimize network power losses while achieving real-time adjustment of node voltage magnitudes. The voltage amplitude of all nodes within the allowable range defined by the voltage boundary parameter:
The active power flow on each branch is limited to its allowable capacity:
where denotes the maximum permissible active power flow capacity of branches.
Under the expected operating conditions, power flow limits in the distribution network need to be enforced, especially for centrally controlled inverters or SOPs operating on their reactive power reference outputs:
5. Case Study Analysis
This study employed a modified IEEE-33 test system, where photovoltaic (PV) generation follows a Beta probability distribution and load demand adheres to a Gaussian probability distribution. The PV output is discretized into 10 operating states ranging from full capacity to zero output, while the load demand is divided into 5 operating states around its mean value. Following the probabilistic scenario generation method in [19], 50 representative scenarios are generated and subsequently applied to the hierarchical coordinated control model based on multi-scenario stochastic optimization.
5.1. Centralized Control Simulation Results
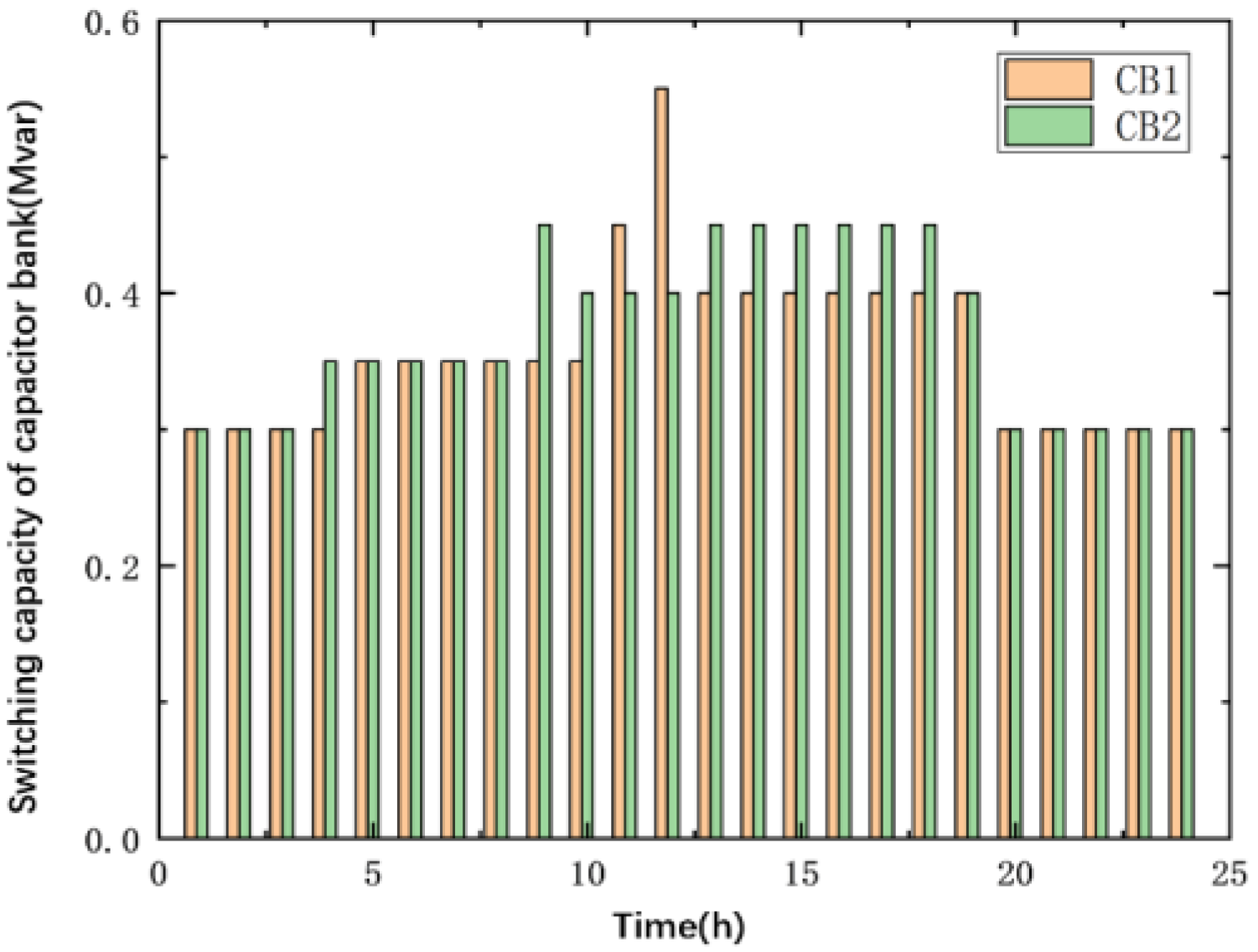
In the first stage of centralized control, the output schedules for power electronic devices and CBs are generated with a 1 h scheduling interval. However, this temporal resolution fails to fully utilize the flexible and rapid regulation capabilities of power electronic devices. Therefore, the power electronic device outputs from this stage are not propagated to the subsequent stage. Considering the limited switching frequency of CBs, their switching decisions from this stage are transmitted to the next stage, after which no further adjustments to CB output schedules will be made.
