Abstract
In the transition to a sustainable energy system, the integration of electric vehicles into residential energy systems is an innovative solution for increasing energy resilience and optimizing electricity consumption. This article presents a bidirectional AC/DC converter capable of charging the electric vehicle battery under normal conditions, while providing power to a critical consumer in the event of a power grid outage. The simulations performed show us the functionality of this converter, demonstrating its efficiency in ensuring the continuity of supply.
1. Introduction
The integration of electric vehicles into energy networks and the achievement of bidirectional energy transfer between them and the grid is an active and expanding field of research with major implications for the sustainability and stability of modern electrical systems. With the increasing number of electric vehicles sold worldwide and the development of their charging infrastructure, the concept of bidirectional energy transfer has come into discussion, which allows not only for the power supply of EVs from the grid, but also their controlled discharge to power various critical domestic or industrial consumers or the active injection of energy into the grid [1]. It is essential to consider it in the optimization of smart grids, as it contributes to balancing energy demand and supply, managing peak load and reducing dependence on conventional energy sources [2,3].
Currently, the existing concepts Vehicle-to-Grid, Vehicle-to-Home, and Vehicle-to-Load are in full development, and studies in this direction offer several solutions to enable the use of electric vehicles as energy storage and distribution units [4]. Current research highlights the advantages of using electric vehicles to stabilize the voltage and frequency of the grid, provide auxiliary services for the grid, and more efficient integration of renewable energy sources, such as solar and wind energy [5,6]. The basic element of these concepts is the bidirectional converter, which must ensure an efficient and safe transfer of energy between the grid and the EV but also between the EV and the grid. In the specialized literature, there are two main research directions regarding the topologies of the converters used: Bidirectional AC/DC converters are used to connect electric vehicles to the grid and enable the conversion between alternating current and direct current [7]. In parallel, DC/DC converters are employed to optimize the charging and discharging processes of EV batteries and to improve the overall efficiency of the energy management system [8].
Vehicle-to-Home is a concept and at the same time an innovative technology that allows electric vehicles to supply energy to a home, thus providing an additional or emergency power source. The operation is based on the use of a bidirectional conversion structure that converts the energy stored in the vehicle battery from direct current (DC) to alternating current (AC), compatible with household devices [9]. At the moment, this technology is widely used in Japan, especially in areas prone to power outages or natural disasters. The benefits include energy independence, reduced electricity costs, and the possibility of using the vehicle as a backup energy source for critical situations or consumers and not only [10]. However, the implementation involves high initial costs and is limited by the capacity of the vehicle battery. In terms of complexity, V2H is considered moderate, requiring a compatible inverter and an efficient monitoring system [11].
Currently, there exists two main ways to connect EVs to the electrical grid and through which it is possible to charge the battery and extract energy from it when needed.
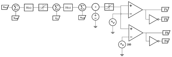
The first case refers to the use of a DC charging station. Although DC fast charging is widely supported by the majority of modern EVs, there are still certain early models and some plug-in hybrids that do not include this functionality. In this case, AC/DC charging stations directly supply direct current to the vehicle (Figure 1), the on-board AC/DC charger being avoided in the conversion chain in this case [11,12]. For this configuration, the charging station is equipped with a bidirectional AC/DC converter that manages the energy transfer between the AC grid and the EV. For bidirectional energy transfer, the station must allow for both charging and discharging of the vehicle battery, while ensuring synchronization with the grid to maintain the quality and stability of the energy supplied, where required by the system architecture. Synchronization with the electrical grid is mandatory in this case because DC stations, being of high power, are integrated into three-phase networks. The solution is suitable for V2G integration [13].
Figure 1.
Block diagram of AC/DC station—converter integrated in the station.
The second option involves the use of AC charging stations (EVSE), which provide a connection interface to the grid. In this case, the actual charger is located inside the vehicle, and the EVSE acts only as a passive connection point in terms of energy conversion, directly linking the AC power network to the vehicle (Figure 2). It includes safety and communication equipment, such as protection relays, voltage and current sensors, as well as modules for communication protocols (e.g., ISO 15118) [14,15,16]. The electric vehicle is equipped with an on-board converter that includes a bidirectional AC/DC conversion structure. Thus, the vehicle becomes responsible for performing the energy transfer in both directions. The converter converts the alternating current provided by the station into direct current to charge the battery and, in the reverse mode, converts the direct current from the battery into alternating current to power the network or other consumers [17].
Figure 2.
Block diagram of AC/AC station—inverter on vehicle.
Studies also analyze aspects related to the degradation of lithium–ion batteries, the energy efficiency of converters, compatibility with existing networks, and the modalities of large-scale implementation and standardization, being subjects of study in the scientific community [9]. Some of these emphasize that frequent energy transfer from the EV battery to the grid or buildings can reduce their lifetime, while others emphasize the role of optimizing energy management algorithms to minimize the effects of degradation [18,19]. The studies provide a comprehensive technical and economic evaluation of bidirectional charging systems, demonstrating that frequent V2G and implicitly V2H operation for the current study has an impact on battery longevity and efficiency. The studies also emphasize the importance of advanced control strategies to mitigate the effects of degradation and improve long-term performance [20].