The day-ahead CB switching operations are illustrated in Figure 5, where CB1 and CB2 undergo 5 and 6 switching operations, respectively, satisfying the maximum switching operation constraints for CBs established in this study.
Figure 5.
Result of switching schedules of capacitor bank under the day-ahead time scale.
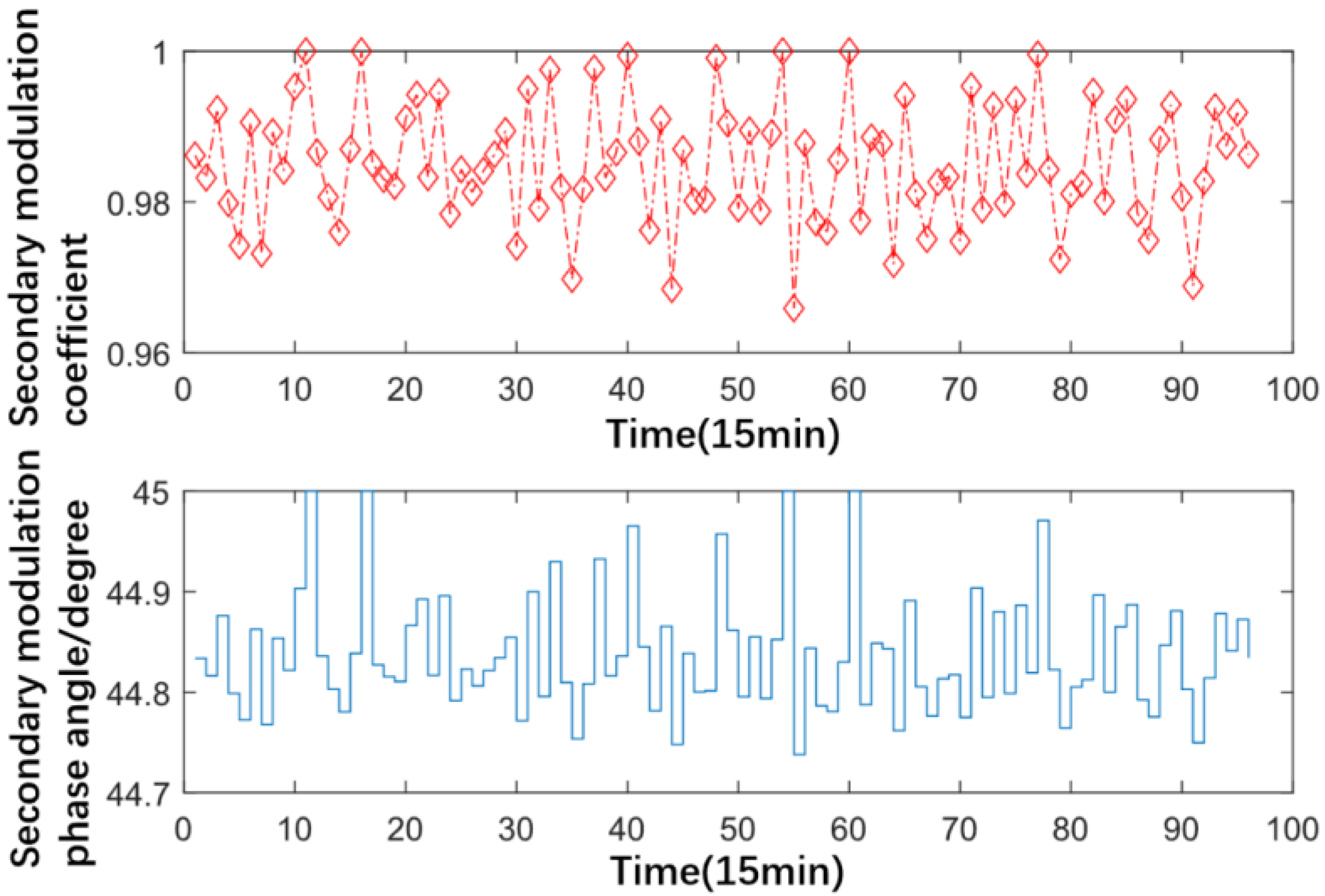
Given the significant prediction errors in day-ahead photovoltaic and load forecasts, the second stage of centralized control implements output correction for day-ahead power electronic devices with a 15 min scheduling interval. The intra-day optimized reactive power outputs of PV inverters are illustrated in Figure 6. The modulation indices and phase angles for PET operation are, respectively, shown in Figure 7 and Figure 8.
Figure 6.
The output reactive power of the PV inverters within the day. (a) PV1 output reactive power, (b) PV2 output reactive power, (c) PV3 output reactive power.
Figure 7.
The modulation coefficient and modulation phase angle of the primary side of PET.
Figure 8.
The modulation coefficient and modulation phase angle of the secondary side of PET.
During intra-day scheduling intervals, the predetermined PET output schedules remain fixed during local real-time control. This approach simultaneously coordinates PET’s rapid regulation capabilities and reduces computational complexity. Consequently, only SOPs and PV inverters undergo real-time adjustments during local control. The primary objective of intra-day optimization is to further mitigate PV grid-connected point voltage limit violations and suppress voltage fluctuations. As demonstrated in Figure 9, the voltage profile at PV integration node 22 remains within permissible bounds after intra-day optimization, with voltage fluctuation amplitude decreasing from 0.0607 pu to 0.0447 pu—a 26.4% reduction.
Figure 9.
The timing voltage of node 22.
Using probability-based scenario generation, the hierarchical coordinated control model computes the reactive power reference values and optimal local droop curves for inverters and SOPs during the first scheduling cycle, as shown in Figure 10, Figure 11 and Figure 12.
Figure 10.
Droop control curves and reactive power benchmark value of PV inverter.
Figure 11.
Droop control curves and reactive power benchmark value of SOP.
Figure 12.
Droop control curves and reactive power benchmark value of ESOP.
These droop curves undergo 15 min interval updates, enabling real-time local control through reactive power adjustments based on time-specific curve parameters. Extensive computational tests confirm the model’s solution time of 2–3 min—shorter than the scheduling intervals. Accounting for communication delays and other operational latencies, the proposed scheduling scheme demonstrates practical executability. Notably, significant variations exist in optimal droop curves across different inverters and SOPs. Due to real-time stochastic variations in PV output and load demand, the actual reactive power outputs of inverters and SOPs fluctuate near their reference values.
5.2. On Site Control Simulation Results
During the three-stage local control, each PV inverter and SOP responds to local node voltage variations based on the droop curves optimized through centralized control. To verify the effectiveness of droop curve-based local control, 2000 random scenarios of PV output power and load data are generated via Monte Carlo sampling, which comprehensively characterizes PV and load uncertainties. For each generated scenario, real-time node voltage magnitudes are obtained using the forward–backward sweep power flow calculation method introduced in Section 2, followed by the determination of inverter and SOP reactive power outputs according to the centrally optimized droop curves. Figure 13 illustrates the voltage magnitude probability distribution at node 16 before and after droop control implementation.
Figure 13.
Voltage probability distribution before and after droop control. (a) Voltage probability distribution before droop control, (b) voltage probability distribution after droop control.