Considering these aspects, this article aims to analyze the functionality of a bidirectional converter model consisting of a single-phase AC/DC converter and a DC/DC converter. In the case of the DC/DC converter, tests were performed for the two-voltage level variant and for the three-voltage level variant, which together have the purpose of charging an EV battery and, under certain conditions, powering a critical consumer with the energy stored in the battery. It also studies how the converter and the battery work together when they are at different charge levels and evaluates how they behave and how they can provide power to the critical consumer in the event of a power outage [21].
2. Materials and Methods
In order to be able to size AC/DC and DC/AC converters, it is necessary to know several technical data such as how electric vehicle batteries are manufactured in terms of electrical parameters, which can be the maximum load supported by the converter at the output.
These directly influence the performance, safety, and compatibility of the converter. In the case of batteries, among the main parameters that need to be known are nominal voltage, capacity, maximum voltage, minimum voltage, current, voltage (number of cells in series-parallel), etc.
From Table 1, it can be seen that the main manufacturers use Li–ion batteries, of different capacities and configurations, but the only one that coincides in all is the nominal voltage of the entire battery package which is ~350 V. All the analyzed configurations, presented in Table 1, use 96 series-connected cells, which indicates that the nominal cell voltage is 3.7 V. This nominal voltage offers an advantage to create a single-phase DC/AC inverter with direct power supply, because the network voltage peak to peak in the Europe area is .
Table 1.
Types of batteries used for several models of EVs [22].
Based on the information in Table 1, a mathematical model of a Li–ion battery was created in the simulations to have a behavior as close as possible to a real one, so that the results of the charging–discharging processes are close to reality. For current simulations, the Saft VL34570 battery model was used, mathematically modeled starting from the experimental discharge characteristics of the battery and defined by a set of parameters extracted from the manufacturer’s discharge and charge curves. It offers the possibility of setting several parameters, including setting the number of batteries connected in series-parallel. The Saft VL34570 battery has the following main parameters [23]:
- Nominal voltage Un = 3.7 V;
- Charging voltage Uc = 4.2 V;
- Cut-off voltage Uco = 2.5 V;
- Capacity Qn = 5400 mAh;
- Charging current Ic = 5.4 A;
- Discharging current Id = 11 A.
Based on the nominal data of the battery, together with the data obtained experimentally by the manufacturer for it, it was further possible to calculate other important parameters that are required further in the simulations in this article. An important parameter that is required is the state of charge of the battery, which is defined by Equation (1) [24,25].
where:
- SOC(0)—initial state of charge (%);
- Qmax—Maximum battery capacity (Ah);
- I—Current (A).
Furthermore, dependent on it, is the voltage at the battery terminals, which is represented by Equation (2). According to the data in Table 1, depending on the type of batteries, it is necessary to connect them in series and parallel in a certain number, so that in the end a nominal voltage given by Equation (3) is as close as possible to the working values of the converters so that a conversion is achieved as efficiently as possible.
At the same time, it is necessary for the battery to offer a higher discharge current, so as to allow for faster accelerations of the electric vehicle, but also a higher capacity, calculated with Equation (4), which results in a greater autonomy of the vehicle.
where:
- Ns—number of cells connected in series;
- Np—number of cells connected in parallel;
- Ks—voltage correction factor;
- Kp—capacitance correction factor;
- Rb—internal resistance of the battery.
Another particularly important parameter is the internal resistance of the battery. Knowing this parameter is essential for evaluating its performance and optimizing its use because internal resistance directly influences energy efficiency, heat dissipation, available voltage at the terminals, and battery life. The total internal resistance for the battery can be determined using Equation (5) [24].
To simulate the functionality of a model that would allow for bidirectional transfer, a block diagram, illustrated in Figure 3, represents the architecture where the electric car and the consumer that is to be powered are connected. This includes a single-phase power supply, representing the standard connection to the grid of a home, a critical consumer defined as an essential load for the continuity of the home’s operation, the charging station for the car, and the converter part on the car. The conversion system on the car is made up of a li–ion battery of a bidirectional DC/DC converter designed to regulate the voltage between the battery and the direct current bus, as well as a bidirectional AC/DC converter, responsible for the interface between the DC bus and the electrical network of the home [25].
Figure 3.
Block diagram AC/DC bidirectional converter single-phase.
The proposed model allows for testing battery charging and discharging scenarios by achieving bidirectional energy transfer, allowing the user to activate or deactivate this function to power the critical consumer when the main power source is interrupted. This option is essential, as it ensures optimal management of the energy resource stored in the battery, avoiding unwanted automatic switching to the secondary power source (which is considered to be the vehicle battery in this context). Implementing such a system provides operational flexibility, maximizing the energy autonomy of the home and improving the efficiency of managing the energy available in the electric vehicle battery. In addition, the integration of bidirectional converters allows both the battery charging process from the electrical network and its discharge to power critical loads, thus contributing to increasing the resilience of the residential energy system. By simulating this model, the dynamic impact of switching between sources, the response time of the converters, and the effects on the normal operation of the battery can be analyzed [26].