As shown, pre-control voltage magnitudes predominantly range between 0.92 p.u. and 1.00 p.u., while post-control voltages are mainly distributed between 0.96 p.u. and 1.04 p.u., demonstrating significant voltage improvement at PV integration points. Prior to droop control, 28.12% of scenarios exhibited voltages below 0.95 p.u., whereas post-control, all scenarios maintained voltages above 0.95 p.u., with the average voltage magnitude closely approaching 1.00 p.u. Thus, the implemented droop control method effectively prevents node voltage limit violations during local control.
The probability distributions of distribution network power losses before and after droop control are presented in Figure 14.
Figure 14.
Power loss probability distribution before and after droop control. (a) Power loss probability distribution before droop control, (b) power loss probability distribution after droop control.
As shown in Figure 13, the power losses before droop control implementation predominantly range between 160 kW and 240 kW, whereas post-droop control losses are concentrated within the range 100 kW–180 kW. Prior to droop control, the average power loss across 2000 random scenarios is 190.26 kW, which reduces to 125.42 kW after droop control with 34.08% reduction in average power losses.
Therefore, the adoption of droop control during local control not only enhances node voltage quality but also significantly reduces distribution network power losses. The effectiveness of the acquired droop curves further validates the proposed hierarchical coordinated control model based on multi-scenario stochastic optimization.
5.3. Analysis of the Effectiveness of Hierarchical Coordinated Voltage-Reactive Power Control
To validate the effectiveness of the proposed hierarchical coordinated voltage-reactive power control model, comparisons are made with three alternative methods. Method 1 is a deterministic optimization-based centralized control, which does not consider uncertainties in PV output power and load, transmitting the centrally optimized reference values of SOPs and inverters to local controllers for real-time control. Method 2 is a stochastic optimization-based centralized control, which considers PV and load uncertainties by generating a limited number of representative scenarios through probabilistic modeling and directly assigns power reference values to lower-level control after centralized optimization. Method 3 is a local control using conventional droop control methods, which performs real-time voltage adjustments based solely on local droop curves without considering centralized optimization results.
In the first 15 min scheduling interval, the reactive power output reference values for the inverter and SOP generated using different methods are shown in Table 1. It is noteworthy that Method 3 does not involve the optimization of reference values, as it directly adjusts the reactive power output based on the given droop control curve; therefore, the optimization results for Method 3 are not listed in Table 1.
Table 1.
The reactive power benchmark value (kVar) of devices using different methods.
Additionally, to verify the control effects of different methods, a Monte Carlo sampling simulation was conducted to generate 2000 random scenarios. In each scenario, the real-time node voltage magnitudes were obtained using a forward–backward power flow calculation method, and then the device output was adjusted in real time according to the reactive power output reference values provided by centralized control. In terms of voltage deviation, the hierarchical coordinated voltage-reactive power control method proposed in this paper achieved the smallest standard deviation of voltage at node 16, with a value of 0.0154 p.u., while Method 1 had 0.0189 p.u., Method 2 had 0.0176 p.u., and Method 3 had 0.0228 p.u. This indicates that the method proposed in this paper can better reduce the voltage deviation in the system, resulting in improved voltage regulation performance.
Then, based on the extracted random scenarios, this paper compared the operational performance of the proposed strategy with the three aforementioned methods in terms of system average power loss, voltage violation probability, average voltage deviation, and maximum voltage deviation. The specific results are shown in Table 2. From the table, it can be seen that the method proposed in this paper has the smallest voltage violation probability, the smallest average voltage deviation, and the smallest maximum voltage deviation, while the average power loss is only second to Method 1. Although Method 1 has the lowest average power loss, it neglects the uncertainties of photovoltaic (PV) and load, resulting in a higher risk of voltage violations compared to the method proposed in this paper. Method 2 has a relatively low voltage violation probability, but it does so at the cost of optimal power loss in the distribution network, leading to more conservative results in loss reduction. Method 3 lacks coordination between centralized control and local control, relying solely on local droop control curves, which results in the highest average power loss and a greater probability of voltage violations in the distribution network. Among these four methods, Method 3 has the worst control effect; therefore, the lack of global optimization through centralized control cannot achieve optimal control of the distribution network. The comparison between Method 1 and Method 2 indicates that when implementing centralized control, it is essential to fully consider the uncertainties of PV and load to avoid overly conservative results. Both Method 1 and Method 2 lack coordination between centralized and local control, making their adjustment effects inferior to the hierarchical coordinated voltage-reactive power control model proposed in this paper. Therefore, the hierarchical coordinated voltage-reactive power control model proposed in this paper is superior.