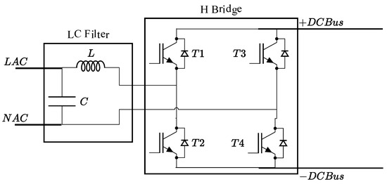
The single-phase bidirectional AC/DC converter shown in Figure 4 is used for energy transfer between an alternating current source (electrical grid) and a direct current bus (DC-link). The circuit structure includes an active bridge formed by four power transistors (IGBT/MOSFET), which allow for bidirectional energy conversion. In rectifier mode, it converts AC voltage to DC for charging a battery or powering a load. In inverter mode, it generates energy by supplying a single-phase consumer. The LC filter is used to reduce harmonic distortions and improve the quality of the transferred energy [27].
Figure 4.
AC/DC bidirectional converter full bridge topology.
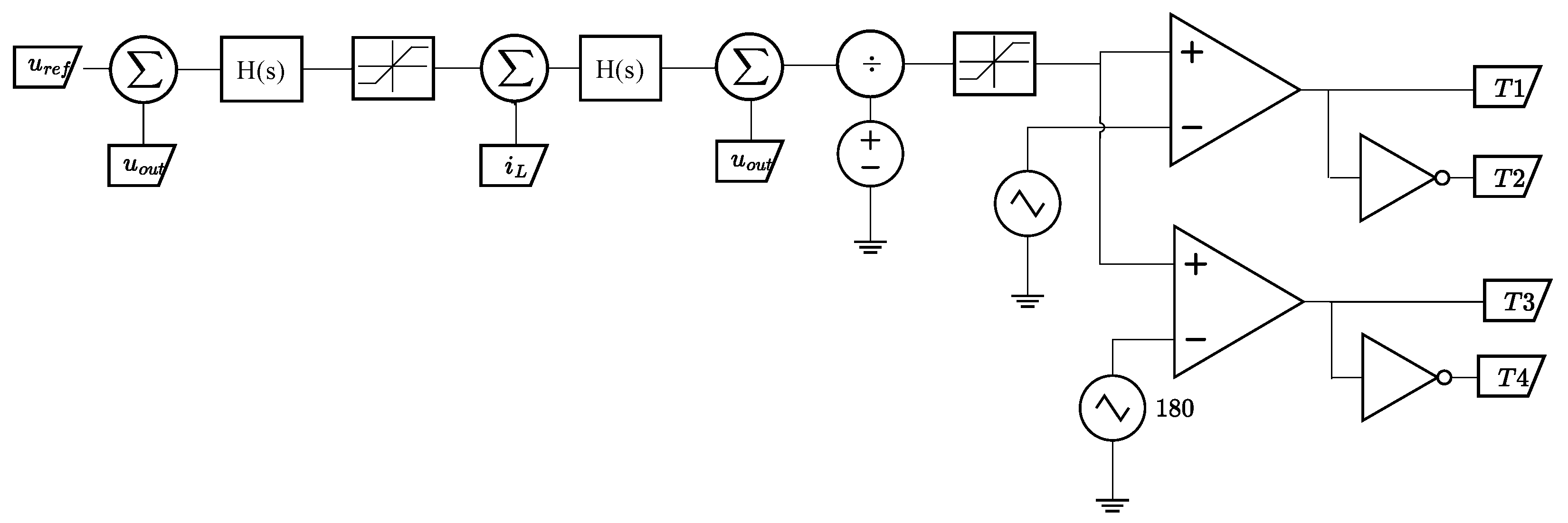
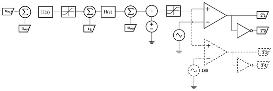
To control the switching elements in the H-bridge, represented in Figure 4, a control structure is required to calculate the duty cycle for each transistor. For this, the control logic structure shown in Figure 5 was used, which contains two PI regulators, one voltage, and the other current. Depending on the way in which the conversion is required, namely from alternating current to direct current, or from direct current to alternating current, the values of the passive circuit elements and the constants related to the transfer functions of the voltage regulator and the current regulator were calculated. In the case of conversion from alternating current to direct current, this structure operates as a rectifier with sinusoidal current absorption, ensuring minimal distortion of the input current during the conversion process. For the conversion from direct current to alternating current, the target was that the voltage and current supplying the load be sinusoidal [25,26].
Figure 5.
PI regulator structure—PWM generation AC/DC structure.
In the case of the DC/DC converter, two different converter topologies were simulated to evaluate the performance and response time in bidirectional energy transfer. The first configuration used is a two-level (2L) topology, represented in Figure 6, which represents a classic, simple architecture characterized by a direct conversion using two switching elements. The second configuration is a three-level (3L) topology, represented in Figure 7, which contains four switching elements and two series capacitors with which an intermediate voltage level (Vdc/2) is created, with which the demands on the switching components are reduced and the system efficiency is improved [28].
Figure 6.
DC/DC bidirectional converter 2L topology.
Figure 7.
DC/DC bidirectional converter 3L topology.
In terms of circuit complexity, the 2L converter is much easier to implement, but it comes with higher switching losses and, in addition to this aspect, requires the use of larger inductors and capacitors to reduce current ripple. The 3L topology, although more complex and more difficult to control the switching elements, has the advantage of offering high efficiency by reducing the voltage drop across each transistor by half, which reduces losses and improves thermal performance. Also, the size of the passive components is smaller in the 3L topology, due to a higher switching frequency, which reduces the overall size and weight of the system [29].
For the two bidirectional DC/DC converters shown in Figure 6 and Figure 7, respectively, it is also necessary, as in the case of the AC/DC converter, to use a control structure for the switching elements. In this regard, the same control strategy was followed, wherein two PI regulators were chained, one voltage, followed by one current, with the help of which the necessary PWM signals were generated, the structure of which is represented in Figure 8. The dotted line in the figure refers to the fact that the same regulator is used as a structure for both types of converters. In the case of the 3L converter, there being four switching elements, it is necessary to have four signals generated, so the signal generated for the two transistors in the case of the 2L converter was doubled and shifted by 180 degrees [28,29].
Figure 8.
PI regulator structure—PWM generation DC/DC structure.
The step-down mode of the two converters is used in this case for charging the battery. This mode is best suited because the charging is carried out with the constant current constant voltage method, which means that, for a period, the battery is charged by maintaining the constant charging current at a value as close as possible to the maximum possible given by the network but without exceeding the maximum supported by the battery according to its catalog sheet. This allows for fast charging, generally up to a percentage of 80% of the nominal capacity of the battery (until the voltage at the terminals reaches the nominal value) followed by the constant voltage charging part to be carried out for the last part of the charging cycle. This comes with the disadvantage of being very slow, but necessary to extend its life [27,28].
The boost mode of the converters in the present structure is used to maintain the DC bus constant when it extracts energy from the battery. The voltage on the DC bus in this case is used by the inverter to be able to supply the consumer. Maintaining the voltage on the DC bus at a constant preset value is necessary because the voltage at the battery terminals is directly proportional to its state of charge. Depending on the configuration in which the number of series-connected cells is made, there is a risk that, at a certain percentage of charge, the voltage will be lower than what is required for the inverter, i.e., 325 V, in which case it can no longer provide a standard sinusoidal voltage of 230 V at the output to power the consumer [29,30].
To calculate the transfer function constants required to control the rectifier AC/DC, inverter DC/AC and DC/DC converter, some essential data were established, such as the switching frequency for the switching elements, the maximum reactance that can be supported by the inverter (based on an RL-type load), and the types and values of passive elements where applicable. For the calculation of the PI regulators, Equation (6) was used to determine the constants used in the simulations [31].
where:
- Ti—time constant;
- Kt—gain.
The parameters of the voltage regulators, such as the time constant and the gain, were calculated using Equation (6). This formula was applied to determine the values corresponding to both AC/DC converters (rectifier and inverter) and DC/DC converters (buck and boost). The values of these parameters are directly influenced by the switching frequency used in the switches, the characteristics of the passive elements, as well as the type of connected load.
The values of the passive elements of the LC low-pass filter were calculated using Equation (7) [32].
3. Simulation Results
The simulations carried out in this manuscript were carried out according to the following logic. Following the block diagram presented in Figure 3, an electrical load and the charging station to which the electric vehicle is connected are connected to the network via the Sw switch (the AC/DC converter with the battery in this case). The simulation starts each time with the aim of charging the battery, connected to the converter and the charging station, and then, after a while, a power outage is simulated via the SW switch. Depending on the state of the system, i.e., whether the inverter function is active or not, after simulating the power outage from the network, the load will continue to be powered by the converter on the vehicle or not. Depending on this, two operating cases are obtained. One in which the vehicle is charged normally, and when the power is disconnected from the network, the load will not be powered. And in the second case, when the inverter is considered active, and when the network is disconnected, it starts to supply energy and power to the consumer. These situations are simulated for both DC-DC 2L and DC-DC3L converter topologies together with the single-phase AC/DC inverter.
3.1. Simulation Results with DC/DC 2L Topology
To simulate the circuit using the 2L DC/DC converter, simulations were performed for two cases: the first in which the respective inverter mode is activated, the second in which it is deactivated. A condition that must be met for it to activate is that there is no voltage on the network, thus simulating an interruption in the supply voltage.
3.1.1. Simulation Results with DC/DC 2L Topology—Inverter Disabled
For the case where the inverter function is disabled and the DC/DC conversion is performed by the 2L converter, the values graphically represented in Figure 9 were obtained as follows: voltage between converters (U_dc_bus), current through the battery circuit (I_bat), voltage at the battery terminals (U_bat), state of charge (SOC), voltage at the converter terminals (with LC filter)/load (u_out_lc), voltage at the converter circuit terminals (u_iesire_inv), voltage at the converter terminals, current through the convertors (i_conv), current through the load circuit (i_load).
The results of the graphs in Figure 9 show the operation of the converter when the inverter is disabled. It starts with normal operation, supplying the load and charging the electric vehicle battery. In this case, all components are functioning properly. It is observed that the voltage on the DC bus stabilizes at the set value of 410 V, and the charging current stabilizes at 6 A. According to the set threshold, the battery being at a charge state of 70%, it is on the charging curve in constant current mode.
The voltage at the battery terminals is increasing, and its charge state goes up, which means that it is charging properly. The load is also powered until the moment the power is disconnected from the grid. At that moment, the battery is no longer charged, and since the inverter mode is disabled, the load no longer receives energy.
Figure 9.
Converter parameters—configuration with DC/DC 2L topology—disabled inverter.
Figure 9.
Converter parameters—configuration with DC/DC 2L topology—disabled inverter.