Table 2.
Comparison of control effect of four strategies.
6. Conclusions
To address the voltage limit issues caused by high penetration of photovoltaics and load fluctuations, this paper proposed a three-stage voltage-reactive power control framework based on stochastic optimization. The aim was to systematically coordinate the priorities of devices across different time scales to more effectively regulate voltage and reduce losses. In the first stage, slow devices such as circuit breakers (CBs) are adjusted over a relatively long period (e.g., one hour) to reduce losses and track regular voltage variation patterns. In the second stage, fast-response devices such as photovoltaic inverters and static reactive power compensators (SOP) are adjusted over a shorter time frame (e.g., 15 min) to further fine-tune the output of the first stage during significant changes in photovoltaic generation and load demand. In the third stage, photovoltaic inverters and SOP respond in real time to voltage fluctuations based on droop control curves and locally measured node voltages. The first two stages employ centralized control, prioritizing the minimization of power losses while satisfying voltage constraints, whereas the third stage utilizes local control primarily aimed at reducing voltage fluctuations. Simulation results indicate that after hierarchical coordination of voltage-reactive power control, the outputs of power electronic devices are well coordinated, leading to reduced network power losses and a decreased risk of voltage limit violations in the distribution network.
Author Contributions
Conceptualization, Z.H. and K.Y.; investigation, Z.H. and X.C.; methodology, Z.H. and B.X.; writing—original draft preparation, Z.H. and B.X.; writing—review and editing, Z.H., B.X. and L.G.; supervision, Z.H., K.Y., X.C., J.L. and X.Y. All authors have read and agreed to the published version of the manuscript.
Funding
This research was supported by the National Natural Science Foundation of China (52277089).
Data Availability Statement
The data presented in this study are available on request from the corresponding author. The data are not publicly available due to the confidentiality of the data involved.
Conflicts of Interest
The authors declare no competing interests.
References
- Xiao, J.; Wang, Y.; Zu, G. Flexibility Degree for Power-electronized Distribution Network. Autom. Electr. Power Syst. 2023, 47, 30–39. [Google Scholar] [CrossRef]
- Liu, W.; Lyu, Z.; Liu, H. An Overview of Morphological Development and Operation Control Technology of Power Electronics Dominated Distribution Area. Proc. CSEE 2023, 43, 4899–4922. [Google Scholar] [CrossRef]
- Xie, M.; Zhang, S.; Li, Y.; Huang, Y.; Liu, M. Optimal Dispatch of AC/DC Hybrid Low-voltage Distribution Network Based on Multi-mode Flexible Interconnection. Autom. Electr. Power Syst. 2023, 47, 79–89. [Google Scholar] [CrossRef]
- Sun, X.; Qiu, J.; Tao, Y.; Ma, Y.; Zhao, J. A multi-mode data-driven volt/var control strategy with conservation voltage reduction in active distribution networks. IEEE Trans. Sustain. Energy 2022, 13, 1073–1085. [Google Scholar] [CrossRef]
- Yu, K.; Chen, X.; Cao, Y. Hierarchical Architecture for Self-Healing Control of Urban Power Network. Power Syst. Technol. 2012, 36, 165–171. [Google Scholar] [CrossRef]
- Huber, J.E.; Kolar, J.W. Applicability of solid-state transformers in today’s and future distribution grids. IEEE Trans. Smart Grid 2017, 10, 317–326. [Google Scholar] [CrossRef]