3.1.2. Simulation Results with DC/DC 2L Topology—Inverter Enabled
For the case where the inverter function is enabled and the DC/DC conversion is performed by the 2L converter, the values graphically represented in Figure 10 were obtained as follows: voltage between converters (U_dc_bus), current through the battery circuit (I_bat), voltage at the battery terminals (U_bat), state of charge (SOC), voltage at the converter terminals (with LC filter)/load (u_out_lc), voltage at the converter circuit terminals (u_out_inv), voltage at the converter terminals, current through the convertors (i_conv), current through the load circuit (i_load).
Figure 10.
Converter parameters—configuration with DC/DC 2L topology—enabled inverter.
In the graphs in Figure 10, the circuit starts as in the previous case in Figure 9. The battery is charged normally with the preset values, at a current of 6 A, the set value. The voltage on the DC bus stabilizes at 410 V. The external load is powered normally. In this case, namely the inverter being activated, at the moment of disconnection from the grid, it is observed that the load remains powered without disturbances in the voltage and current waveforms.
However, it is observed that, in the transient regime of transition between the charging mode and the inverter mode, there is a large voltage peak compared to what it should be. This should not happen in reality, because the extremely high current through the circuit affects the life of the battery if this phenomenon occurs frequently. In addition to this aspect, an oversizing of the circuit elements is also necessary. In the case of passive elements, the capacitors must withstand a higher voltage, and in the case of active elements, the transistors must be chosen to withstand the respective peak voltage. This is not recommended, because the converter must be as small in size and as efficient as possible, so as not to weigh down the total mass of the electric vehicle.
3.2. Simulation Results with DC/DC 2L Topology—Battery Charging/Discharging
In order to observe the behavior of the battery during charging and discharging for the circuit topology used in this case, i.e., the AC/DC converter and the DC/DC converter topology 2L, the behavior of the voltage at the battery terminals, the current through the circuit, and the voltage at the common terminals between the two converters (DC bus) was monitored. Due to the fact that data close to reality were used in the simulation for the battery and the converter, the charging and discharging times are of the order of hours, in which case simulations were performed to determine the values of the voltages and currents starting with the battery from 0% to 100%, with a step of 10%.
3.2.1. Simulation Results with DC/DC 2L Topology—Battery Charging
In the graphs in Figure 11, the results obtained for charging the battery can be observed, starting from 0% to 100%, and it is observed that the CC/CV charging strategy is fully respected, namely the current remains constant in the first part of the charge, the voltage having an increasing slope during this time until the nominal value of the battery, following that, when this nominal value is reached, the current takes a decreasing slope, and the voltage at the terminals remains constant. During all this time, the voltage on the DC bus does not undergo any change and remains constant, with small variations.
Figure 11.
Parameters measured during charge (DC/DC 2L): (a) voltage at the battery terminals; (b) current through the DC/DC converter circuit; (c) voltage on the DC bus.
3.2.2. Simulation Results with DC/DC 2L Topology—Battery Discharging
In the graphs in Figure 12, the results obtained after discharging the battery can be observed, starting from a charge state of 100% to 0%. In this case, having as objective to maintain constant voltage on the DC bus, at a set value of 410 V, it is observed that, as is normal, the voltage at the battery terminals, being directly proportional to its state of charge, decreases during the discharge. For the converter, trying to maintain constant voltage at the output, the current through the circuit in question increases in order to achieve this. It is observed in the graphs that this can be maintained up to a certain percentage of SOC when the battery and the converter can no longer support this, the moment when the current limiting function is activated, and the voltage at the output of the converter can no longer be maintained at the set value.
Figure 12.
Parameters measured during discharge (DC/DC 2L): (a) current through the DC/DC converter circuit; (b) voltage at the battery terminals; (c) voltage on the DC bus.
3.3. Simulation Results with DC/DC 3L Topology
To simulate the circuit using the 3L DC/DC converter, simulations were performed for two cases, just like in the simulation with the 2L converter: the first in which the respective inverter mode is activated, the second in which it is deactivated. A condition that must be met for it to activate is that there is no voltage on the network, thus simulating an interruption in the supply voltage.
3.3.1. Simulation Results with DC/DC 3L Topology—Inverter Disabled
For the case where the inverter function is disabled and the DC/DC conversion is performed by the 3L converter, the values graphically represented in Figure 13 were obtained as follows: voltage between converters (U_dc_bus), current through the battery circuit (I_bat), voltage at the battery terminals (U_bat), state of charge, voltage at the converter terminals (with LC filter)/load (u_out_lc), voltage at the converter circuit terminals (u_out_inv), voltage at the converter terminals, current through the convertors (i_conv), current through the load circuit (i_load).
Figure 13.
Converter parameters—configuration with DC/DC 3L topology—disabled inverter.
The results obtained for the converter containing the 3L DC/DC topology, the case with the inverter disabled, can be seen in Figure 13. In this case, as in the previous case, the voltage on the DC bus stabilizes at 410 V, stable charging current thus respecting the CC/CV charging strategy, the battery being the same as in the previous case, at 70% SOC. The voltage at the battery terminals rises to the nominal value, SOC increases, and the consumer is also powered. When the general power supply is turned off, the battery, as expected, no longer charges, and the inverter, being disabled, no longer supplies the load. So in this case, everything works properly.
3.3.2. Simulation Results with DC/DC 3L Topology—Inverter Enabled
For the case where the inverter function is enabled and the DC/DC conversion is performed by the 3L converter, the values graphically represented in Figure 14 were obtained as follows: voltage between converters (U_dc_bus), current through the battery circuit (I_bat), voltage at the battery terminals (U_bat), state of charge, voltage at the converter terminals (with LC filter)/load (u_out_lc), voltage at the converter circuit terminals (u_out_inv), voltage at the converter terminals, current through the convertors (i_conv), and current through the load circuit (i_load).
Figure 14.
Converter parameters—configuration with DC/DC 3L topology—enabled inverter.
In the graph in Figure 14, you can see the results obtained for the converter with the 3L DC/DC topology, but this time with the inverter active. The charging part works the same as in the other situations, everything being in normal operating condition (the current remains constant, SOC increases). Furthermore, when the power supply from the source is turned off, the inverter being active, it comes into operation and supplies the load, which remains active.
It is observed that the waveforms of the voltage and current are sinusoidal. This time, in the transient regime, from charging to discharging, better results were obtained for practical application. There was a very small voltage peak for a short duration and a peak current that can be supported by the battery, which means that this converter is much more suitable for this application.
3.4. Simulation Results with DC/DC 3L Topology—Battery Charging/Discharging
Similarly to the previous case, due to the fact that the simulation was performed with battery and converter data close to reality, the charging and discharging times are of the order of hours, in which case simulations were performed to determine the voltages and currents together with the battery from 0% to 100%, with a step of 10%. To observe the behavior of the battery during charging and discharging, having in the topology of the circuit used in this case consisting of the AC/DC converter and the topology of the DC/DC converter 3L. The monitored parameters were also the voltage at the battery terminals, the current through the circuit, and the voltage at the common terminals between the two converters (DC bus).
3.4.1. Simulation Results with DC/DC 3L Topology—Battery Charging
In the graphs in Figure 15, the obtained holding when charging the battery, from 0% to 100%, is observed, and it is observed that the CC/CV charging strategy is fully respected, as in the case where the converter with 2L topology was used, namely the current remains constant in the first part of the charged time, when the nominal voltage of this battery will increase, following that, when this nominal value decreases and decreases, the voltage at the terminals remains constant. During all this time, the voltage on the DC bus does not undergo any change and remains constant, with small variations as in the previous case.
Figure 15.
Parameters measured during charge (DC/DC 3L): (a) voltage at the battery terminals; (b) current through the DC/DC converter circuit; (c) voltage on the DC bus.
3.4.2. Simulation Results with DC/DC 3L Topology—Battery Discharging
In the graphs in Figure 16, you can see the activities obtained after discharging the battery, starting from a charge state of 100% to 0%. These are similar to those obtained with the 2L topology, which means that it works properly. In this case, having as objective to maintain constant voltage on the DC bus, at a set value of 410 V, it is observed that, as is normal, the voltage at the battery terminals, being directly proportional to its state of charge, decreases during the discharge. In an attempt to maintain a stable output voltage, the converter compensates by increasing the current in the circuit. It is observed in the graphs that this can be maintained up to a certain percentage of SOC when the battery and the converter can no longer support this, the moment when the current limiting function is activated, and the voltage at the output of the converter can no longer be maintained at the set value.
Figure 16.
Parameters measured during discharge (DC/DC 3L): (a) current through the DC/DC converter circuit; (b) voltage at the battery terminals; (c) voltage on the DC bus.
4. Discussion
The research conducted in this article on the bidirectional energy transfer between the electric vehicle and a consumer connected to the electrical grid highlights the significant potential of this concept in the evolution of the energy infrastructure and in supporting the transition to renewable sources. The simulations performed within this manuscript highlight the functionality of the bidirectional converter using both a model with a two-level voltage topology and the one with three voltage levels. In the case of the two-level voltage converter, it was noted that it works quite well in normal operating mode but has problems in transient mode with the transition from one state to the other. The bidirectional converter that includes the 3L topology also works as expected. During the charging process, the converter operates according to the control strategy for CC/CV charging. This converter was observed to have a much better response when it comes to the transient regime, managing to limit voltage and current peaks. Another important aspect and also an advantage brought by this converter is having a more advanced architecture that uses an additional voltage stage given by the capacitive divider, creating an intermediate voltage level. This feature reduces electrical stress on the components, improves switching efficiency, and allows for the use of transistors with a lower nominal voltage and allows for the use of a coil 3 times smaller than the 2L model.
In the AC/DC inverter part, it is observed that, in the inverter working mode, it supplies to the load a sinusoidal filtered voltage through the LC filter and a sinusoidal current. This is very beneficial for resistive-inductive loads, such as a motor because its proper functioning will not be disturbed. In rectifier mode, the absorbed current appears sinusoidal under simulation conditions. However, since no harmonic analysis was performed, no definitive conclusion can be drawn regarding the absence of disturbances in the network. At the same time, it also fulfills the function of a boost converter, a very important aspect because a voltage on the DC bus higher than the nominal one of the battery is needed to be able to charge it.