- Wang, C.; Ji, J.; Ji, H.; Yu, H.; Wu, J.; Li, P. Technologies and Application of Soft Open Points in Distribution Networks. Autom. Electr. Power Syst. 2022, 46, 1–14. [Google Scholar] [CrossRef]
- Geng, Q.; Hu, Y.; He, J.; Zhou, Y.; Zhao, W. Optimal Power Flow for Hybrid AC/DC Grid With Power Electronic Transformer. Power Syst. Technol. 2019, 43, 3288–3298. [Google Scholar] [CrossRef]
- Zhang, T.; Mu, Y.; Jia, H.; Wang, X.; Pu, T. Stochastic Operation Optimization for AC/DC Distribution Network With Power Electronic Transformer. Power Syst. Technol. 2022, 46, 860–869. [Google Scholar] [CrossRef]
- Syed, I.; Khadkikar, V.; Zeineldin, H.H. Loss reduction in radial distribution networks using a solid-state transformer. IEEE Trans. Ind. Appl. 2018, 54, 5474–5482. [Google Scholar] [CrossRef]
- Xu, X.; Li, Y.; Yan, Z.; Ma, H.; Shahidehpour, M. Hierarchical Central-Local Inverter-based Voltage Control in Distribution Networks Considering Stochastic PV Power Admissible Range. IEEE Trans. Smart Grid 2022, 14, 1868–1879. [Google Scholar] [CrossRef]
- Wang, S.; Cheng, Y.; Zhao, Q.; Dong, Y. Multi-stage local-distributed voltage control strategy of distribution network considering photovoltaic-energy storage coordination. Electr. Power Autom. Equip. 2024, 44, 1–9. [Google Scholar] [CrossRef]
- Hu, W.; Cao, D.; Huang, Q.; Zhang, B.; Li, S.; Chen, Z. Application of Deep Reinforcement Learning in Optimal Operation of Distribution Network. Autom. Electr. Power Syst. 2023, 47, 174–191. [Google Scholar] [CrossRef]
- Li, H.; Lu, Y.; Liu, W. Robust Centralized-local Control Strategy of Distributed Photovoltaic Inverter Considering Short-time Fluctuation. Mod. Electr. Power 2024, 41, 191–200. [Google Scholar] [CrossRef]
- Wang, X.; Xu, T.; Wang, C.; Lin, J.; Li, T.; Chen, J.; Zhou, J. Distributed Voltage Control in Active Distribution Networks Utilizing Multiple Agent System. Proc. CSEE 2016, 36, 2918–2926. [Google Scholar] [CrossRef]
- Xu, R.; Zhan, C.; Xu, Y.; Dong, Z.; Zhang, R. Multi-objective hierarchically-coordinated volt/var control for active distribution networks with droop-controlled PV inverters. IEEE Trans. Smart Grid 2021, 13, 998–1011. [Google Scholar] [CrossRef]
- Zhang, C.; Xu, Y. Hierarchically-coordinated voltage/VAR control of distribution networks using PV inverters. IEEE Trans. Smart Grid 2020, 11, 2942–2953. [Google Scholar] [CrossRef]
- Cai, Y.; Tang, W.; Zhang, B.; Li, T.; Wang, Z.; Gao, B. A Two-stage Volt-var Control in LV Distribution Networks With High Proportion of Residential PVs. Power Syst. Technol. 2019, 43, 1271–1280. [Google Scholar] [CrossRef]
- Li, P.; Wu, Z.; Zhang, C.; Hu, M.; Li, S.; Wang, F. Distributed Hybrid-timescale Voltage/Var Control in Active Distribution Networks. Autom. Electr. Power Syst. 2021, 45, 160–168. [Google Scholar] [CrossRef]
- Zhang, Y.; Ji, Y.; Tang, Y. Coordinated Control of Active and Reactive Power for Distribution Network with Distributed Photovoltaic Based on Model Predictive Control. Autom. Electr. Power Syst. 2017, 41, 140–146. [Google Scholar] [CrossRef]
Disclaimer/Publisher’s Note: The statements, opinions and data contained in all publications are solely those of the individual author(s) and contributor(s) and not of MDPI and/or the editor(s). MDPI and/or the editor(s) disclaim responsibility for any injury to people or property resulting from any ideas, methods, instructions or products referred to in the content. |
© 2025 by the authors. Licensee MDPI, Basel, Switzerland. This article is an open access article distributed under the terms and conditions of the Creative Commons Attribution (CC BY) license (https://creativecommons.org/licenses/by/4.0/).