5. Conclusions
This article aims to demonstrate the functionality and practical applicability of a bidirectional converter used in electric vehicles that, when the vehicle is connected to a home charging station and an interruption occurs in the power supply network, can power a critical consumer in the home.
To demonstrate this, within this article, operating simulations were performed for several types of bidirectional converters, namely an AC/DC converter in a controlled H-bridge, a DC/DC converter with two voltage levels, and a DC/DC converter with three voltage levels.
Through the results obtained in the simulations, it was demonstrated that a bidirectional structure can be used to charge the battery of an electric vehicle and, at the same time, this structure can be used to power another consumer when certain preset conditions are met.
Future developments may involve expanding the concept to three-phase loads, enhancing the dynamic response, and enabling synchronization with the utility grid to ensure seamless operation without zero-crossing interruptions.
Author Contributions
Conceptualization, Ș.-A.L.; Formal analysis, Ș.-A.L.; Writing—original draft preparation, Ș.-A.L.; Writing—review and editing, D.F.; Supervision, D.F. All authors have read and agreed to the published version of the manuscript.
Funding
This research received no external funding.
Data Availability Statement
The original contributions presented in the study are included in the article, further inquiries can be directed to the corresponding authors.
Conflicts of Interest
The authors declare no conflicts of interest.
Abbreviations
The following abbreviations are used in this manuscript:
| EV | Electric Vehicle |
| AC | Alternating Current |
| DC | Direct Current |
| V2G | Vehicle-to-Grid |
| V2H | Vehicle-to-Home |
| V2L | Vehicle-to-Load |
| SOC | State of Charge |
| CC/CV | Constant Current Constant Voltage |
| EVSE | Electric Vehicle Supply Equipment |
References
- Hakam, Y.; Gaga, A.; Tabaa, M.; Elhadadi, B. Intelligent Integration of Vehicle-to-Grid (V2G) and Vehicle-for-Grid (V4G) Systems: Leveraging Artificial Neural Networks (ANNs) for Smart Grid. Energies 2024, 17, 3095. [Google Scholar] [CrossRef]
- Saqib, E.; Gidófalvi, G. Dynamic Adaptive Charging Network Planning Under Deep Uncertainties. Energies 2024, 17, 5378. [Google Scholar] [CrossRef]
- Muhammetoglu, B.; Jamil, M. Dual Active Bridge Converter with Interleaved and Parallel Operation for Electric Vehicle Charging. Energies 2024, 17, 4258. [Google Scholar] [CrossRef]
- Oh, H.-S.; Hong, S.-Y.; Lee, J.; Lee, J.-B. Comparison of Bi-Directional Topologies for On-Board Charger: A 10.9 kW High-Efficiency High Power Density of DC-DC Stage. Energies 2024, 17, 5496. [Google Scholar] [CrossRef]
- Fang, T.; von Jouanne, A.; Agamloh, E.; Yokochi, A. Opportunities and Challenges of Fuel Cell Electric Vehicle-to-Grid (V2G) Integration. Energies 2024, 17, 5646. [Google Scholar] [CrossRef]
- Chen, Y.; Binfeng, Z.; Juan, L.; Shao-jun, X.; Ling, M. Bi-directional AC-DC Converter for Distributed DC Power System with Wide Bus Voltage. IEEE Trans. Power Electron. 2016, 31, 14699–14710. [Google Scholar]
- Dharmasena, S.; Olowu, T.O.; Sarwat, A.I. Bidirectional AC/DC Converter Topologies: A Review. In Proceedings of the IEEE Power & Energy Society General Meeting, Atlanta, GA, USA, 4–8 August 2019; IEEE Xplore: Piscataway, NY, USA; pp. 1–10. [Google Scholar]
- Collin, R.; Miao, Y.; Yokochi, A.; Enjeti, P.; von Jouanne, A. Advanced electric vehicle fast-charging technologies. Energies 2019, 12, 1839. [Google Scholar] [CrossRef]
- Wang, X.; Lee, J. Charging electric vehicles today and in the future. World Electr. Veh. J. 2022, 13, 139. [Google Scholar] [CrossRef]
- Kobashi, T.; Say, K.; Wang, J.; Yarime, M.; Wang, D.; Yoshida, T.; Yamagata, Y. Techno-Economic assessment of photovoltaics plus electric vehicles towards household-sector decarbonization in Kyoto and Shenzhen by the year 2030. J. Clean. Prod. 2020, 253, 119933. [Google Scholar] [CrossRef]
- Pan, Y.; Xu, K.; Wang, R.; Wang, H.; Chen, G.; Wang, K. Lithium-Ion Battery Condition Monitoring: A Frontier in Acoustic Sensing Technology. Energies 2025, 18, 1068. [Google Scholar] [CrossRef]
- Adams, R.; Smith, L. Fast DC Charging infrastructures for electric vehicles: Overview of converters and related standards. In IEEE Transactions on Transportation Electrification; IEEE Xplore: Piscataway, NY, USA, 2021; Available online: https://ieeexplore.ieee.org/document/10024858 (accessed on 22 December 2024).
- Turner, K.; Zhang, Y. 6G for Vehicle-to-Everything (V2X) Communications: Enabling Technologies, Challenges, and Opportunities. IEEE Xplore 2022, 110, 712–734. Available online: https://ieeexplore.ieee.org/document/9779322 (accessed on 22 December 2024).
- ISO 15118-2:2014; Road Vehicles—Vehicle to Grid Communication Interface—Part 2: Network and Application Protocol Requirements. International Organization for Standardization: Geneva, Switzerland, 2014.
- Ferreira, J.M.; Antunes, F.; Trovão, J.P. Vehicles to Grid (V2G) concept applied to a virtual power plant structure. In Proceedings of the XIX International Conference on Electrical Machines—ICEM 2010, Rome, Italy, 6–8 September 2010. [Google Scholar] [CrossRef]
- Hossam, A.G.; Mohammed, S. Power converters for electric vehicles: State of the art and challenges. Renew. Sustain. Energy Rev. 2023, 162, 112345. [Google Scholar]
- Lee, K.; Park, J.; Choi, W. Battery management strategies for V2G systems: A comprehensive review. IEEE Access 2021, 9, 45678–45695. [Google Scholar]
- Tan, S.C.; Kumar, A.; Lau, J. Advances in smart grid integration of electric vehicles. Appl. Energy 2023, 324, 119875. [Google Scholar]
- Wang, P.; Luo, F.; Zhang, Y.; Meng, K. Power management and grid interaction in Vehicle-to-Everything (V2X) Systems. Electr. Power Syst. Res. 2024, 218, 109234. [Google Scholar]
- Correia, A.F.M.; Moura, P.; de Almeida, A.T. Technical and Economic Assessment of Battery Storage and Vehicle-to-Grid Systems in Building Microgrids. Energies 2022, 15, 8905. [Google Scholar] [CrossRef]
- Kim, H.; Lee, D.; Moon, G. Multi-level DC/DC converters for high-power EV charging applications. IEEE Trans. Power Electron. 2023, 38, 2198–2210. [Google Scholar]
- EV Database. Electric Vehicle Database. Available online: https://ev-database.org/ (accessed on 10 October 2024).
- Sprinter 2000. Li-Ion Battery VL 34570 of 3.7V 5400mAh R20-320. Sprinter 2000 Online Store. 2024. Available online: https://www.sprinter2000.ro/en/cumpara/li-ion-battery-vl-34570-of-3-7v-5400mah-r20-320 (accessed on 17 September 2024).
- Ng, K.S.; Moo, C.-S.; Chen, Y.-P.; Hsieh, Y.-C. Enhanced coulomb counting method for estimating state-of-charge and state-of-health of lithium-ion batteries. Appl. Energy 2009, 86, 1506–1511. [Google Scholar] [CrossRef]
- Clark, B.; Mitchell, D. Bidirectional EV Charging: V2G, V2H, V2L. Clean Energy Reviews. 2021. Available online: https://www.cleanenergyreviews.info/blog/bidirectional-ev-charging-v2g-v2h-v2l (accessed on 22 December 2024).
- Călinescu, G. The impact of artificial intelligence on employment in the european economy. In Proceedings of the 6th International Conference on Economics and Social Sciences, Bucharest, Romania, 15–16 June 2023. License: CC BY 4.0. [Google Scholar] [CrossRef]
- Prasanna, U.R.; Singh, A.K.; Rajashekara, K. Novel bidirectional single-phase single-stage isolated AC-DC converter with PFC for charging of electric vehicles. IEEE Trans. Transp. Electrific. 2017, 3, 536–544. [Google Scholar] [CrossRef]
- Grbović, P.J. Dispositif Correcteur de Facteur de Puissance à Base de Super-Condensateur Pour Variateur de Vitesse. Ph.D. Thesis, École Centrale de Lille, Aske New Town, France, 2010. [Google Scholar]
- Prathibha, S.B.; Ilango, K.; Saji, D. SoC Estimation of Lithium Ion battery using combined coulomb counting and fuzzy logic method. In Proceedings of the 2019 4th International Conference on Recent Trends on Electronics, Information, Communication & Technology (RTEICT-2019), Bangalore, India, 17–18 May 2019. [Google Scholar] [CrossRef]
- Zhou, B.; Zhao, J.; Gao, S.; Zhang, Y. Performance analysis of battery degradation in bidirectional charging applications. J. Energy Storage 2022, 45, 103285. [Google Scholar]
- Sánchez, J.; Guinaldo, M.; Visioli, A.; Dormido, S. Identification of process transfer function parameters in event-based PI control loops. J. Process Control. 2018, 67, 103–115. [Google Scholar] [CrossRef] [PubMed]
- Tavakoli Bina, M.; Pashajavid, E. an efficient procedure to design passive LCL-Filters for active power filters. Electr. Power Syst. Res. 2008, 78, 601–610. [Google Scholar] [CrossRef]
Disclaimer/Publisher’s Note: The statements, opinions and data contained in all publications are solely those of the individual author(s) and contributor(s) and not of MDPI and/or the editor(s). MDPI and/or the editor(s) disclaim responsibility for any injury to people or property resulting from any ideas, methods, instructions or products referred to in the content. |
© 2025 by the authors. Licensee MDPI, Basel, Switzerland. This article is an open access article distributed under the terms and conditions of the Creative Commons Attribution (CC BY) license (https://creativecommons.org/licenses/by/4.0/).














